Sign in to use this feature.

Years

Between: -

Subjects

remove_circle_outline
remove_circle_outline
remove_circle_outline
remove_circle_outline

Journals

Article Types

Countries / Regions

Search Results (8)

Search Parameters:
Keywords = recreational noise-induced hearing loss

Order results
Result details
Results per page
Select all
Export citation of selected articles as:
17 pages, 881 KB  
Article
Electrophysiological Evidence of Early Auditory Dysfunction in Personal Listening Device Users: Insights from ABR with Ipsilateral Masking
by A. P. Divya, Praveen Prakash, Sreeraj Konadath, Reesha Oovattil Hussain, Vijaya Kumar Narne and Sunil Kumar Ravi
Diagnostics 2025, 15(21), 2672; https://doi.org/10.3390/diagnostics15212672 - 23 Oct 2025
Viewed by 695
Abstract
Background: Recreational noise exposure from personal listening devices (PLDs) may lead to hidden hearing loss (HHL), affecting auditory nerve function despite normal pure-tone audiometry (PTA) and otoacoustic emissions (OAE). Subclinical auditory damage at the synaptic level often goes undetected by conventional assessments, emphasizing [...] Read more.
Background: Recreational noise exposure from personal listening devices (PLDs) may lead to hidden hearing loss (HHL), affecting auditory nerve function despite normal pure-tone audiometry (PTA) and otoacoustic emissions (OAE). Subclinical auditory damage at the synaptic level often goes undetected by conventional assessments, emphasizing the need for more sensitive measures. Recorded click ABR in the presence of various levels of ipsilateral maskers for the better identification of auditory damage at the synaptic level. These results could help to develop a better objective diagnostic tool that can detect hidden hearing loss. Objective: To examine the effects of PLD usage on extended high-frequency audiometric thresholds and on click-evoked auditory brainstem responses (ABR) with and without ipsilateral masking in individuals with normal hearing. Materials and Methods: Thirty-five young adults aged 18–35 years (18 PLD users, 17 controls) with clinically normal hearing were recruited. Extended high-frequency audiometry (EHFA) was conducted from 9 to 16 kHz. Click-evoked ABRs were recorded at 80 dB nHL under unmasked and ipsilateral broadband noise-masked conditions at 50, 60, and 70 dB SPL. ABR analyses included absolute and relative amplitude (V/I) and latencies of waves I, III, and V. Results: PLD users demonstrated significantly elevated extended high-frequency thresholds compared to controls. ABR analyses revealed reduced Wave I amplitudes across stimulus conditions in PLD users, while Wave V amplitudes were largely preserved, resulting in consistently higher V/I amplitude ratios under masked conditions. No group differences were observed for Wave III amplitudes or absolute/interpeak latencies, except for a modest prolongation of I–III latency at one masker level in PLD users. Conclusions: Conventional audiological tests may not detect early auditory damage; however, extended high-frequency audiometry and ABR with ipsilateral masking demonstrate greater sensitivity in identifying noise-induced functional changes within the auditory brainstem pathways. Full article
Show Figures

Figure 1

13 pages, 465 KB  
Review
Transient-Evoked Otoacoustic Emissions May Reveal Damage to Outer Hair Cells Caused by Exposure to Recreational Noise: A Narrative Review
by Ziqi Zhou, Xingqian Shen, Linlin Wang, Xiaoye Chen, Ting Li, Bo Liu and Hongjun Xiao
Medicina 2025, 61(9), 1538; https://doi.org/10.3390/medicina61091538 - 27 Aug 2025
Viewed by 2588
Abstract
Recreational noise-induced hearing loss (RNIHL) is a significant factor contributing to hearing loss in young people. Its process is irreversible, and early symptoms are hidden. Therefore, early identification is of great significance. Otoacoustic emissions (OAEs) are commonly used to detect the function of [...] Read more.
Recreational noise-induced hearing loss (RNIHL) is a significant factor contributing to hearing loss in young people. Its process is irreversible, and early symptoms are hidden. Therefore, early identification is of great significance. Otoacoustic emissions (OAEs) are commonly used to detect the function of outer hair cells. It is widely used for early diagnosis of occupational noise-induced hearing loss, but it remains underutilized in RNIHL detection. In order to explore the characteristics of RNIHL and the early detection value of different types of OAEs, this study reviewed the detection results of OAEs in previous studies on noise-induced hearing loss and analyzed the differences and causes among the studies. The study found that, through the detection of distortion product otoacoustic emissions (DPOAEs), there were differences in the sensitive frequency bands of outer hair cell damage between recreational noise and occupational noise, particularly in the high-frequency region. Transient-evoked otoacoustic emissions (TEOAEs) can fully reflect the damage to cochlear outer hair cells caused by RNIHL. This study indicates that OAEs, particularly TEOAEs, can serve as a highly sensitive and objective detection tool for RNIHL, whereas DPOAEs are more appropriate for the early screening of occupational noise-induced hearing loss. Full article
Show Figures

Figure 1

15 pages, 370 KB  
Article
Identifying Targets for Interventions to Increase Earplug Use in Noisy Recreational Settings: A Qualitative Interview Study
by Michael T. Loughran, Samuel Couth, Christopher J. Plack and Christopher J. Armitage
Int. J. Environ. Res. Public Health 2021, 18(24), 12879; https://doi.org/10.3390/ijerph182412879 - 7 Dec 2021
Cited by 10 | Viewed by 3697
Abstract
Earplugs can reduce the risk of hearing loss and tinnitus. However, earplug use during noisy recreational activities is uncommon, and methods for increasing uptake and regular use have had limited efficacy. The aim of the present study was to examine barriers and enablers [...] Read more.
Earplugs can reduce the risk of hearing loss and tinnitus. However, earplug use during noisy recreational activities is uncommon, and methods for increasing uptake and regular use have had limited efficacy. The aim of the present study was to examine barriers and enablers of ever-performers (e.g., people who have used earplugs) and never-performers (e.g., people who have not used earplugs) to identify targets to inform the content of interventions to increase uptake and regular use of earplugs in recreational settings. The Capabilities, Opportunities, and Motivations model of Behaviour (COM-B) informed the outline for 20 semi-structured telephone interviews (ever-performers, N = 8, age range = 20–45 years; never-performers, N = 12; age range = 20–50 years). Thematic analysis was used to identify barriers and enablers to earplug use, which were mapped onto the Theoretical Domains Framework (TDF). Six key domains of the TDF were identified. Ever-performers described being more exposed to ‘social influences’ (e.g., facilitators such as friends/peers) and were more positive than never-performers concerning ‘beliefs about consequences’ (e.g., earplug protection outweighs any negative effects on listening/communication). Involvement of ‘emotion’ (e.g., fear of losing ability to listen to music) and ‘reinforcement’ tactics (e.g., creating habits/routines) were discussed by ever-performers, but were not mentioned by never-performers. Both groups reported lack of ‘environmental context and resources’ (e.g., prompts and cues), and their own ‘memory, attention, and decision processes’ (e.g., deciding when to use earplugs) as barriers to earplug use. The present research identifies the variables that would need to change in order to increase earplug uptake and use in recreational settings among ever-performers and never-performers. Further work is required to translate these findings into testable interventions by selecting appropriate intervention functions (e.g., modelling), policy categories (e.g., communication/marketing), behaviour change techniques (e.g., demonstration of behaviour), and mode of delivery (e.g., face-to-face). Full article
(This article belongs to the Special Issue Occupational and Recreational Hearing Loss)
19 pages, 333 KB  
Review
Cetacean Acoustic Welfare in Wild and Managed-Care Settings: Gaps and Opportunities
by Paige E. Stevens, Heather M. Hill and Jason N. Bruck
Animals 2021, 11(11), 3312; https://doi.org/10.3390/ani11113312 - 19 Nov 2021
Cited by 15 | Viewed by 6751
Abstract
Cetaceans are potentially at risk of poor welfare due to the animals’ natural reliance on sound and the persistent nature of anthropogenic noise, especially in the wild. Industrial, commercial, and recreational human activity has expanded across the seas, resulting in a propagation of [...] Read more.
Cetaceans are potentially at risk of poor welfare due to the animals’ natural reliance on sound and the persistent nature of anthropogenic noise, especially in the wild. Industrial, commercial, and recreational human activity has expanded across the seas, resulting in a propagation of sound with varying frequency characteristics. In many countries, current regulations are based on the potential to induce hearing loss; however, a more nuanced approach is needed when shaping regulations, due to other non-hearing loss effects including activation of the stress response, acoustic masking, frequency shifts, alterations in behavior, and decreased foraging. Cetaceans in managed-care settings share the same acoustic characteristics as their wild counterparts, but face different environmental parameters. There have been steps to integrate work on welfare in the wild and in managed-care contexts, and the domain of acoustics offers the opportunity to inform and connect information from both managed-care settings and the wild. Studies of subjects in managed-care give controls not available to wild studies, yet because of the conservation implications, wild studies on welfare impacts of the acoustic environment on cetaceans have largely been the focus, rather than those in captive settings. A deep integration of wild and managed-care-based acoustic welfare research can complement discovery in both domains, as captive studies can provide greater experimental control, while the more comprehensive domain of wild noise studies can help determine the gaps in managed-care based acoustic welfare science. We advocate for a new paradigm in anthropogenic noise research, recognizing the value that both wild and managed-care research plays in illustrating how noise pollution affects welfare including physiology, behavior, and cognition. Full article
(This article belongs to the Special Issue Zoo and Wild Animals Welfare Assessments)
11 pages, 1362 KB  
Article
Analysis of the Actual One-Month Usage of Portable Listening Devices in College Students
by Gibbeum Kim, Jihun Shin, Changgeun Song and Woojae Han
Int. J. Environ. Res. Public Health 2021, 18(16), 8550; https://doi.org/10.3390/ijerph18168550 - 13 Aug 2021
Cited by 5 | Viewed by 3483
Abstract
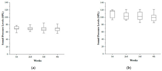
Although contemporary researchers are concerned about overexposure of portable listening devices (PLD) for adolescents and young adults who often prefer listening to music at high levels for a long time, many of these studies have focused on either comparing sound pressure levels of [...] Read more.
Although contemporary researchers are concerned about overexposure of portable listening devices (PLD) for adolescents and young adults who often prefer listening to music at high levels for a long time, many of these studies have focused on either comparing sound pressure levels of various kinds of earphones or evaluating the recognition of noise-included hearing loss and listening habits through surveys. Further still, current criteria were developed for occupational noise-induced hearing loss, so there are only a few published guidelines for hearing insults due to recreational noise exposure. The present study, therefore, measures actual listening levels and PLD time in college students using a real-time measurement system and applying that gathered scientific data to the internationally recommended noise exposure standards. Thirty-four college students were asked to listen to music similar to their daily lifestyles for 4-weeks. After installing the application, the Google account that linked to the user’s mobile phone was logged into the server communication. When a subject listened to music, the average and maximum listening levels and listening time could then be recognized as his or her Google account ID and stored in the database for analysis. User data was measured at 1-s intervals and delivered to the main server system every 5 s. The data were analyzed as LZeq for mean levels and LCpeak for maximum levels, and also for PLD use time. The mean of the preferred listening level was 68–70 dB SPL for 4 weeks with long enough break times. That is, the listening levels of college students were not high enough to induce instant hearing loss when they used PLD. However, there was a large individual difference in the listening levels and use times. When applied to three recommended noise exposure criteria, the number of exceeded subjects also differed from 0 to 56.72% depending on the criterion. We thus suggest that appropriate and standardized criteria for music-induced hearing loss might be proposed for recreational PLD users. Full article
(This article belongs to the Section Digital Health)
Show Figures

Figure 1

7 pages, 295 KB  
Article
Identifying Targets for Interventions to Increase Uptake and Use of Hearing Protection in Noisy Recreational Settings
by Michael T. Loughran, Christopher J. Plack and Christopher J. Armitage
Int. J. Environ. Res. Public Health 2021, 18(15), 8025; https://doi.org/10.3390/ijerph18158025 - 29 Jul 2021
Cited by 6 | Viewed by 2836
Abstract
Interventions to increase hearing protection behaviours within noisy recreational settings are limited by the lack of an underpinning evidence base. The aim of the present study was to identify targets for interventions in a population exposed to recreational noise, including those who had [...] Read more.
Interventions to increase hearing protection behaviours within noisy recreational settings are limited by the lack of an underpinning evidence base. The aim of the present study was to identify targets for interventions in a population exposed to recreational noise, including those who had used hearing protection (ever-performers) versus those who had not (never-performers). A cross-sectional survey was administered to 185 UK adults who had been involved in noisy recreational activities. Participants had an average age of 36.79 years; the majority were women (68.1%), from a white ethnic background (87.6%), and with non-manual occupations (75.7%). Using Chi-square, MANOVA and ANOVA, we looked for differences in sociodemographic variables and variables from the capabilities, opportunities and motivations model of behaviour change (COM-B) between ever- and never-performers. Ever-performers were more likely to be younger (p < 0.050), men (p < 0.050), and in a manual occupation (p < 0.050) compared to never-performers. Although the two groups felt capable and reported similar opportunities to use hearing protection, never-performers lacked automatic motivation (p < 0.001) and reflective motivation (p < 0.001) compared to ever-performers. For the first time, the present study identifies potential groups at whom hearing protection interventions might be targeted and what those interventions may contain. Further work is required to develop interventions targeted at older people, women and those in non-manual occupations. Lack of motivation is a key concern, and further work that uses specific theoretical frameworks, such as the PRIME (Plans, Responses, Impulses, Motives, and Evaluations) theory of motivation, may shed light on the kinds of interventions that are needed to boost hearing protection use effectively. Full article
(This article belongs to the Special Issue Health Care of Noise-Induced Hearing Loss)
13 pages, 1094 KB  
Review
High-Frequency Audiometry for Early Detection of Hearing Loss: A Narrative Review
by Michaela Škerková, Martina Kovalová and Eva Mrázková
Int. J. Environ. Res. Public Health 2021, 18(9), 4702; https://doi.org/10.3390/ijerph18094702 - 28 Apr 2021
Cited by 28 | Viewed by 8084
Abstract
The WHO considers hearing loss to be a major global problem. A literature search was conducted to see whether high-frequency audiometry (HFA) could be used for the early detection of hearing loss. A further aim was to see whether any differences exist in [...] Read more.
The WHO considers hearing loss to be a major global problem. A literature search was conducted to see whether high-frequency audiometry (HFA) could be used for the early detection of hearing loss. A further aim was to see whether any differences exist in the hearing threshold using conventional audiometry (CA) and HFA in workers of different age groups exposed to workplace noise. Our search of electronic databases yielded a total of 5938 scientific papers. The inclusion criteria were the keywords “high frequency” and “audiometry” appearing anywhere in the article and the participation of unexposed people or a group exposed to workplace noise. Fifteen studies met these conditions; the sample size varied (51–645 people), and the age range of the people studied was 5–90 years. Commercial high-frequency audiometers and high-frequency headphones were used. In populations unexposed to workplace noise, significantly higher thresholds of 14–16 kHz were found. In populations with exposure to workplace noise, significantly higher statistical thresholds were found for the exposed group (EG) compared with the control group (CG) at frequencies of 9–18 kHz, especially at 16 kHz. The studies also showed higher hearing thresholds of 10–16 kHz in respondents aged under 31 years following the use of personal listening devices (PLDs) for longer than 5 years. The effect of noise-induced hearing loss (NIHL) first became apparent for HFA rather than CA. However, normative data have not yet been collected. Therefore, it is necessary to establish a uniform evaluation protocol accounting for age, sex, comorbidities and exposures, as well as for younger respondents using PLDs. Full article
(This article belongs to the Special Issue Health Care of Noise-Induced Hearing Loss)
Show Figures

Figure 1

11 pages, 694 KB  
Article
Assessment of Safe Listening Intentional Behavior Toward Personal Listening Devices in Young Adults
by Kamakshi V. Gopal, Sara Champlin and Bryce Phillips
Int. J. Environ. Res. Public Health 2019, 16(17), 3180; https://doi.org/10.3390/ijerph16173180 - 31 Aug 2019
Cited by 21 | Viewed by 4936
Abstract
Recreational noise-induced hearing loss (RNIHL) is a highly preventable disorder that is commonly seen in teenagers and young adults. Despite the documented negative effects of RNIHL, it is still challenging to persuade people to adopt safe listening behaviors. More research is needed to [...] Read more.
Recreational noise-induced hearing loss (RNIHL) is a highly preventable disorder that is commonly seen in teenagers and young adults. Despite the documented negative effects of RNIHL, it is still challenging to persuade people to adopt safe listening behaviors. More research is needed to understand the underlying factors guiding listeners’ intentions to engage in safe listening habits. We used the Theory of Planned Behavior (TPB) to identify attitudes, social norms, and behavioral control in 92 young adults toward two intentional behaviors related to safe listening habits while listening to their personal listening devices: (1) lowering the intensity of loud music, and (2) shortening the listening duration of loud music. Using a Qualtrics survey, the major factors of the TPB model as they relate to the participants’ intention to engage in risk-controlling behavior were assessed. Behavioral intentions to turn the music down and listen for shorter durations were thought to be predicted by the TPB factors (attitudes, social norms, and perceived behavioral control). Linear regression findings indicated that the overall TPB models were significant. Positive attitudes toward turning the music down and shortening the durations were significantly associated with intentions to engage in non-risky behavior, more so for the former behavior. Full article
(This article belongs to the Special Issue Environmental Exposures and Hearing Loss)
Show Figures

Figure 1

Back to TopTop