Sign in to use this feature.

Years

Between: -

Subjects

remove_circle_outline

Journals

Article Types

Countries / Regions

Search Results (3)

Search Parameters:
Keywords = multicomponent beam plasma

Order results
Result details
Results per page
Select all
Export citation of selected articles as:
9 pages, 26580 KB  
Article
Electron-Beam Deposition of Metal and Ceramic-Based Composite Coatings in the Fore-Vacuum Pressure Range
by A. V. Tyunkov, A. S. Klimov, K. P. Savkin, Y. G. Yushkov and D. B. Zolotukhin
Ceramics 2022, 5(4), 789-797; https://doi.org/10.3390/ceramics5040057 - 17 Oct 2022
Cited by 4 | Viewed by 2855
Abstract
We present the experimental results on the fabrication of metal-ceramic coatings by electron-beam evaporation of alumina ceramic and copper powder composites with different fractions of the components (with Cu powder fraction from 0.1 to 20%) pre-sintered by an electron beam. The mass-to-charge composition [...] Read more.
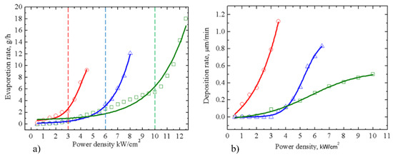
We present the experimental results on the fabrication of metal-ceramic coatings by electron-beam evaporation of alumina ceramic and copper powder composites with different fractions of the components (with Cu powder fraction from 0.1 to 20%) pre-sintered by an electron beam. The mass-to-charge composition of the multi-component plasma, generated in the electron beam transport region, was measured, demonstrating that the fraction of target ions in plasma grows with the electron beam power density. The morphology and electrical conductivity of fabricated coatings were investigated; it was found that the increase in Cu fraction in the deposited coating from 0 to 20% decreases both the volumetric and surface resistance of the coatings in around 8 orders of magnitude, thereby being a convenient tool to control the coating properties. Full article
(This article belongs to the Special Issue Ceramic Coatings for High-Temperature Applications)
Show Figures

Figure 1

11 pages, 3122 KB  
Article
Dielectric Coating Deposition Regimes during Electron-Beam Evaporation of Ceramics in the Fore-Vacuum Pressure Range
by Yury G. Yushkov, Efim M. Oks, Andrey V. Tyunkov and Denis B. Zolotukhin
Coatings 2022, 12(2), 130; https://doi.org/10.3390/coatings12020130 - 24 Jan 2022
Cited by 7 | Viewed by 4142
Abstract
We present experimental results on the deposition of dielectric coatings on metal surfaces by electron-beam evaporation of alumina ceramics in nitrogen and oxygen gas medium at the pressures of 5–30 Pa. The feasibility of implementing this approach is associated with the use of [...] Read more.
We present experimental results on the deposition of dielectric coatings on metal surfaces by electron-beam evaporation of alumina ceramics in nitrogen and oxygen gas medium at the pressures of 5–30 Pa. The feasibility of implementing this approach is associated with the use of unique fore-vacuum plasma electron sources. The effect of electron beam power on the rates of ceramic target evaporation and, consequently, on the coating deposition rate is investigated. The structure, electrical-insulating and mechanical (wear resistance, adhesion) properties of the deposited coatings is investigated. We also show the possibility of using coatings for electrical insulating of wires and monolithic integrated circuits. Full article
Show Figures

Figure 1

8 pages, 2878 KB  
Article
Electron-Beam Deposition of Aluminum Nitride and Oxide Ceramic Coatings for Microelectronic Devices
by Yury G. Yushkov, Efim M. Oks, Andrey V. Tyunkov, Alexey Yu Yushenko and Denis B. Zolotukhin
Coatings 2021, 11(6), 645; https://doi.org/10.3390/coatings11060645 - 27 May 2021
Cited by 13 | Viewed by 3786
Abstract
This work presents the results of the coating deposition by electron-beam evaporation of aluminum nitride and aluminum oxide targets in nitrogen and oxygen atmospheres in the forevacuum range (5–30 Pa). The method we employed is a combination of the electron-beam and plasma methods, [...] Read more.
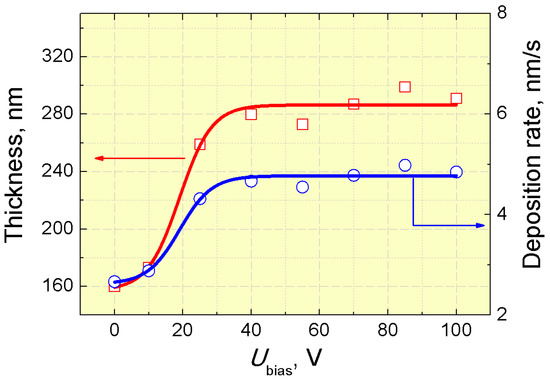
This work presents the results of the coating deposition by electron-beam evaporation of aluminum nitride and aluminum oxide targets in nitrogen and oxygen atmospheres in the forevacuum range (5–30 Pa). The method we employed is a combination of the electron-beam and plasma methods, since in the mentioned pressure range, the electron beam creates plasma that essentially changes the interaction picture of both the electron beam with the ceramic target and the flux of evaporated material with a substrate. We show a possibility of depositing such coatings on monolithic microwave integrated circuits passivated by Si3N4 dielectric. Full article
(This article belongs to the Special Issue Plasma Processing and Thin Film Deposition)
Show Figures

Figure 1

Back to TopTop