Sign in to use this feature.

Years

Between: -

Subjects

remove_circle_outline
remove_circle_outline

Journals

Article Types

Countries / Regions

Search Results (2)

Search Parameters:
Keywords = giant magnetostrictive injector

Order results
Result details
Results per page
Select all
Export citation of selected articles as:
13 pages, 5420 KB  
Article
Displacement Model of Giant Magnetostrictive Actuator for Direct-Drive Injector
by Zhaoqi Zhou, Zhongbo He, Guangming Xue, Jingtao Zhou, Ce Rong and Guoping Liu
Actuators 2022, 11(11), 310; https://doi.org/10.3390/act11110310 - 27 Oct 2022
Cited by 2 | Viewed by 2259
Abstract
Aiming at the inherent problems of non-direct-drive injectors, such as long oil circuits and a difficult precise control of the needle stroke, based on the structure of a direct-drive injector and combined with the demand for the needle drive of a truck diesel [...] Read more.
Aiming at the inherent problems of non-direct-drive injectors, such as long oil circuits and a difficult precise control of the needle stroke, based on the structure of a direct-drive injector and combined with the demand for the needle drive of a truck diesel injector, this study designs and fabricates a giant magnetostrictive actuator for direct-drive injectors. A simplified model of a giant magnetostrictive actuator is established, which mainly simplifies the magnetization model to facilitate the subsequent integrated modeling of the fuel injector. An actuator output displacement test system was built, and the output waveform and frequency characteristics of the actuator were analyzed. It was found that the experimental results were in good agreement with the calculated results of the model, and the average relative error of the amplitude was 3.26%, while the average relative error of the phase difference was 3.83%, which verifies the correctness of the model. This research enriches the modeling method of giant magnetostrictive actuators and has an important reference value for the research and design of fuel injectors. Full article
(This article belongs to the Section Actuators for Surface Vehicles)
Show Figures

Figure 1

17 pages, 10895 KB  
Article
Structure Design and Working Characteristics Analysis of Direct-Drive Giant Magnetostrictive Injector
by Zhaoqi Zhou, Zhongbo He, Guangming Xue, Jingtao Zhou, Ce Rong and Guoping Liu
Micromachines 2022, 13(10), 1721; https://doi.org/10.3390/mi13101721 - 12 Oct 2022
Cited by 1 | Viewed by 7853
Abstract
At present, the research of electronically controlled injectors is mostly limited to the non-direct drive structure. Although the research on the direct drive structure is involved, it mostly stays in the conceptual machine or simulation stage. In this paper, based on the direct-drive [...] Read more.
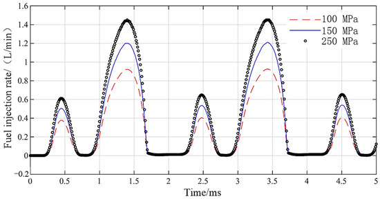
At present, the research of electronically controlled injectors is mostly limited to the non-direct drive structure. Although the research on the direct drive structure is involved, it mostly stays in the conceptual machine or simulation stage. In this paper, based on the direct-drive structure, the giant magnetostrictive material is used as the energy conversion material, the prototype of the direct-drive giant magnetostrictive fuel injector is designed and manufactured, and the experimental test system and AMESim simulation model are built. By means of experiment and simulation, the injection characteristics of Giant magnetostrictive injector (GMI) are tested. It is found that the minimum single injection quantity of GMI is 5.9 mm3 under the condition of 30 MPa rail pressure, which shows high injection accuracy. The experimental results are in good agreement with the simulation results under different driving pulse widths and voltages. When the driving pulse width is not less than 650 µs, the relative errors are all less than 5%, which verifies the effectiveness of the simulation model. The injection performance of GMI is analyzed. The results show that this injector has a stable injection performance, fast response speed (the shortest injection pulse width is about 200 µs), and the injection process can be completed five times in 5 ms. Full article
Show Figures

Figure 1

Back to TopTop