Sign in to use this feature.

Years

Between: -

Subjects

remove_circle_outline
remove_circle_outline
remove_circle_outline
remove_circle_outline
remove_circle_outline
remove_circle_outline

Journals

Article Types

Countries / Regions

Search Results (5)

Search Parameters:
Keywords = simultaneous iterative reconstruction techniques (SIRT)

Order results
Result details
Results per page
Select all
Export citation of selected articles as:
22 pages, 13696 KB  
Article
Evaluating the Geo-Environmental Conditions within a Working Face Using a Hybrid Intelligent Optimization Model
by Changfang Guo, Tingjiang Tan, Liuzhu Ma, Zhicong Zhang, Xiaoping Ma, Difei Zhao and Wenhua Jiao
Appl. Sci. 2024, 14(18), 8284; https://doi.org/10.3390/app14188284 - 14 Sep 2024
Cited by 2 | Viewed by 1311
Abstract
Geological anomalies within the working face likely induce geological disasters, such as water, gas, and coal mine roof fall, directly impacting the rational planning and safe mining of underground resources. Constrained by the conditions of underground closed spaces, effective reconstruction under incomplete and [...] Read more.
Geological anomalies within the working face likely induce geological disasters, such as water, gas, and coal mine roof fall, directly impacting the rational planning and safe mining of underground resources. Constrained by the conditions of underground closed spaces, effective reconstruction under incomplete and highly sparse projection is the central challenge when evaluating geo-environmental conditions. This work proposes a new hybrid intelligent optimization model (MPGA-SIRT) that integrates a multiple-population genetic algorithm (MPGA) with the simultaneous iterative reconstruction technique (SIRT) to finely reconstruct the geo-environmental conditions within a working face based on electromagnetic wave tomography theory. MPGA-SIRT can provide a more precise initial inversion model for the conventional linear reconstruction technique of SIRT, incorporating a local search property by leveraging the robust global search capacity of MPGA. The advantages of MPGA-SIRT have been demonstrated through numerical modeling, theoretical testing, and engineering practices on the 8208 working face in the Datong mining area, Shanxi Province. In comparison to individual SIRT inversion models, MPGA-SIRT reconstruction yields more accurate and stable performance, as demonstrated by the evolution curve of the objective function and the corresponding convergence tomography results. Consequently, the geomagnetic wave absorption coefficient within the area of reconstruction can be precisely ascertained through the use of our proposed technique. This innovation represents a groundbreaking strategy for assessing geological anomaly zones within a working face. The introduced method stands as a valuable theoretical instrument for confronting the complexities associated with geo-environmental reconstruction in underground engineering. Full article
(This article belongs to the Section Energy Science and Technology)
Show Figures

Figure 1

20 pages, 3632 KB  
Article
Temperature Field Reconstruction Method for Acoustic Tomography Based on Multi-Dictionary Learning
by Yuankun Wei, Hua Yan and Yinggang Zhou
Sensors 2023, 23(1), 208; https://doi.org/10.3390/s23010208 - 25 Dec 2022
Cited by 11 | Viewed by 3256
Abstract
A reconstruction algorithm is proposed, based on multi-dictionary learning (MDL), to improve the reconstruction quality of acoustic tomography for complex temperature fields. Its aim is to improve the under-determination of the inverse problem by the sparse representation of the sound slowness signal (i.e., [...] Read more.
A reconstruction algorithm is proposed, based on multi-dictionary learning (MDL), to improve the reconstruction quality of acoustic tomography for complex temperature fields. Its aim is to improve the under-determination of the inverse problem by the sparse representation of the sound slowness signal (i.e., reciprocal of sound velocity). In the MDL algorithm, the K-SVD dictionary learning algorithm is used to construct corresponding sparse dictionaries for sound slowness signals of different types of temperature fields; the KNN peak-type classifier is employed for the joint use of multiple dictionaries; the orthogonal matching pursuit (OMP) algorithm is used to obtain the sparse representation of sound slowness signal in the sparse domain; then, the temperature distribution is obtained by using the relationship between sound slowness and temperature. Simulation and actual temperature distribution reconstruction experiments show that the MDL algorithm has smaller reconstruction errors and provides more accurate information about the temperature field, compared with the compressed sensing and improved orthogonal matching pursuit (CS-IMOMP) algorithm, which is an algorithm based on compressed sensing and improved orthogonal matching pursuit (in the CS-IMOMP, DFT dictionary is used), the least square algorithm (LSA) and the simultaneous iterative reconstruction technique (SIRT). Full article
(This article belongs to the Section Sensing and Imaging)
Show Figures

Figure 1

21 pages, 31040 KB  
Article
LEO Constellation-Augmented Multi-GNSS for 3D Water Vapor Tomography
by Si Xiong, Fujian Ma, Xiaodong Ren, Jun Chen and Xiaohong Zhang
Remote Sens. 2021, 13(16), 3056; https://doi.org/10.3390/rs13163056 - 4 Aug 2021
Cited by 10 | Viewed by 2666
Abstract
Global navigation satellite systems (GNSS) water vapor tomography is an important technique to obtain the three-dimensional distribution of atmospheric water vapor. The rapid development of low Earth orbit (LEO) constellations has led to a richer set of observations, which brings new expectations for [...] Read more.
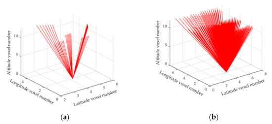
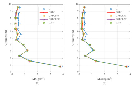
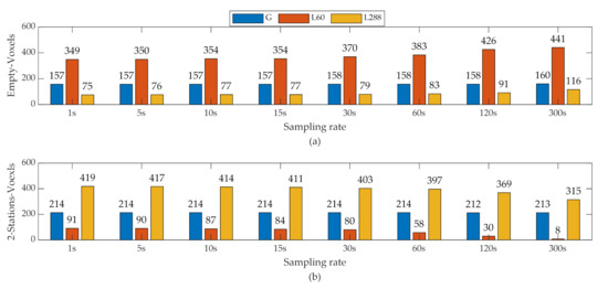
Global navigation satellite systems (GNSS) water vapor tomography is an important technique to obtain the three-dimensional distribution of atmospheric water vapor. The rapid development of low Earth orbit (LEO) constellations has led to a richer set of observations, which brings new expectations for water vapor tomography. This paper analyzes the influence of LEO constellation-augmented multi-GNSS(LCAMG)on the tomography, in terms of ray distribution, tomography accuracy, and horizontal resolution, by simulating LEO constellation data. The results show that after adding 288 LEO satellites to GNSS, the 30-min ray distribution effect of GNSS can be achieved in 10 min, which can effectively shorten the observation time by 66.7%. In the 10-min observation time, the non-repetitive effective observation value of LCAMG is 2.38 times that of GNSS, and the accuracy is 1.27% higher than that of GNSS. Compared with GNSS and the global positioning system (GPS), at a horizontal resolution of 13 × 14, the proportion of empty voxels in LCAMG reduces by 5.22% and 22.53%, respectively. Full article
Show Figures

Graphical abstract

19 pages, 4809 KB  
Article
A Numerical Study on Travel Time Based Hydraulic Tomography Using the SIRT Algorithm with Cimmino Iteration
by Pengxiang Qiu, Rui Hu, Linwei Hu, Quan Liu, Yixuan Xing, Huichen Yang, Junjie Qi and Thomas Ptak
Water 2019, 11(5), 909; https://doi.org/10.3390/w11050909 - 30 Apr 2019
Cited by 16 | Viewed by 4353
Abstract
Travel time based hydraulic tomography is a technique for reconstructing the spatial distribution of aquifer hydraulic properties (e.g., hydraulic diffusivity). Simultaneous Iterative Reconstruction Technique (SIRT) is a widely used algorithm for travel time related inversions. Due to the drawbacks of SIRT implementation in [...] Read more.
Travel time based hydraulic tomography is a technique for reconstructing the spatial distribution of aquifer hydraulic properties (e.g., hydraulic diffusivity). Simultaneous Iterative Reconstruction Technique (SIRT) is a widely used algorithm for travel time related inversions. Due to the drawbacks of SIRT implementation in practice, a modified SIRT with Cimmino iteration (SIRT-Cimmino) is proposed in this study. The incremental correction is adjusted, and an iteration-dependent relaxation parameter is introduced. These two modifications enable an appropriate speed of convergence, and the stability of the inversion process. Furthermore, a new result selection rule is suggested to determine the optimal iteration step and its corresponding result. SIRT-Cimmino and SIRT are implemented and verified by using two numerical aquifer models with different predefined (“true”) diffusivity distributions, where high diffusivity zones are embedded in a homogenous low diffusivity field. Visual comparison of the reconstructions shows that the reconstruction based on SIRT-Cimmino demonstrates the aquifer’s hydraulic features better than the conventional SIRT algorithm. Root mean square errors and correlation coefficients are also used to quantitatively evaluate the performance of the inversion. The reconstructions based on SIRT-Cimmino are found to preserve the connectivity of the high diffusivity zones and to provide a higher structural similarity to the “true” distribution. Full article
(This article belongs to the Special Issue Advances in Hydrogeology: Trend, Model, Methodology and Concepts)
Show Figures

Figure 1

13 pages, 4500 KB  
Article
Precise Identification of Coal Thickness by Channel Wave Based on a Hybrid Algorithm
by Changfang Guo, Zhen Yang, Shuai Chang, Ting Ren and Wenli Yao
Appl. Sci. 2019, 9(7), 1493; https://doi.org/10.3390/app9071493 - 10 Apr 2019
Cited by 8 | Viewed by 3364
Abstract
Precise prediction of coal thickness is of the utmost importance in realizing intelligent and unmanned mining. As the channel wave is characterized by an easily recognizable waveform, a long propagation distance, and strong energy, it is widely used for coal thickness inversion. However, [...] Read more.
Precise prediction of coal thickness is of the utmost importance in realizing intelligent and unmanned mining. As the channel wave is characterized by an easily recognizable waveform, a long propagation distance, and strong energy, it is widely used for coal thickness inversion. However, most traditional inversion methods are local in nature, and the inversion result is probably not optimal in the global scope. This paper introduces the GA-SIRT hybrid approach, which combines Genetic Algorithms (GA) and Simultaneous Iterative Reconstructive Techniques (SIRT) in order to deal with the above problem and to improve the accuracy of coal thickness inversion. The proposed model takes full advantage of the strong global search capability of GA and of the fast local convergence rate of the SIRT. Moreover, it inhibits the poor local search ability and the local optimal value effect of the GA and the SIRT respectively. The application of the GA-SIRT in the Guoerzhuang coal mine has significantly enhanced its accuracy, stability, and overall computational efficiency. Hence, the introduced novel hybrid model can precisely resolve and identify the coal thickness according to the channel wave. It can also be extended to other geophysical tomographic inversion problems towards the reduction of potential local optimal solutions. Full article
(This article belongs to the Section Environmental Sciences)
Show Figures

Figure 1

Back to TopTop