Sign in to use this feature.

Years

Between: -

Subjects

remove_circle_outline
remove_circle_outline
remove_circle_outline

Journals

Article Types

Countries / Regions

Search Results (1)

Search Parameters:
Keywords = retired mechanical product demand (RMPD)

Order results
Result details
Results per page
Select all
Export citation of selected articles as:
17 pages, 2133 KB  
Article
A Product Evolution Rules Based Method for Retired Mechanical Product Demand Acquisition
by Wenbin Zhou, Xuhui Xia, Lei Wang, Zelin Zhang and Baotong Chen
Sustainability 2022, 14(23), 15701; https://doi.org/10.3390/su142315701 - 25 Nov 2022
Cited by 1 | Viewed by 1650
Abstract
Accurate acquisition of retired mechanical products demand (RMPD) is the basis for realizing effective utilization of remanufacturing service data and improving the feasibility of remanufacturing schemes. Some studies have explored product demands, making product demands an important support for product design and development. [...] Read more.
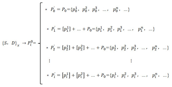
Accurate acquisition of retired mechanical products demand (RMPD) is the basis for realizing effective utilization of remanufacturing service data and improving the feasibility of remanufacturing schemes. Some studies have explored product demands, making product demands an important support for product design and development. However, these studies are obtained through the transformation of customer and market demand information, and few studies are studied from a product perspective. However, remanufacturing services for retired mechanical products (RMP) must consider the impact of the failure characteristics. Consequently, based on the generalized growth of RMP driven by the failure characteristics, the concept of RMPD is proposed in this paper. Then, the improved ant colony algorithm is proposed to mine the generalized growth evolution law of RMP from the empirical data of remanufacturing services, and the RMPD is deduced based on the mapping relationship between the product and its attributes. Finally, the feasibility and applicability of the proposed method are verified by obtaining the demand for retired rolls. In detail, the results show that the proposed method can obtain the RMPD accurately and efficiently, and the performance of the method can be continuously optimized with the accumulation of empirical data. Full article
Show Figures

Figure 1

Back to TopTop