Sign in to use this feature.

Years

Between: -

Subjects

remove_circle_outline
remove_circle_outline
remove_circle_outline
remove_circle_outline
remove_circle_outline

Journals

Article Types

Countries / Regions

Search Results (4)

Search Parameters:
Keywords = minimum regularized covariance determinant

Order results
Result details
Results per page
Select all
Export citation of selected articles as:
18 pages, 3592 KB  
Article
Bootstrap and MRCD Estimators in Hotelling’s T2 Control Charts for Precise Intrusion Detection
by Ichwanul Kahfi Prasetya, Muhammad Ahsan, Muhammad Mashuri and Muhammad Hisyam Lee
Appl. Sci. 2024, 14(17), 7948; https://doi.org/10.3390/app14177948 - 6 Sep 2024
Cited by 2 | Viewed by 1482
Abstract
Intrusion detection systems (IDS) are crucial in safeguarding network security by identifying unauthorized access attempts through various techniques. Statistical Process Control (SPC), particularly Hotelling’s T2 control charts, is noted for monitoring network traffic against known attack patterns or anomaly detection. This research [...] Read more.
Intrusion detection systems (IDS) are crucial in safeguarding network security by identifying unauthorized access attempts through various techniques. Statistical Process Control (SPC), particularly Hotelling’s T2 control charts, is noted for monitoring network traffic against known attack patterns or anomaly detection. This research advances the domain by incorporating robust statistical estimators—namely, the Fast-MCD and MRCD (Minimum Regularized Covariance Determinant) estimators—into bootstrap-enhanced Hotelling’s T2 control charts. These enhanced charts aim to strengthen detection accuracy by offering improved resistance to outlier contamination, a prevalent challenge in intrusion detection. The methodology emphasizes the MRCD estimator’s robustness in overcoming the limitations of traditional T2 charts, especially in environments with a high incidence of outliers. Applying the proposed bootstrap-based robust T2 charts to the UNSW-NB15 dataset illustrates a marked enhancement in intrusion detection performance. Results indicate superior performance of the proposed method over conventional T2 and Fast-MCD-based T2 charts in detection accuracy, even in varied levels of outlier contamination. Despite increasing execution time, the precision and reliability in detecting intrusions present a justified trade-off. The findings underscore the significant potential of integrating robust statistical methods to enhance IDS effectiveness. Full article
Show Figures

Figure 1

13 pages, 1748 KB  
Article
A Robust High-Dimensional Test for Two-Sample Comparisons
by Hasan Bulut, Soofia Iftikhar, Nosheen Faiz and Olayan Albalawi
Axioms 2024, 13(9), 585; https://doi.org/10.3390/axioms13090585 - 28 Aug 2024
Cited by 2 | Viewed by 1408
Abstract
The Hotelling T2 statistic is used to compare the mean vectors of two independent multivariate Gaussian distributions. Nevertheless, this statistic is highly sensitive to outliers and is not suitable for high-dimensional datasets where the number of variables exceeds the sample size. This [...] Read more.
The Hotelling T2 statistic is used to compare the mean vectors of two independent multivariate Gaussian distributions. Nevertheless, this statistic is highly sensitive to outliers and is not suitable for high-dimensional datasets where the number of variables exceeds the sample size. This study introduces a robust permutation test based on the minimum regularized covariance determinant (MRCD) estimator to address these limitations of the two-sample Hotelling T2 statistic. Simulation studies were performed to evaluate the proposed test’s empirical size, power, and robustness. Additionally, the test was applied to both uncontaminated and contaminated Alzheimer’s Disease datasets. The findings from the simulations and real data examples provide clues that the proposed test can be effectively used with high-dimensional data without being impacted by outliers. Finally, an R function within the “MVTests” package was developed to implement the proposed test statistic on real-world data. Full article
(This article belongs to the Special Issue Computational Statistics and Its Applications)
Show Figures

Figure 1

22 pages, 2275 KB  
Article
An Improvised SIMPLS Estimator Based on MRCD-PCA Weighting Function and Its Application to Real Data
by Siti Zahariah, Habshah Midi and Mohd Shafie Mustafa
Symmetry 2021, 13(11), 2211; https://doi.org/10.3390/sym13112211 - 19 Nov 2021
Cited by 4 | Viewed by 1965
Abstract
Multicollinearity often occurs when two or more predictor variables are correlated, especially for high dimensional data (HDD) where p>>n. The statistically inspired modification of the partial least squares (SIMPLS) is a very popular technique for solving a partial least [...] Read more.
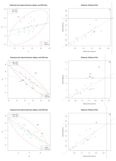
Multicollinearity often occurs when two or more predictor variables are correlated, especially for high dimensional data (HDD) where p>>n. The statistically inspired modification of the partial least squares (SIMPLS) is a very popular technique for solving a partial least squares regression problem due to its efficiency, speed, and ease of understanding. The execution of SIMPLS is based on the empirical covariance matrix of explanatory variables and response variables. Nevertheless, SIMPLS is very easily affected by outliers. In order to rectify this problem, a robust iteratively reweighted SIMPLS (RWSIMPLS) is introduced. Nonetheless, it is still not very efficient as the algorithm of RWSIMPLS is based on a weighting function that does not specify any method of identification of high leverage points (HLPs), i.e., outlying observations in the X-direction. HLPs have the most detrimental effect on the computed values of various estimates, which results in misleading conclusions about the fitted regression model. Hence, their effects need to be reduced by assigning smaller weights to them. As a solution to this problem, we propose an improvised SIMPLS based on a new weight function obtained from the MRCD-PCA diagnostic method of the identification of HLPs for HDD and name this method MRCD-PCA-RWSIMPLS. A new MRCD-PCA-RWSIMPLS diagnostic plot is also established for classifying observations into four data points, i.e., regular observations, vertical outliers, and good and bad leverage points. The numerical examples and Monte Carlo simulations signify that MRCD-PCA-RWSIMPLS offers substantial improvements over SIMPLS and RWSIMPLS. The proposed diagnostic plot is able to classify observations into correct groups. On the contrary, SIMPLS and RWSIMPLS plots fail to correctly classify observations into correct groups and show masking and swamping effects. Full article
Show Figures

Figure 1

21 pages, 737 KB  
Article
Variable Selection and Regularization in Quantile Regression via Minimum Covariance Determinant Based Weights
by Edmore Ranganai and Innocent Mudhombo
Entropy 2021, 23(1), 33; https://doi.org/10.3390/e23010033 - 29 Dec 2020
Cited by 7 | Viewed by 2686
Abstract
The importance of variable selection and regularization procedures in multiple regression analysis cannot be overemphasized. These procedures are adversely affected by predictor space data aberrations as well as outliers in the response space. To counter the latter, robust statistical procedures such as quantile [...] Read more.
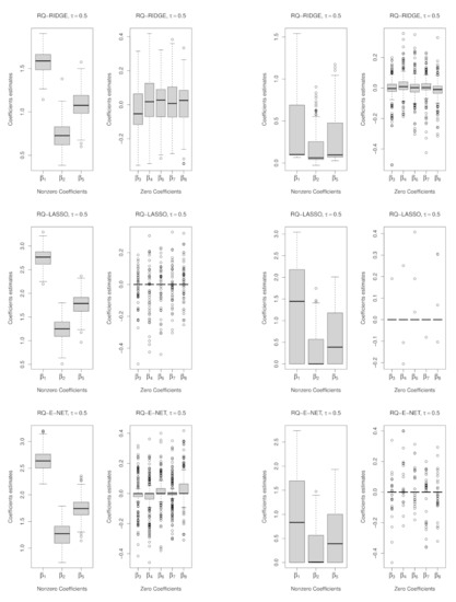
The importance of variable selection and regularization procedures in multiple regression analysis cannot be overemphasized. These procedures are adversely affected by predictor space data aberrations as well as outliers in the response space. To counter the latter, robust statistical procedures such as quantile regression which generalizes the well-known least absolute deviation procedure to all quantile levels have been proposed in the literature. Quantile regression is robust to response variable outliers but very susceptible to outliers in the predictor space (high leverage points) which may alter the eigen-structure of the predictor matrix. High leverage points that alter the eigen-structure of the predictor matrix by creating or hiding collinearity are referred to as collinearity influential points. In this paper, we suggest generalizing the penalized weighted least absolute deviation to all quantile levels, i.e., to penalized weighted quantile regression using the RIDGE, LASSO, and elastic net penalties as a remedy against collinearity influential points and high leverage points in general. To maintain robustness, we make use of very robust weights based on the computationally intensive high breakdown minimum covariance determinant. Simulations and applications to well-known data sets from the literature show an improvement in variable selection and regularization due to the robust weighting formulation. Full article
(This article belongs to the Section Information Theory, Probability and Statistics)
Show Figures

Figure 1

Back to TopTop