Sign in to use this feature.

Years

Between: -

Subjects

remove_circle_outline
remove_circle_outline
remove_circle_outline
remove_circle_outline
remove_circle_outline

Journals

Article Types

Countries / Regions

Search Results (4)

Search Parameters:
Keywords = self-powered MR damper

Order results
Result details
Results per page
Select all
Export citation of selected articles as:
22 pages, 7608 KB  
Article
Development and Performance Analysis of a New Self-Powered Magnetorheological Damper with Energy-Harvesting Capability
by Lingbo Li, Guoliang Hu, Lifan Yu and Haonan Qi
Energies 2021, 14(19), 6166; https://doi.org/10.3390/en14196166 - 27 Sep 2021
Cited by 11 | Viewed by 2814
Abstract
Magnetorheological (MR) dampers, used as intelligent semi-active vibration control devices to achieve low energy consumption, fast response, controllability, and other capabilities are generally installed with a variety of sensors on their exterior to ensure that the damping force can be accurately controlled. However, [...] Read more.
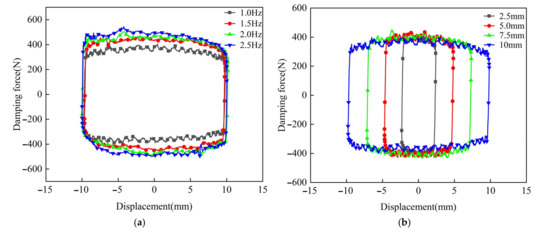
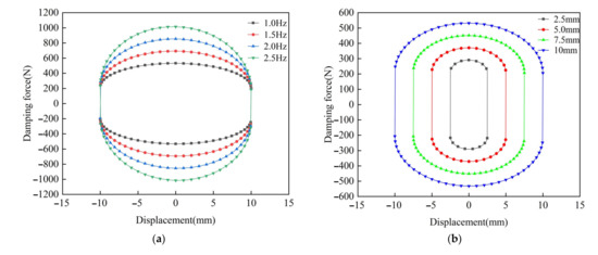
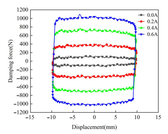
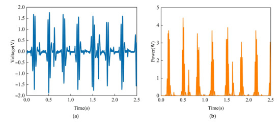
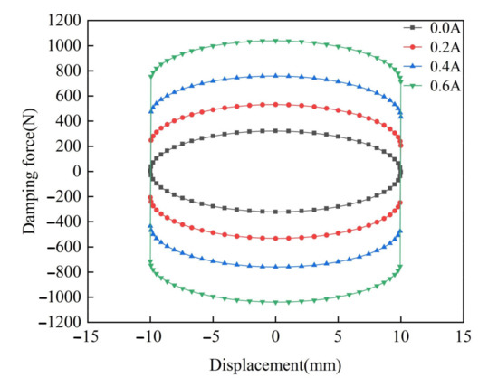
Magnetorheological (MR) dampers, used as intelligent semi-active vibration control devices to achieve low energy consumption, fast response, controllability, and other capabilities are generally installed with a variety of sensors on their exterior to ensure that the damping force can be accurately controlled. However, external sensors are often affected by external complications that reduce the reliability of the damper, and the cost of powering the damper coils in remote locations where power is not available can be significantly increased. Based on these problems, a new self-powered MR damper scheme is proposed. The proposed MR damper has both energy-harvesting capabilities and damping controllability, and greatly improves the stability and application range of the device by converting vibration energy into electrical energy to supply the excitation coil. The MR damper can drive the piston rod in a linear reciprocating motion by external excitation, which converts mechanical energy into electrical energy via a DC brushless three-phase generator after conversion by a double-linkage mechanism. At the same time, the electrical energy generated by the generator is passed into the excitation coil to change the output damping force of the damper. Meanwhile, the damping performance and energy-harvesting efficiency of the new self-powered MR damper is experimentally tested. Experimental results show the damping force of the device reaches 1040 N when the applied current is 0.6 A. The proposed self-powered MR damper has an instantaneous voltage amplitude of 1.782 V and a peak phase power of 4.428 W when the input excitation amplitude is 12.5 mm and the frequency is 3 Hz. Full article
(This article belongs to the Section D: Energy Storage and Application)
Show Figures

Figure 1

18 pages, 7408 KB  
Article
Real-Time Sensing Action of the Electromagnetic Vibration-Based Energy Harvester for a Magnetorheological Damper Control
by Bogdan Sapiński and Paweł Orkisz
Energies 2021, 14(10), 2845; https://doi.org/10.3390/en14102845 - 14 May 2021
Cited by 11 | Viewed by 3050
Abstract
This study investigated the self-sensing mechanism in the electromagnetic vibration-based energy harvester (EV-EH) prototype specially engineered for a commercial magnetorheological (MR) damper. The objective of the work is to demonstrate that the EV-EH unit with a specific self-powered feature can also be employed [...] Read more.
This study investigated the self-sensing mechanism in the electromagnetic vibration-based energy harvester (EV-EH) prototype specially engineered for a commercial magnetorheological (MR) damper. The objective of the work is to demonstrate that the EV-EH unit with a specific self-powered feature can also be employed as a relative velocity sensor in the system. To do this, the self-sensing action of the unit was experimentally studied over the assumed range of working conditions. The analysis of the test results and the determined self-sensing function indicated that the EV-EH has a highly accurate monitoring capability. The EV-EH self-sensing and self-powered features confirm the potentials and applicability of the unit for MR damper control in a vibration reduction system with energy regeneration. Full article
(This article belongs to the Special Issue Automation and Robotics Application in Energy Systems)
Show Figures

Figure 1

22 pages, 6502 KB  
Article
Development of a Magnetorheological Damper with Self-Powered Ability for Washing Machines
by Quoc-Duy Bui, Quoc Hung Nguyen, Tan Tien Nguyen and Duc-Dai Mai
Appl. Sci. 2020, 10(12), 4099; https://doi.org/10.3390/app10124099 - 14 Jun 2020
Cited by 30 | Viewed by 6294
Abstract
Magnetorheological (MR) dampers have been widely investigated and proposed for vibration mitigation systems because they possess continuous variability of damping coefficient in response to different operating conditions. In the conventional design of MR dampers, a separate controller and power supply are required, causing [...] Read more.
Magnetorheological (MR) dampers have been widely investigated and proposed for vibration mitigation systems because they possess continuous variability of damping coefficient in response to different operating conditions. In the conventional design of MR dampers, a separate controller and power supply are required, causing an increment of complexity and cost, which are not suitable for home appliances like washing machines. To solve these issues and to reuse wasted energy from vibration of washing machines, in this study, a self-powered shear-mode MR damper, which integrates MR damping and energy-harvesting technologies into a single device, is proposed. The MR damper is composed of an inner housing, on which magnetic coils are wound directly, and an outer housing for covering and creating a closed magnetic circuit of the damper. The gap between the inner housing and the moving shaft is filled with MR fluid to produce the damping force. The energy-harvesting part consists of permanent magnets fastened together on the shaft and induction coils wound directly on slots of the housing. The induced power from the induction coils is directly applied to the excitation coils of the damping part to generate a corresponding damping force against the vibration. In order to achieve optimal geometry of the self-powered MR damper, an optimization for both the damping part and the energy harvesting part of the proposed dampers are conducted based on ANSYS finite element analysis. From optimal solutions, a prototype of the proposed damper is designed in detail, manufactured, and experimentally validated. Full article
(This article belongs to the Section Mechanical Engineering)
Show Figures

Figure 1

17 pages, 12694 KB  
Article
Development of a Self-Powered Magnetorheological Damper System for Cable Vibration Control
by Zhihao Wang, Zhengqing Chen, Hui Gao and Hao Wang
Appl. Sci. 2018, 8(1), 118; https://doi.org/10.3390/app8010118 - 15 Jan 2018
Cited by 38 | Viewed by 8510
Abstract
A new self-powered magnetorheological (MR) damper control system was developed to mitigate cable vibration. The power source of the MR damper is directly harvested from vibration energy through a rotary permanent magnet direct current (DC) generator. The generator itself can also serve as [...] Read more.
A new self-powered magnetorheological (MR) damper control system was developed to mitigate cable vibration. The power source of the MR damper is directly harvested from vibration energy through a rotary permanent magnet direct current (DC) generator. The generator itself can also serve as an electromagnetic damper. The proposed smart passive system also incorporates a roller chain and sprocket, transforming the linear motion of the cable into the rotational motion of the DC generator. The vibration mitigation performance of the presented self-powered MR damper system was evaluated by model tests with a 21.6 m long cable. A series of free vibration tests of the cable with a passively operated MR damper with constant voltage, an electromagnetic damper alone, and a self-powered MR damper system were performed. Finally, the vibration control mechanisms of the self-powered MR damper system were investigated. The experimental results indicate that the supplemental modal damping ratios of the cable in the first four modes can be significantly enhanced by the self-powered MR damper system, demonstrating the feasibility and effectiveness of the new smart passive system. The results also show that both the self-powered MR damper and the generator are quite similar to a combination of a traditional linear viscous damper and a negative stiffness device, and the negative stiffness can enhance the mitigation efficiency against cable vibration. Full article
Show Figures

Figure 1

Back to TopTop