Sign in to use this feature.

Years

Between: -

Subjects

remove_circle_outline
remove_circle_outline
remove_circle_outline

Journals

Article Types

Countries / Regions

Search Results (2)

Search Parameters:
Keywords = exposure to hydro-meteorological and geological hazards

Order results
Result details
Results per page
Select all
Export citation of selected articles as:
23 pages, 6275 KB  
Article
Understanding Multi-Hazard Interactions and Impacts on Small-Island Communities: Insights from the Active Volcano Island of Ternate, Indonesia
by Mohammad Ridwan Lessy, Jonatan Lassa and Kerstin K. Zander
Sustainability 2024, 16(16), 6894; https://doi.org/10.3390/su16166894 - 11 Aug 2024
Cited by 6 | Viewed by 5728
Abstract
Drawing on a case study from Ternate Island, a densely populated volcanic island in Eastern Indonesia, this research illustrates how multi-hazards and extreme weather events are likely to compound and cascade, with serious consequences for sustainable development in small island context. At the [...] Read more.
Drawing on a case study from Ternate Island, a densely populated volcanic island in Eastern Indonesia, this research illustrates how multi-hazards and extreme weather events are likely to compound and cascade, with serious consequences for sustainable development in small island context. At the heart of Ternate Island sits the active Gamalama volcano, posing a constant eruption threat. Its location within the Ring of Fire further exposes the island to the risks of tsunamis and earthquakes. Additionally, the island’s physical features make it highly susceptible to flooding, landslides, and windstorms. Rapid urbanization has led to significant coastal alterations, increasing exposure to hazards. Ternate’s small-island characteristics include limited resources, few evacuation options, vulnerable infrastructure, and inadequate resilience planning. Combining GIS multi-hazard mapping with a structured survey in 60 villages in Ternate, this case study investigates the multi-hazard exposure faced by the local population and land coverage. The findings suggest significant gaps between village chiefs’ perceptions of the types of hazards and the multi-hazard assessment in each village. Out of 60 village chiefs surveyed, 42 (70%) are aware of earthquake risks, 17 (28%) recognize tsunami threats, and 39 see volcanoes as a danger. GIS assessments show that earthquakes could impact all villages, tsunamis could affect 46 villages (77%), and volcanoes could threaten 39 villages. The hazard map indicates that 32 villages are at risk of flash floods and 37 are at risk of landslides, and extreme weather could affect all villages. Additionally, 42 coastal villages on Ternate Island face potential extreme wave and abrasion disasters, but only 18 chiefs acknowledge extreme weather as a threat. The paper argues that addressing the cognitive biases reflected in the perceptions of community leaders requires transdisciplinary dialogue and engagement. Full article
Show Figures

Figure 1

31 pages, 18946 KB  
Article
Multi-Hazard Susceptibility Assessment Using the Analytical Hierarchy Process and Frequency Ratio Techniques in the Northwest Himalayas, Pakistan
by Adnanul Rehman, Jinxi Song, Fazlul Haq, Shakeel Mahmood, Muhammad Irfan Ahamad, Muhammad Basharat, Muhammad Sajid and Muhammad Sajid Mehmood
Remote Sens. 2022, 14(3), 554; https://doi.org/10.3390/rs14030554 - 24 Jan 2022
Cited by 73 | Viewed by 7692
Abstract
Globally, natural hazards have become more destructive in recent times because of rapid urban development and exposure. Consequently, significant human life loss, the damage to property and infrastructure, and the collapse of the environment directed the attention of geoscientists to control the consequences [...] Read more.
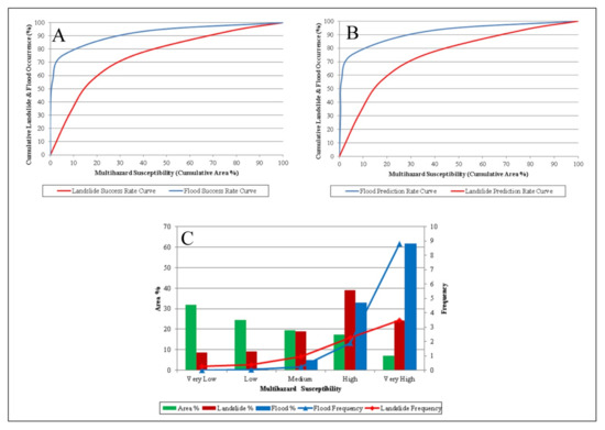
Globally, natural hazards have become more destructive in recent times because of rapid urban development and exposure. Consequently, significant human life loss, the damage to property and infrastructure, and the collapse of the environment directed the attention of geoscientists to control the consequences and risk management in relation to geo-hazards. In this research, an effort was made to produce a compound map, geo-visualizing the susceptibility of multi-hazards, to select suitable sites for sustainable future development and other economic activities in the region. Muzaffarabad District was chosen as a case research area due to the high magnitude of hydro-meteorological and geological hazards. On the one hand, both selected geo-hazard inventories were developed using the field survey and remote sensing data. The subjective and objective weight of all the causative factors and their classes were calculated using the assembled geospatial techniques, such as the Analytical Hierarchy Process (AHP) and Frequency Ratio (FR) in the Geographic Information System (GIS). The results reveal that the most suitable areas are distributed in the southern and northwestern parts, which can be used for future sustainable development and other economic activities. In contrast, the eastern and western regions, including Muzaffarabad City, are within high and very susceptibility zones. Finally, more than 50% of the land area is located in very low and low susceptibility zones. The validation of the proposed model was checked by using three different techniques: the Receiver Operative Characteristic (ROC) curve, Seed Cell Area Index (SCAI), and Frequency Ratio (FR). Both ROCs, the Success Rate Curve (SRC) and the Predictive Rate Curve (PRC), showed the goodness of fit for both the selected geo-hazards: landslides (81.3%) and floods (93.2%), at 80.1% and 91.7%, respectively. All the validation techniques showed good fitness for both the individual and multi-hazard maps. The proposed model sets a baseline for policy implementation for all the stakeholders to minimize the risk and sustainable future development in areas of high frequent geo-hazards. Full article
Show Figures

Graphical abstract

Back to TopTop