Sign in to use this feature.

Years

Between: -

Subjects

remove_circle_outline
remove_circle_outline

Journals

Article Types

Countries / Regions

Search Results (1)

Search Parameters:
Keywords = macrocyclic pentaaza ligand

Order results
Result details
Results per page
Select all
Export citation of selected articles as:
10 pages, 2411 KB  
Article
Field-Induced Slow Magnetic Relaxation in Mononuclear Cobalt(II) Complexes Decorated by Macrocyclic Pentaaza Ligands
by Mengmeng Zeng, Zeyu Ruan, Siguo Wu and Mingliang Tong
Molecules 2024, 29(12), 2810; https://doi.org/10.3390/molecules29122810 - 12 Jun 2024
Cited by 1 | Viewed by 1881
Abstract
Two cobalt(II) complexes [CoL1](OTf)2 (1, L1 = 6,6′′-di(anilino)-4′-phenyl-2,2′:6′,2′′-terpyridine) and [CoL2](OTf)2·MeOH (2, L2 = 6,6′′-di(N,N-dimethylamino)-4′-phenyl-2,2′:6′,2′′-terpyridine) were synthesized and characterized. Crystal structure analyses showed that the spin carries [...] Read more.
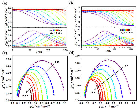
Two cobalt(II) complexes [CoL1](OTf)2 (1, L1 = 6,6′′-di(anilino)-4′-phenyl-2,2′:6′,2′′-terpyridine) and [CoL2](OTf)2·MeOH (2, L2 = 6,6′′-di(N,N-dimethylamino)-4′-phenyl-2,2′:6′,2′′-terpyridine) were synthesized and characterized. Crystal structure analyses showed that the spin carries were coordinated by five N atoms from the neutral pentaaza ligands, forming distorted trigonal bipyramidal coordination environments. Ab initio calculations revealed large easy-axial anisotropy in complexes 1 and 2. Magnetic measurements suggest that complexes 1 and 2 are field-induced single-molecule magnets, whose relaxations are mainly predominated by Raman and direct processes. Full article
Show Figures

Graphical abstract

Back to TopTop