Sign in to use this feature.

Years

Between: -

Subjects

remove_circle_outline
remove_circle_outline
remove_circle_outline
remove_circle_outline
remove_circle_outline
remove_circle_outline
remove_circle_outline
remove_circle_outline

Journals

Article Types

Countries / Regions

Search Results (5)

Search Parameters:
Keywords = hierarchical weight assembly approach

Order results
Result details
Results per page
Select all
Export citation of selected articles as:
22 pages, 9226 KB  
Article
Design for Additive Manufacturing of Lattice Structures for Functional Integration of Thermal Management and Shock Absorption
by Enrico Dalpadulo, Mattia Pollon, Alberto Vergnano and Francesco Leali
J. Manuf. Mater. Process. 2025, 9(1), 24; https://doi.org/10.3390/jmmp9010024 - 14 Jan 2025
Viewed by 2938
Abstract
Design optimization through the integration of multiple functions into a single part is a highly effective strategy to reduce costs, simplify assembly, improve performance, and reduce weight. Additive manufacturing facilitates the production of complex structures by allowing parts consolidation, resulting in optimized designs, [...] Read more.
Design optimization through the integration of multiple functions into a single part is a highly effective strategy to reduce costs, simplify assembly, improve performance, and reduce weight. Additive manufacturing facilitates the production of complex structures by allowing parts consolidation, resulting in optimized designs, where multiple functions are integrated into a single component. This study presents a design for additive manufacturing method for integrating multiple lattice structures to achieve thermal management and shock absorption functions. The method follows modeling and simulation phases for dimensioning and optimizing solutions to deliver the design functions at different macro- and mesoscale levels. Hierarchical complexity was leveraged to design the two-levels structure in a single part, each delivering a specific function. Specifically, the external layer addresses energy absorption and thermal insulation, while the internal layer acts as a thermal battery by incorporating a phase change material. The design of a container carried by an unmanned aerial vehicle for the transport of healthcare and biological materials is presented. The container is shock-resistant and can maintain the content at 4 ± 2 °C for at least 1 h. As it operates passively without the need for additional energy-consuming devices, it is easy to operate and contributes to increased flight autonomy. A flight mission experiment for urgent transport of blood bags confirmed the capability of the container to preserve blood integrity. This case study demonstrates that the two-layer lattice structure design represents a highly efficient approach to multifunctional design optimization. Full article
Show Figures

Figure 1

19 pages, 2475 KB  
Article
Multi-Indicator and Geospatial Based Approaches for Assessing Variation of Land Quality in Arid Agroecosystems
by Ahmed S Abuzaid, Yasser S. A. Mazrou, Ahmed A El Baroudy, Zheli Ding and Mohamed S. Shokr
Sustainability 2022, 14(10), 5840; https://doi.org/10.3390/su14105840 - 11 May 2022
Cited by 21 | Viewed by 2892
Abstract
Novel spatial models for appraising arable land resources using data processing techniques can increase insight into agroecosystem services. Hence, the principal component analysis (PCA), hierarchal cluster analysis (HCA), analytical hierarchy process (AHP), fuzzy logic, and geographic information system (GIS) were integrated to zone [...] Read more.
Novel spatial models for appraising arable land resources using data processing techniques can increase insight into agroecosystem services. Hence, the principal component analysis (PCA), hierarchal cluster analysis (HCA), analytical hierarchy process (AHP), fuzzy logic, and geographic information system (GIS) were integrated to zone and map agricultural land quality in an arid desert area (Matrouh Governorate, Egypt). Satellite imageries, field surveys, and soil analyses were employed to define eighteen indicators for terrain, soil, and vegetation qualities, which were then reduced through PCA to a minimum data set (MDS). The original and MDS were weighted by AHP through experts’ opinions. Within GIS, the raster layers were generated, standardized using fuzzy membership functions (linear and non-linear), and assembled using arithmetic mean and weighted sum algorithms to produce eight land quality index maps. The soil properties (pH, salinity, organic matter, and sand), slope, surface roughness, and vegetation could adequately express the land quality. Accordingly, the HCA could classify the area into eight spatial zones with significant heterogeneity. Selecting salt-tolerant crops, applying leaching fraction, adopting sulfur and organic applications, performing land leveling, and using micro-irrigation are the most recommended practices. Highly significant (p < 0.01) positive correlations occurred among all the developed indices. Nevertheless, the coefficient of variation (CV) and sensitivity index (SI) confirmed the better performance of the index developed from the non-linearly scored MDS and weighted sum model. It could achieve the highest discrimination in land qualities (CV > 35%) and was the most sensitive (SI = 3.88) to potential changes. The MDS within this index could sufficiently represent TDS (R2 = 0.88 and Kappa statistics = 0.62), reducing time, effort, and cost for estimating the land performance. The proposed approach would provide guidelines for sustainable land-use planning in the studied area and similar regions. Full article
Show Figures

Figure 1

21 pages, 5180 KB  
Article
A Novel Approach to Perform the Identification of Cross-Section Deformation Modes for Thin-Walled Structures in the Framework of a Higher Order Beam Theory
by Lei Zhang, Aimin Ji and Weidong Zhu
Appl. Sci. 2019, 9(23), 5186; https://doi.org/10.3390/app9235186 - 29 Nov 2019
Cited by 4 | Viewed by 2811
Abstract
This paper presents a novel approach to identify cross-section deformation modes for thin-walled structures by assembling preliminary deformation modes (PDM) considering their participation in free vibration modes. These PDM, defined over the cross-section through kinematic concepts, are integrated in the governing equations of [...] Read more.
This paper presents a novel approach to identify cross-section deformation modes for thin-walled structures by assembling preliminary deformation modes (PDM) considering their participation in free vibration modes. These PDM, defined over the cross-section through kinematic concepts, are integrated in the governing equations of a higher order model and then uncoupled in the form of generalized eigenvectors. The eigenvectors are deemed to inherit the attributes of structural behaviours and can serve as the basis to assemble PDM. Accordingly, a criterion was developed to handle the eigenvectors, pursuing (i) the clustering of PDM that participate in a same structural behaviour, (ii) the assignation of the corresponding weights that indicate their participation and (iii) the decomposition of an amplitude function when it is related to several structural behaviours. Moreover, a numbering system was proposed to hierarchically organize the deformation modes, which is conducive to a reduced higher order model. The main features of this approach are found in its ability to be performed in a more operational way and its nature to give deformation modes physical interpretation inherited from the dynamic behaviours. The versatility of the approach was validated through both numerical examples and comparisons with other theories. Full article
(This article belongs to the Section Mechanical Engineering)
Show Figures

Figure 1

25 pages, 2266 KB  
Article
Assessment of Potential Land Suitability for Tea (Camellia sinensis (L.) O. Kuntze) in Sri Lanka Using a GIS-Based Multi-Criteria Approach
by Sadeeka Layomi Jayasinghe, Lalit Kumar and Janaki Sandamali
Agriculture 2019, 9(7), 148; https://doi.org/10.3390/agriculture9070148 - 8 Jul 2019
Cited by 55 | Viewed by 19845
Abstract
The potential land suitability assessment for tea is a crucial step in determining the environmental limits of sustainable tea production. The aim of this study was to assess land suitability to determine suitable agricultural land for tea crops in Sri Lanka. Climatic, topographical [...] Read more.
The potential land suitability assessment for tea is a crucial step in determining the environmental limits of sustainable tea production. The aim of this study was to assess land suitability to determine suitable agricultural land for tea crops in Sri Lanka. Climatic, topographical and soil factors assumed to influence land use were assembled and the weights of their respective contributions to land suitability for tea were assessed using the Analytical Hierarchical Process (AHP) and the Decision-Making Trail and Evaluation Laboratory (DEMATEL) model. Subsequently, all the factors were integrated to generate the potential land suitability map. The results showed that the largest part of the land in Sri Lanka was occupied by low suitability class (42.1%) and 28.5% registered an unsuitable land cover. Furthermore, 12.4% was moderately suitable, 13.9% was highly suitable and 2.5% was very highly suitable for tea cultivation. The highest proportion of “very highly suitable” areas were recorded in the Nuwara Eliya District, which accounted for 29.50% of the highest category. The model validation results showed that 92.46% of the combined “highly suitable” and “very highly suitable” modelled classes are actual current tea-growing areas, showing the overall robustness of this model and the weightings applied. This result is significant in that it provides effective approaches to enhance land-use efficiency and better management of tea production. Full article
Show Figures

Graphical abstract

25 pages, 5749 KB  
Article
A New Uncertainty Measure for Assessing the Uncertainty Existing in Hydrological Simulation
by Pengfei Shi, Tao Yang, Bin Yong, Zhenya Li, Chong-Yu Xu, Quanxi Shao, Xiaoyan Wang, Xudong Zhou and Youwei Qin
Water 2019, 11(4), 812; https://doi.org/10.3390/w11040812 - 18 Apr 2019
Cited by 6 | Viewed by 3137
Abstract
The absence of aggregated uncertainty measures restricts the assessment of uncertainty in hydrological simulation. In this work, a new composite uncertainty measure is developed to evaluate the complex behaviors of uncertainty existing in hydrological simulation. The composite uncertainty measure is constructed based on [...] Read more.
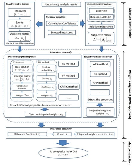
The absence of aggregated uncertainty measures restricts the assessment of uncertainty in hydrological simulation. In this work, a new composite uncertainty measure is developed to evaluate the complex behaviors of uncertainty existing in hydrological simulation. The composite uncertainty measure is constructed based on a framework, which includes three steps: (1) identification of behavioral measures by analyzing the pairwise correlations among different measures and removing high correlations; (2) weight assignment by means of a new hierarchical weight assembly (HWA) approach incorporating the intra-class and inter-class weights; (3) construction of a composite uncertainty measure through incorporating multiple properties of the measure matrix. The framework and the composite uncertainty measure are demonstrated by case studies in uncertainty assessment for hydrological simulation. Results indicate that the framework is efficient to generate a composite uncertainty index (denoted as CUI) and the new measure CUI is competent for uncertainty evaluation. Besides, the HWA approach performs well in weighting, which can characterize subjective and objective properties of the information matrix. The achievement of this work provides promising insights into the performance comparison of uncertainty analysis approaches, the selection of proper cut-off threshold in the GLUE method, and the guidance of reasonable uncertainty assessment in a range of environmental modelling. Full article
(This article belongs to the Section Hydrology)
Show Figures

Figure 1

Back to TopTop