Sign in to use this feature.

Years

Between: -

Subjects

remove_circle_outline
remove_circle_outline
remove_circle_outline
remove_circle_outline

Journals

Article Types

Countries / Regions

Search Results (10)

Search Parameters:
Keywords = phacoemulsification with iStent

Order results
Result details
Results per page
Select all
Export citation of selected articles as:
14 pages, 327 KB  
Systematic Review
Evaluation of iStent Micro-Bypass vs. Kahook Dual Blade Goniotomy with Phacoemulsification in Open-Angle Glaucoma: A Systematic Review
by Anna Charytonowicz, Jakub Błażowski and Joanna Konopińska
J. Clin. Med. 2025, 14(16), 5819; https://doi.org/10.3390/jcm14165819 - 18 Aug 2025
Viewed by 1102
Abstract
Background/Objectives: Glaucoma refers to a group of eye diseases that damage the optic nerve, causing irreversible vision loss. It typically begins with peripheral vision impairment and, in severe cases, leads to complete blindness. A major advancement in glaucoma treatment is Microinvasive Glaucoma [...] Read more.
Background/Objectives: Glaucoma refers to a group of eye diseases that damage the optic nerve, causing irreversible vision loss. It typically begins with peripheral vision impairment and, in severe cases, leads to complete blindness. A major advancement in glaucoma treatment is Microinvasive Glaucoma Surgery (MIGS), including trabecular bypass and ab interno trabeculectomy, which are generally used for mild to moderate glaucoma. This review aimed to evaluate the efficacy and safety of iStent micro-bypass implantation and Kahook Dual Blade (KDB) goniotomy combined with phacoemulsification in patients with open-angle glaucoma (OAG). Methods: A review of recent studies was conducted using PubMed, Google Scholar, Scopus, Web of Science, and Embase. Both prospective and retrospective clinical studies were included. These MIGS methods were compared for reducing intraocular pressure (IOP) and medication burden at baseline and endpoint. Results: Eleven studies involving 1925 eyes were analyzed. All studies showed that iStent (first- and second-generation) micro-bypass implantation and KDB goniotomy reduced IOP, favoring the phaco-KDB group. Antiglaucoma medication use also decreased significantly. The success rate was sufficient and most complications were minimal. Conclusions: In conclusion, iStent implantation and KDB goniotomy offer a high safety profile, meaningful IOP reduction, a minimally invasive approach, and quick recovery. Full article
(This article belongs to the Special Issue Current Concepts and Updates in Eye Diseases)
Show Figures

Figure 1

11 pages, 1062 KB  
Article
Third-Generation Trabecular Micro-Bypass Implantation and Phacoemulsification in Patients with Glaucoma: A Multicenter Study
by Mitchell Shultz, Zachary M. Vest, Valerie Trubnik, Steven R. Sarkisian and Dana M. Hornbeak
Vision 2025, 9(3), 61; https://doi.org/10.3390/vision9030061 - 19 Jul 2025
Viewed by 1082
Abstract
This multicenter study evaluated the effectiveness and safety of third-generation trabecular micro-bypass implantation (iStent® infinite) combined with phacoemulsification (n = 233 eyes). Key outcomes through 12 months included the mean change in intraocular pressure (IOP) and the number of topical medications, as [...] Read more.
This multicenter study evaluated the effectiveness and safety of third-generation trabecular micro-bypass implantation (iStent® infinite) combined with phacoemulsification (n = 233 eyes). Key outcomes through 12 months included the mean change in intraocular pressure (IOP) and the number of topical medications, as well as proportions achieving IOPs ≤ 18/15/12 mmHg or using 0/1/2/ ≥ 3 medications. In all eyes with 12-month follow-up data (n = 96, consistent cohort), the mean IOP reduced from 17.2 ± 4.2 mmHg preoperatively to 13.8 ± 3.0 mmHg at Month 12 (p = 0.001), while the mean number of medications reduced from 1.24 ± 0.91 preoperatively to 0.61 ± 0.96 at Month 12 (p = 0.001). The proportions of eyes achieving IOP ≤ 18/15/12 mmHg increased from 63.5%, 34.4%, and 14.6% preoperatively to 92.7%, 71.9%, and 37.5%, respectively at Month 12, (all p = 0.001). The proportions of eyes off medication increased from 16.7% preoperatively to 62.5% at Month 12 (p = 0.001). This study provides clinically relevant, real-world results that demonstrate significant reductions in IOP and the number of topical glaucoma medications required following iStent infinite trabecular micro-bypass and phacoemulsification. Full article
Show Figures

Figure 1

10 pages, 1629 KB  
Article
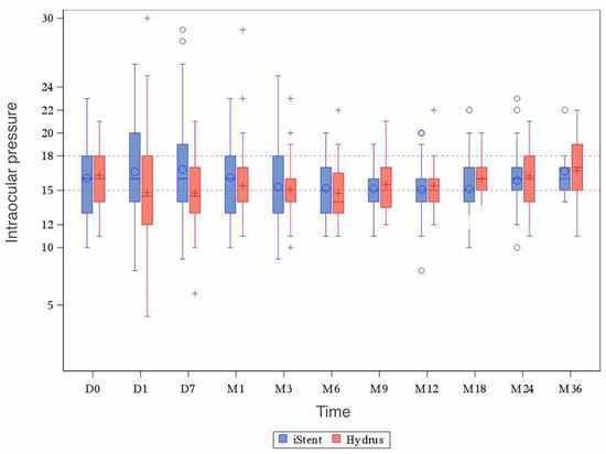
Comparison of the Intraocular Pressure-Lowering Effect of Minimally Invasive Glaucoma Surgery (MIGS) iStent Inject W and Hydrus—The 12-Month Real-Life Data
by Cedric Weich, Julian Alexander Zimmermann, Jens Julian Storp, Ralph-Laurent Merté, Nicole Eter and Viktoria Constanze Brücher
Diagnostics 2025, 15(4), 493; https://doi.org/10.3390/diagnostics15040493 - 18 Feb 2025
Cited by 1 | Viewed by 2794
Abstract
Background/Objectives: To compare the efficacy and safety of Hydrus® Microstent and iStent inject® W implants, in combination with phacoemulsification, for lowering intraocular pressure (IOP) in patients with glaucoma in a real-world clinical setting. Methods: This retrospective, single-center study analyzed medical records [...] Read more.
Background/Objectives: To compare the efficacy and safety of Hydrus® Microstent and iStent inject® W implants, in combination with phacoemulsification, for lowering intraocular pressure (IOP) in patients with glaucoma in a real-world clinical setting. Methods: This retrospective, single-center study analyzed medical records of glaucoma patients who underwent either Hydrus® Microstent or iStent inject® W implantation combined with cataract surgery at the University Hospital Muenster, Germany. Key outcome measures included absolute and relative IOP reduction, reduction in topical antiglaucoma medication use, overall success rate, and complications. A total of 32 eyes were analyzed, 16 in each treatment group, with a 12-month follow-up. Results: Both groups demonstrated significant postoperative IOP reduction (Hydrus: p < 0.001; iStent inject® W: p = 0.032). The Hydrus group achieved significantly greater relative IOP reduction compared to the iStent inject® W group (p = 0.043). The Hydrus group also showed a significant reduction in daily antiglaucoma medication use (p = 0.002), whereas the iStent inject® W group did not achieve statistical significance in this regard (p = 0.054). The overall success rate was higher in the Hydrus group (38%) than in the iStent inject® W group (13%), though the difference was not statistically significant (p = 0.102). No device-related complications were observed in either group. Conclusions: The Hydrus® Microstent demonstrated superior IOP reduction and a more significant reduction in the need for antiglaucoma medications compared to the iStent inject® W in a real-world setting. These findings support the use of the Hydrus implant as an effective and safe micro-invasive glaucoma surgery (MIGS) option for patients with mild to moderate POAG. Further studies with larger patient populations and long-term follow-up are warranted to confirm the efficacy in patients with PEX and advanced glaucoma. Full article
(This article belongs to the Special Issue Glaucoma: Diagnosis and Management)
Show Figures

Figure 1

13 pages, 638 KB  
Article
First-Generation iStent Bypass Implantation versus ab Externo Canaloplasty Combined with Phacoemulsification in Patients with Primary Open Angle Glaucoma—12-Month Follow-Up
by Kinga Gołaszewska, Iwona Obuchowska and Joanna Konopińska
J. Clin. Med. 2023, 12(17), 5711; https://doi.org/10.3390/jcm12175711 - 1 Sep 2023
Cited by 1 | Viewed by 1467
Abstract
This prospective, non-randomized, interventional clinical study evaluated the efficacy and safety profile of first-generation iStent bypass implantation versus ab externo canaloplasty, both combined with phacoemulsification, in patients with primary open-angle glaucoma (POAG) after 12-month follow-up. A total of 138 patients with POAG and [...] Read more.
This prospective, non-randomized, interventional clinical study evaluated the efficacy and safety profile of first-generation iStent bypass implantation versus ab externo canaloplasty, both combined with phacoemulsification, in patients with primary open-angle glaucoma (POAG) after 12-month follow-up. A total of 138 patients with POAG and their 138 eyes (69 phaco-iStent and 69 phacocanaloplasty) were included. Postoperatively at 12 months, the mean intraocular pressure (IOP) decreased from 18.44 ± 3.88 to 15.51 ± 2.50 mmHg and from 17.20 ± 4.04 to 14.97 ± 2.37 mmHg in the phaco-iStent (PiS) and phacocanaloplasty (PC) groups, respectively (p = 0.480). In both groups, 35.7% achieved >20% IOP reduction from baseline. A total of 86% and 71.4% of the eyes were medication-free at 12 months in the PiS and PC groups, respectively. In both groups, all eyes showed improvement in best-corrected visual acuity compared with baseline and demonstrated similar safety profiles throughout the 12-month follow-up period. This study showed equal hypotensive effects of PiS and PC. Both procedures significantly reduced the IOP and the requirement for IOP-lowering medications for at least 12 months postoperatively, with no significant differences between the groups. Full article
(This article belongs to the Section Ophthalmology)
Show Figures

Figure 1

13 pages, 3270 KB  
Article
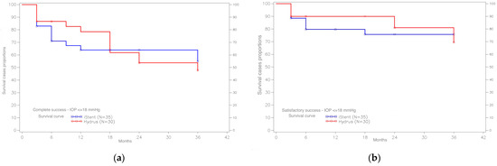
Comparison of Safety and Efficacy of Hydrus and iStent Combined with Phacoemulsyfication in Open Angle Glaucoma Patients: 24-Month Follow-Up
by Joanna Jabłońska, Katarzyna Lewczuk and Marek Tadeusz Rękas
Int. J. Environ. Res. Public Health 2023, 20(5), 4152; https://doi.org/10.3390/ijerph20054152 - 25 Feb 2023
Cited by 9 | Viewed by 3598
Abstract
The paper presents the results of a 24-month-long observation comparing the effectiveness and safety of two micro-invasive glaucoma surgery (MIGS) devices: Hydrus Microstent and iStent Trabecular Bypass in combination with cataract phacoemulsification in the treatment of open-angle glaucoma. We also analyzed the impact [...] Read more.
The paper presents the results of a 24-month-long observation comparing the effectiveness and safety of two micro-invasive glaucoma surgery (MIGS) devices: Hydrus Microstent and iStent Trabecular Bypass in combination with cataract phacoemulsification in the treatment of open-angle glaucoma. We also analyzed the impact of preoperative factors on achieving surgical success in both surgical methods. The prospective, comparative, non-randomized study included 65 glaucoma surgeries. In 35 patients (53.8%), an iStent implant procedure was performed, while 30 patients (46.2%) underwent a Hydrus implant procedure. The demographic data was similar in both treatment groups. At 24 months after surgery, the mean IOP in the iStent group was 15.9 ± 3.0 mmHg and in the Hydrus group 16.2 ± 1.8 mmHg. The difference between the mean iStent vs Hydrus after two years of treatment was −0.3 (p = 0.683). At the 24 month follow-up, the average change in the number of antiglaucoma medications used was 71.7% in the iStent group and 79.6% in the Hydrus group. The difference in mean percentage change between groups was 7.9% in favor of Hydrus. Patients under the age of 70 may benefit from a greater risk reduction in the Hydrus group (HR = 0.81), while those over the age of 70 may benefit from a risk reduction in the iStent group (HR = 1.33). IOP cases with >18 mmHg before the surgery have a better chance of surgical success with the Hydrus method (HR = 0.28), and with IOP < 18 mmHg in the iStent group (HR = 1.93). Cases with more drugs (≥3 drugs) are more favorable in the Hydrus group (HR = 0.23), while those with a maximum of two drugs have a better prognosis in the iStent group (HR = 2.23). The most common postoperative complication was the presence of erythrocytes in the anterior chamber (AC), found in 40.0% of operated eyes in the Hydrus group. The profile of observed complications and significant improvement in visual acuity allows us to consider both implants as a safe way of treating patients with early or moderate glaucoma and co-existing cataracts. Full article
Show Figures

Figure 1

11 pages, 1175 KB  
Article
Posture-Induced Intraocular Pressure Changes after iStent Inject W Combined with Phacoemulsification in Open Angle Glaucoma Patients
by Kentaro Iwasaki, Shogo Arimura, Yusuke Orii and Masaru Inatani
Medicina 2023, 59(3), 423; https://doi.org/10.3390/medicina59030423 - 21 Feb 2023
Cited by 2 | Viewed by 3097
Abstract
Background and Objectives: The purpose of this study was to evaluate the posture-induced intraocular pressure (IOP) changes after iStent inject W combined with phacoemulsification procedure in Japanese patients with open-angle glaucoma. Materials and Methods: We prospectively evaluated the posture-induced IOP changes [...] Read more.
Background and Objectives: The purpose of this study was to evaluate the posture-induced intraocular pressure (IOP) changes after iStent inject W combined with phacoemulsification procedure in Japanese patients with open-angle glaucoma. Materials and Methods: We prospectively evaluated the posture-induced IOP changes after surgery. The primary outcome was the posture-induced IOP changes postoperatively. Secondary outcome measures included postoperative complications, visual acuity, visual field, and corneal endothelial cell density. Results: This study completed the prospective observation for 15 eyes (15 patients). The mean preoperative IOP with the Goldmann applanation tonometer was 16.0 ± 2.6 mm Hg with a mean glaucoma medication usage of 2.5 ± 1.2, which decreased to 14.4 ± 2.4 mm Hg (p = 0.14) and 0.5 ± 0.9 medications (p < 0.01), respectively, 12 months postoperatively. The mean baseline IOP with the ICare was 12.0 ± 2.7 mmHg in the sitting position, which significantly increased to 15.2 ± 3.8 mmHg in the lateral decubitus position (p < 0.01). This postural IOP difference was 3.2 ± 2.2 mmHg and 3.2 ± 2.4 mmHg at baseline and 12 months postoperatively, respectively, with no significant changes (p > 0.99). Conclusions: iStent inject W combined with cataract surgery reduced the IOP and the number of glaucoma medications during short-term follow-ups with high safety. However, iStent inject W did not affect the degree of posture-induced IOP changes. Full article
Show Figures

Figure 1

14 pages, 708 KB  
Article
Efficacy and Safety of ab Externo Phaco-Canaloplasty versus First-Generation iStent Bypass Implantation Combined with Phacoemulsification in Patients with Primary Open Angle Glaucoma-Early Results
by Kinga Gołaszewska, Iwona Obuchowska and Joanna Konopińska
Int. J. Environ. Res. Public Health 2023, 20(2), 1365; https://doi.org/10.3390/ijerph20021365 - 12 Jan 2023
Cited by 3 | Viewed by 2134
Abstract
This study evaluated the early outcomes of the hypotensive efficacy and safety profile of ab externo phaco-canaloplasty versus first-generation iStent bypass implantation combined with phacoemulsification in patients with primary open-angle glaucoma (POAG). In total, 82 patients with POAG comprising 92 eyes were divided [...] Read more.
This study evaluated the early outcomes of the hypotensive efficacy and safety profile of ab externo phaco-canaloplasty versus first-generation iStent bypass implantation combined with phacoemulsification in patients with primary open-angle glaucoma (POAG). In total, 82 patients with POAG comprising 92 eyes were divided into phaco-canaloplasty (Group PC, (n = 47) or iStent combined with phacoemulsification (Group PiS, n = 45) groups. Primary outcome measures were intraocular pressure (IOP) reduction and number of glaucoma medications. Secondary outcome measures were best-corrected visual acuity (BCVA), endothelial cell density (EECD), changes in anterior chamber depth (ACD), and complication rate. The follow-up period was approximately 6 months. Preoperative IOPs were 17.30 (15.00; 19.85) mmHg and 17.50 (15.10; 20.90) mmHg in the PC and PiS groups, respectively (p = 0.876). At the end of the follow-up, IOP decreased to 15.00 (13.00; 16.00) mmHg and 15.00 (14.00; 17.00) mmHg in the PC and PiS groups, respectively (p = 0.438). Medication usage decreased from 2.08 to 0.12 and 1.40 to 0.04 in PC and PiS eyes, respectively. Most patients in both groups were medication-free at 6 months follow-up. After 6 months of observation, EECD in PC and PiS groups decreased from 2309.50 (2032.00; 2533.00) to 1966.50 (1262.00; 2353.50) and 2160.00 (1958.50; 2372.50), to1231.00 (1089.00; 2050.00), respectively (p = 0.037). Pre-surgery BCVA was 0.80 (0.50; 1.00) and 0.60 (0.40; 1.00) in PC and PiS eyes, respectively (p = 0.456). Follow-up BCVA was 0.95 (0.60; 1.00) for PC and 1.00 (1.00; 1.00) for PiS. Hyphema and corneal oedema were noted on the first day post-surgery in both groups. Subsequent complications included a transient increase in IOP in the PC group. Phaco-canaloplasty and iStent bypass implantation combined with phacoemulsification significantly lowered IOP and decreased medication burden. All eyes in both groups maintained or exhibited improved BCVA relative to baseline. Both surgeries had low postoperative complication rates and exhibited comparable safety profiles over 6-month follow-up in patients with POAG. Full article
Show Figures

Figure 1

10 pages, 565 KB  
Review
Evaluation of the Efficacy and Safety of Canaloplasty and iStent Bypass Implantation in Patients with Open-Angle Glaucoma: A Review of the Literature
by Kinga Gołaszewska, Joanna Konopińska and Iwona Obuchowska
J. Clin. Med. 2021, 10(21), 4881; https://doi.org/10.3390/jcm10214881 - 23 Oct 2021
Cited by 9 | Viewed by 2429
Abstract
The aim of the paper was to evaluate the efficacy and safety of minimally invasive antiglaucoma procedures: Canaloplasty and iStent bypass implantation with and without phacoemulsification in patients with primary open-angle glaucoma (POAG). A systematic review of the recent literature was performed based [...] Read more.
The aim of the paper was to evaluate the efficacy and safety of minimally invasive antiglaucoma procedures: Canaloplasty and iStent bypass implantation with and without phacoemulsification in patients with primary open-angle glaucoma (POAG). A systematic review of the recent literature was performed based on the PubMed, Google Scholar, Web of Science and Scopus databases. The effectiveness of the procedures was evaluated based on the reduction of intraocular pressure (IOP) and the amount of antiglaucoma medication used before and after surgery. Safety of the treatments was evaluated based on the number of incidences of certain intraoperative and postoperative complications. Independent prospective randomized controlled trials (PRCTs) have demonstrated that both procedures, canaloplasty and iStent implantation, are effective in reducing IOP and the amount of antiglaucoma medication. Considering the safety profile of these procedures, both canaloplasty and iStent implantation are associated with low rates of postoperative complications and have similar safety profiles. Further studies are needed to confirm the results of our analysis, including a high-quality randomized controlled trial comparing canaloplasty and iStent bypass implantation Full article
(This article belongs to the Section Ophthalmology)
Show Figures

Figure 1

9 pages, 252 KB  
Article
Evaluation of the Effect of the First Generation iStent on Corneal Endothelial Cell Loss—A Match Case-Control Study
by Joanna Konopińska, Emil Saeed, Łukasz Lisowski, Kinga Gołaszewska, Paweł Kraśnicki, Diana Anna Dmuchowska and Iwona Obuchowska
J. Clin. Med. 2021, 10(19), 4410; https://doi.org/10.3390/jcm10194410 - 26 Sep 2021
Cited by 4 | Viewed by 2419
Abstract
Glaucoma is the leading cause of irreversible blindness worldwide. The only proven factor in slowing the progression of glaucomatous neuropathy is lower intraocular pressure (IOP), which can be achieved with pharmacology, laser therapy, or surgery. However, these treatments are associated with various adverse [...] Read more.
Glaucoma is the leading cause of irreversible blindness worldwide. The only proven factor in slowing the progression of glaucomatous neuropathy is lower intraocular pressure (IOP), which can be achieved with pharmacology, laser therapy, or surgery. However, these treatments are associated with various adverse effects, including corneal endothelial cell loss (CECL). In recent years, several novel surgeries for reducing the IOP, collectively referred to as minimally invasive glaucoma surgery (MIGS), have been developed, one of which is the iStent. However, the long-term effects of such surgeries remain unknown. We compared a group of patients with open-angle glaucoma and cataract who underwent phacoemulsification alone with a group of patients with similar demographic and clinical characteristics who underwent simultaneous phacoemulsification and iStent implantation. Overall, 26 eyes of 22 subjects who underwent a combined phacoemulsification-iStent procedure and 26 eyes of 24 subjects who underwent cataract surgery were included. Before surgery, endothelial cells accounted to 2228.65 ± 474.99 in iStent group and 2253.96 ± 404.76 in the control group (p = 0.836). After surgery, their number declined to 1389.77 ± 433.26 and 1475.31 ± 556.45, respectively (p = 0.509). There was no statistically significant difference in CECL between the two groups 18–24 months after surgery, despite increased manipulation in the anterior chamber and the presence of an implant in the trabecular meshwork in those with an iStent implant. Thus, iStent bypass implantation is a safe treatment in terms of CECL for mild-to-moderate open-angle glaucoma. Full article
(This article belongs to the Section Ophthalmology)
11 pages, 264 KB  
Article
Efficacy of Selective Laser Trabeculoplasty after iStent Implantation in Primary Open-Angle Glaucoma
by Adam R Siedlecki, Patrice M Hicks, Benjamin Haaland, Margaret M DeAngelis and Sandra F Sieminski
J. Pers. Med. 2021, 11(8), 797; https://doi.org/10.3390/jpm11080797 - 16 Aug 2021
Cited by 1 | Viewed by 2859
Abstract
iStent implantation is thought to augment the trabecular outflow channel in the anterior segment of the eye. We hypothesized that iStent with subsequent selective laser trabeculoplasty (SLT) would better control the intraocular pressure (IOP) compared to standalone SLT in patients with primary open-angle [...] Read more.
iStent implantation is thought to augment the trabecular outflow channel in the anterior segment of the eye. We hypothesized that iStent with subsequent selective laser trabeculoplasty (SLT) would better control the intraocular pressure (IOP) compared to standalone SLT in patients with primary open-angle glaucoma (POAG). We, therefore, determined if the presence of an iStent combined with SLT was statistically associated with IOP lowering compared to standalone SLT. Through retrospective electronic medical record review, records of 824 eyes from 440 patients who received primary SLT without a history of iStent were considered. Additionally, 42 eyes from 28 patients who received SLT after combined phacoemulsification and iStent implantation that failed to control intraocular pressure (IOP) and/or the progression of the disease were retrospectively reviewed. IOP and number of medications, which were tracked in each patient for up to 12 months post laser, were also examined. Successful outcome was defined as a statistically significant reduction in IOP or number of medications at 6 months. As defined in univariate analysis (p ≤ 0.01), multivariate analysis included iStent, age, sex, race, and initial IOP as variables. IOP reduction was statistically associated with patients pre-SLT IOP (p < 0.001) but not with patients with iStent (p = 0.222). Medication reduction was statistically associated with the pre-SLT number of medications (p < 0.001) and iStent (p < 0.001). In eyes that received SLT, iStent was not statistically associated with a greater reduction in IOP compared to controls, but was associated with a higher reduction in the overall number of medications used 6 months after receiving SLT. The work presented should guide clinicians to consider SLT as an effective therapy after iStent implantation, in terms of glaucoma medication reduction in iStent patients, but clinicians should know that the presence of an iStent does not necessarily make subsequent SLT more effective at lowering IOP. Full article
Back to TopTop