error_outline You can access the new MDPI.com website here. Explore and share your feedback with us.
 
 
Sign in to use this feature.

Years

Between: -

Subjects

remove_circle_outline
remove_circle_outline
remove_circle_outline
remove_circle_outline
remove_circle_outline

Journals

Article Types

Countries / Regions

Search Results (4)

Search Parameters:
Keywords = mid-plane stretching

Order results
Result details
Results per page
Select all
Export citation of selected articles as:
36 pages, 9032 KB  
Article
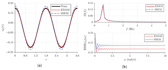
Exact Analytical Solutions for Free Single-Mode Nonlinear Cantilever Beam Dynamics: Experimental Validation Using High-Speed Vision
by Paweł Olejnik, Muhammad Umer and Jakub Jabłoński
Appl. Sci. 2026, 16(1), 479; https://doi.org/10.3390/app16010479 - 2 Jan 2026
Viewed by 269
Abstract
This work investigates the nonlinear flexural dynamics of a macroscale cantilever beam by combining analytical modeling, symbolic solution techniques, numerical simulation, and vision-based experiments. Starting from the Euler–Bernoulli equation with geometric and inertial nonlinearities, a reduced-order model is derived via a single-mode Galerkin [...] Read more.
This work investigates the nonlinear flexural dynamics of a macroscale cantilever beam by combining analytical modeling, symbolic solution techniques, numerical simulation, and vision-based experiments. Starting from the Euler–Bernoulli equation with geometric and inertial nonlinearities, a reduced-order model is derived via a single-mode Galerkin projection, justified by the experimentally confirmed dominance of the fundamental bending mode. The resulting nonlinear ordinary differential equation is solved analytically using two symbolic methods rarely applied in structural vibration studies: the Extended Direct Algebraic Method (EDAM) and the Sardar Sub-Equation Method (SSEM). Comparison with high-accuracy numerical integration shows that EDAM reproduces the nonlinear waveform with high fidelity, including the characteristic non-sinusoidal distortion induced by mid-plane stretching. High-speed vision-based measurements provide displacement data for a physical cantilever beam undergoing free vibration. After calibrating the linear stiffness, analytical and experimental responses are compared in terms of the dominant oscillation frequency. The analytical model predicts the classical hardening-type amplitude–frequency dependence of an ideal Euler–Bernoulli cantilever, whereas the experiment exhibits a clear softening trend. This contrast reveals the influence of real-world effects, such as initial curvature, boundary compliance, or micro-slip at the clamp, which are absent from the idealized formulation. The combined analytical–experimental framework thus acts as a diagnostic tool for identifying competing nonlinear mechanisms in flexible structures and provides a compact physics-based reference for reduced-order modeling and structural health monitoring. Full article
(This article belongs to the Special Issue Nonlinear Dynamics in Mechanical Engineering and Thermal Engineering)
Show Figures

Figure 1

20 pages, 5797 KB  
Article
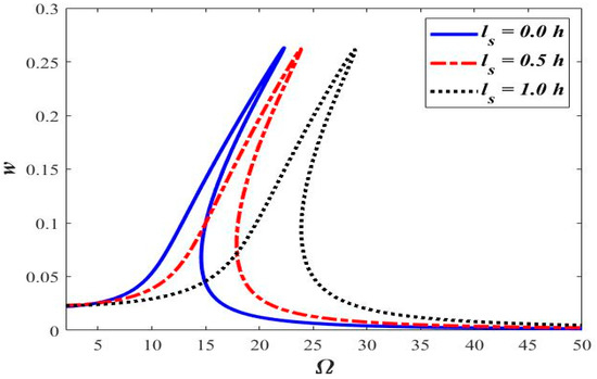
Dynamic Characteristics of a Small-Size Beam Mounted on an Accelerating Structure
by Sajid Ali and Muhammad A. Hawwa
Micromachines 2023, 14(4), 780; https://doi.org/10.3390/mi14040780 - 30 Mar 2023
Cited by 3 | Viewed by 1568
Abstract
This study focuses on the nonlinear vibration of a small-size beam hosted in a high-speed moving structure. The equation of the beam’s motion is derived using the coordinate transformation. The small-size effect is introduced by applying the modified coupled stress theory. The equation [...] Read more.
This study focuses on the nonlinear vibration of a small-size beam hosted in a high-speed moving structure. The equation of the beam’s motion is derived using the coordinate transformation. The small-size effect is introduced by applying the modified coupled stress theory. The equation of motion involves quadratic and cubic terms due to mid-plane stretching. Discretization of the equation of motion is achieved via the Galerkin method. The impact of several parameters on the non-linear response of the beam is investigated. Bifurcation diagrams are used to investigate the stability of the response, whereas softening/hardening characteristics of the frequency curves are used as an indication of nonlinearity. Results indicate that increasing the magnitude of the applied force tends to signify the nonlinear hardening behavior. In terms of the periodicity of the response, at a lower amplitude of the applied force, the response appears to be a one-period stable oscillation. Increasing the length scale parameter, the response moves from chaotic to period-doubling to the stable one-period response. The impact of the axial acceleration of the moving structure on the stability as well as on the nonlinearity of the response of the beam is also investigated. Full article
Show Figures

Figure 1

15 pages, 2770 KB  
Article
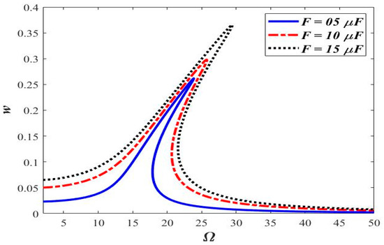
Comprehensive Analytical Approximations of the Pull-In Characteristics of an Electrostatically Actuated Nanobeam under the Influences of Intermolecular Forces
by Hassen M. Ouakad and Jihad E. AlQasimi
Actuators 2018, 7(1), 3; https://doi.org/10.3390/act7010003 - 12 Jan 2018
Cited by 4 | Viewed by 5888
Abstract
In this paper, analytical closed-form expressions to accurately estimate the pull-in characteristics of an electrostatically-actuated doubly-clamped nanobeam are derived and examined. In this regard, a coupled electro-mechanical problem for the nano-actuator is first presented assuming a single mode approximation while taking into account [...] Read more.
In this paper, analytical closed-form expressions to accurately estimate the pull-in characteristics of an electrostatically-actuated doubly-clamped nanobeam are derived and examined. In this regard, a coupled electro-mechanical problem for the nano-actuator is first presented assuming a single mode approximation while taking into account all the possible structural, electrical and nanoscale effects: the fringing of the electrical actuating force, the geometric mid-plane stretching and intermolecular (van der Walls and Casimir) forces. The complicated nonlinear resultant equations are numerically approximated in order to derive the closed-form expressions for the important nano-actuator pull-in characteristics: i.e., the detachment length, the minimum reachable gap size before the collapse and the respective pull-in voltage. The resulting closed-form expressions are first quantitatively validated with other previously published results, and comparisons showed an acceptable agreement. Unlike the reported expressions in the literature, the proposed closed-form expressions in this work are proper approximations, fairly accurate and, more importantly, provide a quick estimate of the critical design pull-in parameters of the nano-actuator. In addition, the analysis of these expressions demonstrated that the consideration of the intermolecular forces together with the fringe effect tends to significantly reduce the threshold pull-in voltage, whereas the mid-plane stretching parameter tends to the contrary to increase the voltage at the pull-in collapse. The derived expressions of these analytical/approximate solutions could hopefully be appropriately used by NEMS engineers as simple/quick procedures for successful design and fabrication of electrostatically-actuated nano-devices. Full article
Show Figures

Figure 1

9 pages, 1245 KB  
Article
Exact Solution and Buckling Configuration of Nanotubes Containing Internal Flowing Fluid
by B. Gültekin Sınır, F. Esra Uz and Sefa Ergun
Math. Comput. Appl. 2013, 18(3), 539-547; https://doi.org/10.3390/mca18030539 - 1 Dec 2013
Cited by 1 | Viewed by 1801
Abstract
In this study, the post-divergence behaviour of nanotubes of conveying internal moving fluid with both inner and outer surface layers are analyzed in nonlinear theorical model. The governing equation has the cubic nonlinearity. The source of this nonlinearity is the surface effect and [...] Read more.
In this study, the post-divergence behaviour of nanotubes of conveying internal moving fluid with both inner and outer surface layers are analyzed in nonlinear theorical model. The governing equation has the cubic nonlinearity. The source of this nonlinearity is the surface effect and mid-plane stretching in the nanobeam theory. Exact solutions for the post buckling configurations of nanotubes with clamped-hinged with torsionally spring and hybrid boundary conditions is found. The critical flow velocity at which the nanotube is buckled is shown. The effects of various non-dimensional system parameters on the post-buckling behaviour are investigated. Full article
Back to TopTop