Sign in to use this feature.

Years

Between: -

Subjects

remove_circle_outline
remove_circle_outline
remove_circle_outline

Journals

Article Types

Countries / Regions

Search Results (4)

Search Parameters:
Keywords = pharmacists’ perspective on digital health

Order results
Result details
Results per page
Select all
Export citation of selected articles as:
15 pages, 1251 KB  
Article
Understanding Patient Experiences: A Mixed-Methods Study on Barriers and Facilitators to TB Care-Seeking in South Africa
by Farzana Sathar, Claire du Toit, Violet Chihota, Salome Charalambous, Denise Evans and Candice Chetty-Makkan
Trop. Med. Infect. Dis. 2025, 10(10), 283; https://doi.org/10.3390/tropicalmed10100283 - 3 Oct 2025
Viewed by 847
Abstract
Introduction: Tuberculosis (TB) remains a public health concern, and people at risk for TB are hesitant to seek care. The first South African National TB prevalence survey, conducted in 2017–2019, found that most participants with TB symptoms did not seek care for TB. [...] Read more.
Introduction: Tuberculosis (TB) remains a public health concern, and people at risk for TB are hesitant to seek care. The first South African National TB prevalence survey, conducted in 2017–2019, found that most participants with TB symptoms did not seek care for TB. In 2022, an estimated 23% of people with TB in South Africa were undiagnosed, contributing to the country’s burden of “missing” TB cases. This study explores health-seeking behaviour among people with TB (PwTB) in South Africa, focussing on barriers and facilitators to care-seeking and the quantification of TB-related stigma from a patient and community perspective. Methods: We conducted a mixed-method study in the City of Johannesburg (COJ) Metropolitan Municipality from February to March 2022. PwTB aged 18 and older initiating TB treatment for microbiologically confirmed pulmonary TB were recruited from three primary healthcare facilities in the COJ. After providing written informed consent, they participated in a one-time, in-depth, face-to-face interview. The interviews were digitally recorded and conducted by trained facilitators. We used thematic analysis with deductive approaches to develop themes. We used the Van Rie TB stigma assessment scale to quantify perceived stigma. Results: We interviewed 23 PwTB with an overall median age of 39 years and 14 (61%) males. Patient-level barriers to accessing TB care included visiting traditional healers and pharmacists before their TB diagnosis; wrong or missed diagnosis by private doctors; work commitments; scarcity of resources to attend the clinic or walk long distances; perceived and experienced stigma; and a lack of TB knowledge. Facility-level barriers included long clinic queues and uncertainty about where to receive TB care in the clinic. Facilitators for TB care-seeking included being in contact with someone who had TB, receiving encouragement from family, or having knowledge about TB transmission and early diagnosis. The overall median total stigma score among 21 PwTB was 53 (IQR: 46–63), with median community and patient stigma scores of 25 (IQR: 22–30) and 31 (IQR: 21–36), respectively. Conclusions: We found important considerations for the TB programme to improve the uptake of services. Since PwTB consult elsewhere before visiting a facility for TB care, TB programmes could establish private–public partnerships. TB programmes could also increase TB awareness in the community, especially among males, and mobile clinics could be considered to assist with TB case detection and treatment provision. Applying behavioural design techniques and co-designing interventions with patients and providers could improve TB health-seeking behaviours. Full article
(This article belongs to the Special Issue New Perspectives in Tuberculosis Prevention and Control)
Show Figures

Figure 1

14 pages, 309 KB  
Article
Understanding the Risks and Benefits of a Patient Portal Configured for HIV Care: Patient and Healthcare Professional Perspectives
by Dominic Chu, David Lessard, Moustafa A. Laymouna, Kim Engler, Tibor Schuster, Yuanchao Ma, Nadine Kronfli, Jean-Pierre Routy, Tarek Hijal, Karine Lacombe, Nancy Sheehan, Hayette Rougier and Bertrand Lebouché
J. Pers. Med. 2022, 12(2), 314; https://doi.org/10.3390/jpm12020314 - 19 Feb 2022
Cited by 8 | Viewed by 4739
Abstract
Background: Like other chronic viral illnesses, HIV infection necessitates consistent self-management and adherence to care and treatment, which in turn relies on optimal collaboration between patients and healthcare professionals (HCPs), including physicians, nurses, pharmacists, and clinical care coordinators. By providing people living with [...] Read more.
Background: Like other chronic viral illnesses, HIV infection necessitates consistent self-management and adherence to care and treatment, which in turn relies on optimal collaboration between patients and healthcare professionals (HCPs), including physicians, nurses, pharmacists, and clinical care coordinators. By providing people living with HIV (PLHIV) with access to their personal health information, educational material, and a communication channel with HCPs, a tailored patient portal could support their engagement in care. Our team intends to implement a patient portal in HIV-specialized clinics in Canada and France. We sought to understand the perceived risks and benefits among PLHIV and HCPs of patient portal use in HIV clinical care. Methods: This qualitative study recruited PLHIV and HIV-specialized HCPs, through maximum variation sampling and purposeful sampling, respectively. Semi-structured focus group discussions (FGDs) were held separately with PLHIV and HCPs between August 2019 and January 2020. FGDs were recorded, transcribed, coded using NVivo 12 software, and analyzed using content analysis. Results: A total of twenty-eight PLHIV participated in four FGDs, and thirty-one HCPs participated in six FGDs. PLHIV included eighteen men, nine women, and one person identifying as other; while, HCPs included ten men, twenty women, and one person identifying as other. A multi-disciplinary team of HCPs were included, involving physicians, nurses, pharmacists, social workers, and clinical coordinators. Participants identified five potential risks: (1) breach of confidentiality, (2) stress or uncertainty, (3) contribution to the digital divide, (4) dehumanization of care, and (5) increase in HCPs’ workload. They also highlighted four main benefits of using a patient portal: (1) improvement in HIV self-management, (2) facilitation of patient visits, (3) responsiveness to patient preferences, and (4) fulfillment of current or evolving patient needs. Conclusion: PLHIV and HCPs identified both risks and benefits of using a patient portal in HIV care. By engaging stakeholders and understanding their perspectives, the configuration of a patient portal can be optimized for end-users and concerns may be mitigated during its implementation. Full article
(This article belongs to the Special Issue Personalized Care for HIV Prevention, Treatment and Cure)
Show Figures

Graphical abstract

16 pages, 1518 KB  
Article
Assessment of Patient Reported Outcomes (PROs) in Outpatients Taking Oral Anticancer Drugs Included in the Real-Life Oncoral Program
by Bastien Collomb, Amélie Dubromel, Anne Gaëlle Caffin, Chloé Herledan, Virginie Larbre, Amandine Baudouin, Ariane Cerutti, Laurence Couturier, Magali Maire, Lionel Karlin, Delphine Maucort-Boulch, Laure Huot, Stéphane Dalle, Emmanuel Bachy, Hervé Ghesquieres, Gilles Salles, Sébastien Couraud, Benoit You, Gilles Freyer, Véronique Trillet-Lenoir, Florence Ranchon and Catherine Rioufoladd Show full author list remove Hide full author list
Cancers 2022, 14(3), 660; https://doi.org/10.3390/cancers14030660 - 28 Jan 2022
Cited by 7 | Viewed by 2904
Abstract
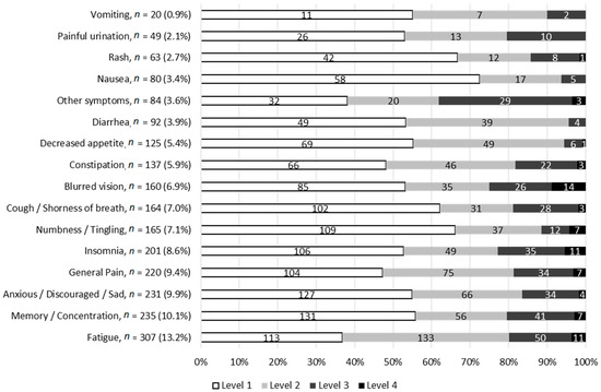
Background In previous studies, patient-reported outcomes (PROs) have been shown to improve survival in cancer patients. The aim of the present study was to assess symptoms potentially related to adverse events experienced by cancer outpatients treated by oral anticancer agents (OAAs) using PROs. [...] Read more.
Background In previous studies, patient-reported outcomes (PROs) have been shown to improve survival in cancer patients. The aim of the present study was to assess symptoms potentially related to adverse events experienced by cancer outpatients treated by oral anticancer agents (OAAs) using PROs. Methods Between September 2018 and May 2019, outpatients starting OAAs were included in a 12-week follow-up to assess 15 symptoms listed in the National Cancer Institute PRO Common Terminology Criteria for Adverse Events, using a 5-point scale of severity or frequency. Patients were requested to alert a referral nurse or pharmacist when they self-assessed high-level (level 3 or 4) symptoms. Results 407 questionnaires were completed by 63 patients in which 2333 symptoms were reported. Almost three-quarters (74.6%) reported at least one high-level symptom. The symptoms that were most commonly experienced were fatigue (>9 in 10 patients; 13.2% of symptoms declared), various psychological disorders (>9 in 10 patients; 28.6% of symptoms declared) and general pain (>8 in 10 patients; 9.4% of symptoms declared). Conclusion PROs are appropriate to detect potential adverse events in cancer outpatients treated by OAAs. This study is the first step for integrating the patient’s perspective in a digital e-health device in routine oncology care. Full article
Show Figures

Figure 1

10 pages, 233 KB  
Article
Pharmacists’ Perspectives on the Use of My Health Record
by Sam Kosari, Kwang Choon Yee, Stephanie Mulhall, Jackson Thomas, Shane L. Jackson, Gregory M. Peterson, Ayla Rudgley, Iain Walker and Mark Naunton
Pharmacy 2020, 8(4), 190; https://doi.org/10.3390/pharmacy8040190 - 14 Oct 2020
Cited by 16 | Viewed by 5611
Abstract
(1) Background: My Health Record (MHR) is a relatively new nationwide Australian digital health record system accessible by patients and a range of healthcare professionals. Pharmacists will be key contributors and users of the MHR system, yet little is known about the perceived [...] Read more.
(1) Background: My Health Record (MHR) is a relatively new nationwide Australian digital health record system accessible by patients and a range of healthcare professionals. Pharmacists will be key contributors and users of the MHR system, yet little is known about the perceived barriers and benefits of use. (2) Objective: To explore pharmacists’ perspectives related to potential benefits and barriers associated with use of MHR. (3) Methods: An online survey was developed and face-validated. The survey was advertised to Australian pharmacists on pharmacy professional bodies’ websites. This was a cross-sectional study using an anonymous questionnaire. Descriptive statistics were used to describe the distribution of the data. Chi-square, Kendall’s tau coefficient (tau-c) and Kruskal–Wallis tests were used to examine the relationships where appropriate. (4) Results: A total of 63 pharmacists completed the survey. The majority of respondents worked in a metropolitan area (74%), and the most common workplace setting was community pharmacy (65%). Perceived benefits identified by responders include that the use of MHR would help with continuity of care (90%), and that it would improve the safety (71%) and quality (75%) of care they provided. Importantly, more than half of pharmacists surveyed agreed that MHR could reduce medication errors during dispensing (57%) and could improve professional relationships with patients (57%) and general practitioners (59%). Potential barriers identified by pharmacists included patients’ concerns about privacy (81%), pharmacists’ own concern about privacy (46%), lack of training, access to and confidence in using the system. Sixty six percent of respondents had concerns about the accuracy of information contained within MHR, particularly among hospital and general practice pharmacists (p = 0.016) and almost half (44%) had concerns about the security of information in the system, mainly pharmacists working at general practice and providing medication review services (p = 0.007). Overall satisfaction with MHR varied, with 48% satisfied, 33% neither satisfied nor dissatisfied, and 19% dissatisfied, with a higher satisfaction rate among younger pharmacists (p = 0.032). (5) Conclusions: Pharmacists considered that the MHR offered key potential benefits, notably improving the safety and quality of care provided. To optimize the use of MHR, there is a need to improve privacy and data security measures, and to ensure adequate provision of user support and education surrounding the ability to integrate use of MHR with existing workflows and software. Full article
Back to TopTop