Sign in to use this feature.

Years

Between: -

Subjects

remove_circle_outline
remove_circle_outline
remove_circle_outline
remove_circle_outline

Journals

Article Types

Countries / Regions

Search Results (14)

Search Parameters:
Keywords = eosinophil-derived neurotoxin

Order results
Result details
Results per page
Select all
Export citation of selected articles as:
17 pages, 986 KB  
Review
Alarmins in Chronic Spontaneous Urticaria: Immunological Insights and Therapeutic Perspectives
by Angela Rizzi, Federica Li Pomi, Riccardo Inchingolo, Marinella Viola, Francesco Borgia and Sebastiano Gangemi
Biomedicines 2024, 12(12), 2765; https://doi.org/10.3390/biomedicines12122765 - 4 Dec 2024
Cited by 3 | Viewed by 2865
Abstract
Background: In the world, approximately 1% of the population suffers from chronic spontaneous urticaria (CSU), burdening patients’ quality of life and challenging clinicians in terms of treatment. Recent scientific evidence has unveiled the potential role of a family of molecules known as [...] Read more.
Background: In the world, approximately 1% of the population suffers from chronic spontaneous urticaria (CSU), burdening patients’ quality of life and challenging clinicians in terms of treatment. Recent scientific evidence has unveiled the potential role of a family of molecules known as “alarmins” in the pathogenesis of CSU. Methods: Papers focusing on the potential pathogenetic role of alarmins in CSU with diagnostic (as biomarkers) and therapeutic implications, in English and published in PubMed, Scopus, Web of Science, as well as clinical studies registered in ClinicalTrials.gov and the EudraCT Public website, were reviewed. Results: The epithelial-derived alarmins thymic stromal lymphopoietin and IL-33 could be suitable diagnostic and prognostic biomarkers and possible therapeutic targets in CSU. The evidence on the role of non-epithelial-derived alarmins (heat shock proteins, S-100 proteins, eosinophil-derived neurotoxin, β-defensins, and acid uric to high-density lipoproteins ratio) is more heterogeneous and complex. Conclusions: More homogeneous studies on large cohorts, preferably supported by data from international registries, will be able to elucidate the intriguing and complex pathogenetic world of CSU. Full article
Show Figures

Figure 1

14 pages, 1110 KB  
Review
Non-Invasive and Minimally Invasive Biomarkers for the Management of Eosinophilic Esophagitis beyond Peak Eosinophil Counts: Filling the Gap in Clinical Practice
by Pierfrancesco Visaggi, Irene Solinas, Federica Baiano Svizzero, Andrea Bottari, Brigida Barberio, Greta Lorenzon, Matteo Ghisa, Daria Maniero, Elisa Marabotto, Massimo Bellini, Nicola de Bortoli and Edoardo V. Savarino
Diagnostics 2023, 13(17), 2806; https://doi.org/10.3390/diagnostics13172806 - 30 Aug 2023
Cited by 24 | Viewed by 3684
Abstract
Eosinophilic esophagitis (EoE) is a chronic esophageal disease that needs lifelong management and follow-up. The diagnosis requires an upper endoscopy with at least one esophageal biopsy demonstrating >15 eosinophils/high-power field, and often occurs with a diagnostic delay of up to ten years, partly [...] Read more.
Eosinophilic esophagitis (EoE) is a chronic esophageal disease that needs lifelong management and follow-up. The diagnosis requires an upper endoscopy with at least one esophageal biopsy demonstrating >15 eosinophils/high-power field, and often occurs with a diagnostic delay of up to ten years, partly due to the absence of valid non-invasive screening tools. In addition, serial upper endoscopies with esophageal biopsies are mandatory to assess the efficacy of any ongoing treatment in patients with EoE. These procedures are invasive, costly, and, when performed without sedation, are often poorly tolerated by patients. Therefore, there is the clinical need to identify reliable non-invasive or minimally invasive biomarkers that could be used to assess disease activity in clinical practice as a surrogate of peak eosinophil counts on esophageal biopsies. This review summarizes evidence on investigational non-invasive or minimally invasive biomarkers for the diagnosis and follow-up of EoE to report on the state of the art in the field and support future research. We discussed eosinophil-derived mediators including eosinophil cationic protein (ECP), eosinophil-derived neurotoxin (EDN, also known as eosinophil protein X), eosinophil peroxidase (EPO), and major basic protein (MBP) as well as other promising non-eosinophil-derived biomarkers. Although several studies have shown the utility of most biomarkers collected from the serum, esophageal luminal secretions, and feces of EoE patients, numerous limitations currently hamper the integration of such biomarkers in clinical practice. Future studies should aim at validating the utility of non-invasive and minimally invasive biomarkers using rigorous protocols and updated consensus criteria for EoE. Full article
(This article belongs to the Special Issue Diagnosis and Management of Gastrointestinal Inflammation)
Show Figures

Figure 1

17 pages, 1913 KB  
Article
Eosinophil Granule Proteins Involvement in Acute Appendicitis—An Allergic Disease?
by Nuno Carvalho, Elisabete Carolino, Hélder Coelho, Ana Lúcia Barreira, Luísa Moreira, Margarida André, Susana Henriques, Carlos Cardoso, Luis Moita and Paulo Matos Costa
Int. J. Mol. Sci. 2023, 24(10), 9091; https://doi.org/10.3390/ijms24109091 - 22 May 2023
Cited by 8 | Viewed by 2728
Abstract
Several pieces of evidence point to an allergic component as a trigger of acute appendicitis. As the Th2 immune response is characterized by eosinophil mobilization to the target organ and release of their cationic granule proteins, it is reasonable to investigate if the [...] Read more.
Several pieces of evidence point to an allergic component as a trigger of acute appendicitis. As the Th2 immune response is characterized by eosinophil mobilization to the target organ and release of their cationic granule proteins, it is reasonable to investigate if the degranulation of eosinophils could be associated with the local injury. The primary aim of this study is to evaluate the participation of eosinophils granules proteins in acute appendicitis, both at local and systemic levels and the secondary aim is to evaluate the diagnostic accuracy of eosinophils granules proteins for the detection of acute appendicitis, as well as for distinguishing between complicated and uncomplicated acute appendicitis. Eosinophil-derived neurotoxin (EDN), eosinophil cationic protein (ECP) and eosinophil peroxidase (EP) are the most well-known eosinophil granule proteins. From August 2021 to April 2022, we present a prospective single-center study to evaluate the EDN, ECP, and EP concentrations simultaneously in appendicular lavage fluid (ALF) and the serum of 22 patients with acute phlegmonous appendicitis (APA), 24 with acute gangrenous appendicitis (AGA), and 14 normal controls. Concerning EDN, no differences were found between groups. ECP concentrations in ALF and serum were significantly higher in the histologically confirmed acute appendicitis compared to the control groups (p < 0.0001 and p < 0.0001, respectively). In ALF, no differences were found between ECP levels in APA: 38.85 ng/mL (IQR 26.50–51.77) and AGA 51.55 ng/mL (IQR 39.55–70.09) groups (p = 0.176). In the serum, no difference was found between ECP levels at APA: 39 ng/mL (IQR 21.30–56.90) and AGA: 51.30 ng/mL (IQR 20.25–62.59) (p = 0.100). For EP, the concentrations in ALF (p < 0.001) and serum (p < 0.001) were both higher in acute appendicitis compared to the control. In ALF, no difference was found between APA: 240.28 ng/mL (IQR 191.2–341.3) and AGA: 302.5 (IQR 227.7–535.85) (p = 0.236). In the serum, no differences were found between APA: 158.4 ng/mL (IQR 111.09–222.1) and AGA: 235.27 (IQR 192.33–262.51) (p = 0.179). Globally, the ALF concentrations were higher than serum concentrations, reflecting an intense inflammatory local reaction in AA. The optimal ECP cut-off for discriminating between acute appendicitis and the controls was >11.41 ng/mL, with a sensitivity of 93.5%, but with a specificity for identifying appendicitis of 21.4%, good discriminative power (AUC = 0.880). For EP, the optimal cut-off was >93.20 ng/mL, with a sensitivity of 87%, but with a specificity of 14.3% (AUC = 0.901), excellent discriminative power. For the diagnosis of perforated AA, the discriminative power of ECP and EP serum concentrations are weak (AUC = 0.562 and AUC = 0.664, respectively). Concerning the presence of peritonitis, the discriminative power of ECP and EP serum concentrations is acceptable, respectively: AUC = 0.724 and AUC = 0.735. Serum levels of EDN (p = 0.119), ECP (p = 0.586) and EP (p = 0.08) in complicated appendicitis were similar to uncomplicated appendicitis. Serum concentrations of ECP and EP can be added to decision-making AA diagnosis. A Th2-type immune response is present in AA. These data bring forward the role of an allergic reaction in the pathogenesis of acute appendicitis. Full article
(This article belongs to the Collection Feature Papers in “Molecular Biology”)
Show Figures

Figure 1

26 pages, 1414 KB  
Review
The Role of Eosinophil-Derived Neurotoxin and Vascular Endothelial Growth Factor in the Pathogenesis of Eosinophilic Asthma
by Maciej Tota, Julia Łacwik, Julia Laska, Łukasz Sędek and Krzysztof Gomułka
Cells 2023, 12(9), 1326; https://doi.org/10.3390/cells12091326 - 6 May 2023
Cited by 22 | Viewed by 6385
Abstract
Asthma is a chronic complex pulmonary disease characterized by airway inflammation, remodeling, and hyperresponsiveness. Vascular endothelial growth factor (VEGF) and eosinophil-derived neurotoxin (EDN) are two significant mediators involved in the pathophysiology of asthma. In asthma, VEGF and EDN levels are elevated and correlate [...] Read more.
Asthma is a chronic complex pulmonary disease characterized by airway inflammation, remodeling, and hyperresponsiveness. Vascular endothelial growth factor (VEGF) and eosinophil-derived neurotoxin (EDN) are two significant mediators involved in the pathophysiology of asthma. In asthma, VEGF and EDN levels are elevated and correlate with disease severity and airway hyperresponsiveness. Diversity in VEGF polymorphisms results in the variability of responses to glucocorticosteroids and leukotriene antagonist treatment. Targeting VEGF and eosinophils is a promising therapeutic approach for asthma. We identified lichochalcone A, bevacizumab, azithromycin (AZT), vitamin D, diosmetin, epigallocatechin gallate, IGFBP-3, Neovastat (AE-941), endostatin, PEDF, and melatonin as putative add-on drugs in asthma with anti-VEGF properties. Further studies and clinical trials are needed to evaluate the efficacy of those drugs. AZT reduces the exacerbation rate and may be considered in adults with persistent symptomatic asthma. However, the long-term effects of AZT on community microbial resistance require further investigation. Vitamin D supplementation may enhance corticosteroid responsiveness. Herein, anti-eosinophil drugs are reviewed. Among them are, e.g., anti-IL-5 (mepolizumab, reslizumab, and benralizumab), anti-IL-13 (lebrikizumab and tralokinumab), anti-IL-4 and anti-IL-13 (dupilumab), and anti-IgE (omalizumab) drugs. EDN over peripheral blood eosinophil count is recommended to monitor the asthma control status and to assess the efficacy of anti-IL-5 therapy in asthma. Full article
(This article belongs to the Special Issue Asthma: Pathogenesis, Diagnosis, and Treatment)
Show Figures

Figure 1

5 pages, 458 KB  
Brief Report
Patient-Reported Outcomes with Benralizumab in Patients with Severe Eosinophilic Asthma and Severe Chronic Rhinosinusitis with Nasal Polyps
by Rory Chan, Kirsten Stewart, Rasads Misirovs and Brian Lipworth
Sinusitis 2023, 7(1), 1-5; https://doi.org/10.3390/sinusitis7010001 - 29 Mar 2023
Cited by 1 | Viewed by 3456
Abstract
Introduction: Chronic rhinosinusitis with nasal polyps (CRSwNP) and severe eosinophilic asthma (SEA) are common comorbidities characterised by type 2 inflammation associated with increased expression of interleukin 5. Methods: Eight patients with SEA and severe CRSwNP attended the Scottish Centre for Respiratory Research as [...] Read more.
Introduction: Chronic rhinosinusitis with nasal polyps (CRSwNP) and severe eosinophilic asthma (SEA) are common comorbidities characterised by type 2 inflammation associated with increased expression of interleukin 5. Methods: Eight patients with SEA and severe CRSwNP attended the Scottish Centre for Respiratory Research as part of a clinical trial (EudraCT number 2019-003763-22). Following an initial 4-week run-in period (baseline) when patients took their usual inhaled and intranasal corticosteroid treatment for SEA and CRSwNP, they all received subcutaneous benralizumab 30 mg q4w for 12 weeks. Results: Following 12 weeks of benralizumab, no significant differences were detected in nasal global symptom visual analogue score (VAS), hyposmia VAS, total nasal symptom score, or peak nasal inspiratory flow. In contrast, Asthma Control Questionnaire significantly improved along with near-complete depletion of peripheral blood eosinophils by 99%, while eosinophil-derived neurotoxin fell by 72%. Conclusions: Greater improvements in patient-reported outcomes related to asthma were observed than with CRSwNP in response to benralizumab. Full article
Show Figures

Figure 1

14 pages, 2773 KB  
Article
Multiplex Specific IgE Profiling in Neonatal Stool of Preterms Predicts IgE-Mediated Disease
by Youssouf Sereme, Moïse Michel, Soraya Mezouar, Nicolas Orain, Renaud Cezar, Tran Tu Anh, Pierre Corbeau, Anne Filleron and Joana Vitte
Allergies 2023, 3(1), 58-71; https://doi.org/10.3390/allergies3010005 - 26 Feb 2023
Cited by 2 | Viewed by 3052
Abstract
Background: The natural history of immunoglobulin (Ig) E-mediated diseases in preterm infants is still elusive. We aimed at developing a non-invasive tool for detecting specific IgE (sIgE) and eosinophil-derived neurotoxin (EDN) in neonatal fecal samples and evaluating its predictive value for the development [...] Read more.
Background: The natural history of immunoglobulin (Ig) E-mediated diseases in preterm infants is still elusive. We aimed at developing a non-invasive tool for detecting specific IgE (sIgE) and eosinophil-derived neurotoxin (EDN) in neonatal fecal samples and evaluating its predictive value for the development of IgE-mediated diseases during the first year of life. Methods: We developed a stool extraction protocol, followed by freeze-drying and solubilization. The sIgEs were investigated in neonatal fecal samples from 21 preterm infants with a 300-allergen multiplex and confirmed by a capillary Western blot with a nano-immunoassay. EDN concentration was used to investigate the local eosinophilic component. Results: The multiplexed allergen assay detected sIgE in all of the samples. A Western blot was used to confirm the results. The frequency and levels of sIgE in the neonatal fecal samples differed between the infants who developed IgE-mediated diseases and the controls. Allergen specificity was associated with the development of cow’s milk allergy (CMA) and asthma. The development of CMA was predicted by the sIgE response to milk proteins (sensitivity was 88%; specificity was 78%). The EDN levels predicted the development of IgE-mediated diseases (sensitivity was 100%; specificity was 75%). Conclusion: The non-invasive investigation of neonatal fecal sIgE is a promising tool for predicting the subsequent development of IgE-mediated diseases. Clinical Implications: The non-invasive sIgE and EDN profiling of neonatal fecal samples from preterm infants can predict the development of IgE-mediated diseases. Full article
(This article belongs to the Section Pediatric Allergy)
Show Figures

Figure 1

9 pages, 535 KB  
Communication
Serum Levels of Eosinophil-Derived Neurotoxin, Platelet-Activating Factor and Vascular Endothelial Growth Factor in Adult Patients with Atopic Dermatitis—A Pilot Study
by Krzysztof Gomułka, Ewa Wójcik and Jacek Cezary Szepietowski
Biomedicines 2022, 10(12), 3109; https://doi.org/10.3390/biomedicines10123109 - 1 Dec 2022
Cited by 8 | Viewed by 2135
Abstract
Atopic dermatitis (AD) is a chronic, highly pruritic, relapsing–remitting inflammatory skin disease. The etiology of AD has not been fully explained yet and complex interactions of various small molecules are still being taken into account. The aim of this research was to investigate [...] Read more.
Atopic dermatitis (AD) is a chronic, highly pruritic, relapsing–remitting inflammatory skin disease. The etiology of AD has not been fully explained yet and complex interactions of various small molecules are still being taken into account. The aim of this research was to investigate the serum eosinophil-derived neurotoxin (EDN), platelet activating factor (PAF) and vascular endothelial growth factor (VEGF) concentrations in relation to the disease severity and pruritus intensity in adult patients with AD. This pilot study was performed on 30 participants (15 patients with AD and 15 healthy controls). Blood samples were taken to examine the serum levels of EDN, PAF and VEGF using the enzyme-linked immunosorbent assay (ELISA) test. The severity of disease was assessed by the Scoring Atopic Dermatitis (SCORAD) index. The intensity of pruritus, as a subjective symptom, was determined by the Visual Analogue Scale (VAS). Obtained results revealed that the EDN (p = 0.016) and VEGF (p = 0.032), but not PAF (p = 0.841) concentrations were significantly higher in patients with AD compared with those of the control group. There was positive correlation between the EDN level and the SCORAD index in patients with AD (r = −0.9, p = 0.037) which was not found for the PAF and VEGF levels. Circulating EDN, PAF and VEGF levels were not significantly correlated with the severity of pruritus. Our results suggest that the END and VEGF serum levels are significantly increased in patients with AD compared to control group. Moreover, EDN might be useful to reflect the severity of symptoms. Full article
(This article belongs to the Special Issue Pathophysiology and Treatment of Atopic Dermatitis and Psoriasis)
Show Figures

Figure 1

7 pages, 430 KB  
Communication
Serum Levels of Vascular Endothelial Growth Factor, Platelet Activating Factor and Eosinophil-Derived Neurotoxin in Chronic Spontaneous Urticaria—A Pilot Study in Adult Patients
by Krzysztof Gomułka and Wojciech Mędrala
Int. J. Mol. Sci. 2022, 23(17), 9631; https://doi.org/10.3390/ijms23179631 - 25 Aug 2022
Cited by 12 | Viewed by 2287
Abstract
Chronic spontaneous urticaria (CSU) is a skin disease characterized by the presence of wheals, angioedema, or both for at least 6 weeks. Although, CSU is often regarded as autoimmune in nature, its etiology is not fully explained and interactions between various small molecules [...] Read more.
Chronic spontaneous urticaria (CSU) is a skin disease characterized by the presence of wheals, angioedema, or both for at least 6 weeks. Although, CSU is often regarded as autoimmune in nature, its etiology is not fully explained and interactions between various small molecules are still taken under account. The aim of this research was to investigate the mean serum concentration of vascular endothelial growth factor (VEGF), platelet activating factor (PAF), and eosinophil-derived neurotoxin (EDN) in relation to the disease activity and pruritus intensity in adult patients with CSU. Fifteen patients with CSU and 15 healthy subjects participated in this pilot study. Blood samples were taken to examine the mean serum levels of VEGF, PAF, and EDN by the enzyme-linked immunosorbent assay test (ELISA). The Urticaria Activity Score (UAS7) and The Visual Analogue Scale (VAS) were used to assess the disease activity and the pruritus intensity, respectively. Obtained results revealed that VEGF, PAF, and EDN concentrations were higher in patients with CSU compared with those of the control group, but only for VEGF it was statistically significant (p = 0.008). However, levels of all investigated cytokines were not significantly correlated neither with the disease activity nor with the pruritus intensity. Our results showed higher serum levels of VEGF, PAF, and EDN among CSU patients which may highlight a functional role of these cytokines in the disease’s pathogenesis. In contrast, VEGF, PAF, or EDN might not be useful to reflect the severity of symptoms. Full article
(This article belongs to the Special Issue Molecular Mechanisms of Skin Autoimmunity and Hypersensitivity)
Show Figures

Figure 1

21 pages, 683 KB  
Review
Asthma and Allergy: Unravelling a Tangled Relationship with a Focus on New Biomarkers and Treatment
by Pablo Rodriguez del Rio, Andrew H. Liu, Magnus P. Borres, Eva Södergren, Fabio Iachetti and Thomas B. Casale
Int. J. Mol. Sci. 2022, 23(7), 3881; https://doi.org/10.3390/ijms23073881 - 31 Mar 2022
Cited by 15 | Viewed by 4886
Abstract
Asthma is a major driver of health care costs across ages. Despite widely disseminated asthma-treatment guidelines and a growing variety of effective therapeutic options, most patients still experience symptoms and/or refractoriness to standard of care treatments. As a result, most patients undergo a [...] Read more.
Asthma is a major driver of health care costs across ages. Despite widely disseminated asthma-treatment guidelines and a growing variety of effective therapeutic options, most patients still experience symptoms and/or refractoriness to standard of care treatments. As a result, most patients undergo a further intensification of therapy to optimize symptom control with a subsequent increased risk of side effects. Raising awareness about the relevance of evaluating aeroallergen sensitizations in asthmatic patients is a key step in better informing clinical practice while new molecular tools, such as the component resolved diagnosis, may be of help in refining the relationship between sensitization and therapeutic recommendations. In addition, patient care should benefit from reliable, easy-to-measure and clinically accessible biomarkers that are able to predict outcome and disease monitoring. To attain a personalized asthma management and to guide adequate treatment decisions, it is of paramount importance to expand clinicians’ knowledge about the tangled relationship between asthma and allergy from a molecular perspective. Our review explores the relevance of allergen testing along the asthma patient’s journey, with a special focus on recurrent wheezing children. Here, we also discuss the unresolved issues regarding currently available biomarkers and summarize the evidence supporting the eosinophil-derived neurotoxin as promising biomarker. Full article
(This article belongs to the Special Issue Molecular Medicine in Asthma and Allergic Diseases)
Show Figures

Figure 1

11 pages, 967 KB  
Article
Fecal Calprotectin and Eosinophil-Derived Neurotoxin in Children with Non-IgE-Mediated Cow’s Milk Protein Allergy
by María Roca, Ester Donat, Ana Rodriguez Varela, Eva Carvajal, Francisco Cano, Ana Armisen, Helena Ekoff, Antonio José Cañada-Martínez, Niclas Rydell and Carmen Ribes-Koninckx
J. Clin. Med. 2021, 10(8), 1595; https://doi.org/10.3390/jcm10081595 - 9 Apr 2021
Cited by 15 | Viewed by 3243
Abstract
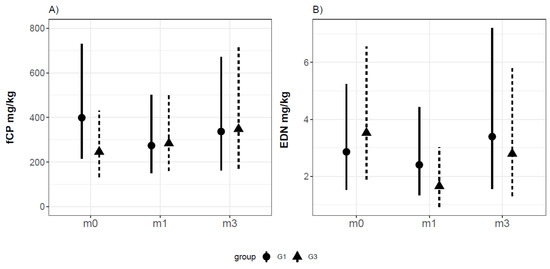
Our aim is to assess the efficacy of fecal calprotectin (fCP) and fecal eosinophil-derived neurotoxin (fEDN) as diagnostic markers of cow’s milk protein allergy (CMPA) and for monitoring the infants’ response to a non-IgE mediated cow’s milk protein (CMP)-free diet. We prospectively recruited [...] Read more.
Our aim is to assess the efficacy of fecal calprotectin (fCP) and fecal eosinophil-derived neurotoxin (fEDN) as diagnostic markers of cow’s milk protein allergy (CMPA) and for monitoring the infants’ response to a non-IgE mediated cow’s milk protein (CMP)-free diet. We prospectively recruited infants aged 0 to 9 months. Stool samples were taken from 30 infants with CMPA, 19 with mild functional gastrointestinal disorders, 28 healthy infants, and 28 children who presented mild infections. Despite the fact that levels of fCP and fEDN in CMPA infants were higher than in healthy infants at month 0, differences for both parameters did not reach statistical significance (p-value 0.119 and 0.506). After 1 month of an elimination diet, no statistically significant differences in fCP with basal levels were found (p-values 0.184) in the CMPA group. We found a high variability in the fCP and fEDN levels of young infants, and discrepancies in individual behavior of these markers after a CMP-free diet was started. It seems that neither fCP nor fEDN levels are helpful to discriminate between healthy infants and those with signs or symptoms related to non-IgE-mediated CMPA. Additionally, it is debatable if on an individual basis, fCP or fEDN levels could be used for clinical follow-up and dietary compliance monitoring. However, prospective studies with larger populations are needed to draw robust conclusions. Full article
(This article belongs to the Section Gastroenterology & Hepatopancreatobiliary Medicine)
Show Figures

Figure 1

10 pages, 1829 KB  
Article
Eosinophil-Derived Neurotoxin, Tumor Necrosis Factor Alpha, and Calprotectin as Non-Invasive Biomarkers of Food Protein-Induced Allergic Proctocolitis in Infants
by Artur Rycyk, Beata Cudowska and Dariusz M. Lebensztejn
J. Clin. Med. 2020, 9(10), 3147; https://doi.org/10.3390/jcm9103147 - 29 Sep 2020
Cited by 20 | Viewed by 3725
Abstract
Diagnosis of non-IgE mediated food allergy presents a special challenge due to lack of a single, non-invasive diagnostic method. We selected three fecal biomarkers of allergic inflammation of gastrointestinal origin in order to improve the diagnostic process. Twenty-seven infants with symptoms of hematochezia [...] Read more.
Diagnosis of non-IgE mediated food allergy presents a special challenge due to lack of a single, non-invasive diagnostic method. We selected three fecal biomarkers of allergic inflammation of gastrointestinal origin in order to improve the diagnostic process. Twenty-seven infants with symptoms of hematochezia were prospectively enrolled into this study. All patients underwent a complete differential diagnosis of rectal bleeding. Non-IgE mediated food allergy was confirmed by an open, oral food challenge. The control group included twenty-five infants with functional gastrointestinal disorders. Eosinophil-derived neurotoxin (EDN), tumor necrosis factor alpha (TNFα), and calprotectin concentration were measured in stools of all children by enzyme-linked immunosorbent assays (ELISA) using commercial kits. Median eosinophil-derived neurotoxin and calprotectin fecal levels were significantly higher in the study group than in the control group (p < 0.05). The difference of fecal tumor necrosis factor alpha concentration between both groups was not statistically significant (p > 0.05). The best diagnostic performance was reached in a combination of fecal calprotectin (fCal) and EDN i.e., 88.9% and 84%, respectively. Fecal EDN and fCAl are reliable tools in differentiating between food protein-induced allergic proctocolitis and gastrointestinal functional disorders in infants. Full article
(This article belongs to the Special Issue Gastrointestinal Tract Disorders)
Show Figures

Figure 1

23 pages, 935 KB  
Review
Role of Type2 Inflammatory Biomarkers in Chronic Obstructive Pulmonary Disease
by Keiji Oishi, Kazuto Matsunaga, Toshihiro Shirai, Keita Hirai and Yasuhiro Gon
J. Clin. Med. 2020, 9(8), 2670; https://doi.org/10.3390/jcm9082670 - 18 Aug 2020
Cited by 40 | Viewed by 7513
Abstract
Airway inflammation in chronic obstructive pulmonary disease (COPD) is typically thought to be driven by Type1 immune responses, while Type2 inflammation appears to be present in definite proportions in the stable state and during exacerbations. In fact, some COPD patients showed gene expression [...] Read more.
Airway inflammation in chronic obstructive pulmonary disease (COPD) is typically thought to be driven by Type1 immune responses, while Type2 inflammation appears to be present in definite proportions in the stable state and during exacerbations. In fact, some COPD patients showed gene expression of Type2 inflammation in the airway, and this subset was associated with the inhaled corticosteroid (ICS) response. Interestingly enough, the relationship between COPD and diseases associated with Type2 inflammation from the perspective of impaired lung development is increasingly highlighted by recent epidemiologic studies on the origin of COPD. Therefore, many researchers have shown an interest in the prevalence and the role of existent Type2 biomarkers such as sputum and blood eosinophils, exhaled nitric oxide fraction, and atopy, not only in asthma but also in COPD. Although the evidence about Type2 biomarkers in COPD is inconsistent and less robust, Type2 biomarkers have shown some potential when analyzing various clinical outcomes or therapeutic response to ICS. In this article, we review the existent and emerging Type2 biomarkers with clinically higher applicability in the management of COPD. Full article
Show Figures

Figure 1

14 pages, 1065 KB  
Review
Eosinophil-Derived Neurotoxin (EDN/RNase 2) and the Mouse Eosinophil-Associated RNases (mEars): Expanding Roles in Promoting Host Defense
by Helene F. Rosenberg
Int. J. Mol. Sci. 2015, 16(7), 15442-15455; https://doi.org/10.3390/ijms160715442 - 8 Jul 2015
Cited by 69 | Viewed by 9707
Abstract
The eosinophil-derived neurotoxin (EDN/RNase2) and its divergent orthologs, the mouse eosinophil-associated RNases (mEars), are prominent secretory proteins of eosinophilic leukocytes and are all members of the larger family of RNase A-type ribonucleases. While EDN has broad antiviral activity, targeting RNA viruses via mechanisms [...] Read more.
The eosinophil-derived neurotoxin (EDN/RNase2) and its divergent orthologs, the mouse eosinophil-associated RNases (mEars), are prominent secretory proteins of eosinophilic leukocytes and are all members of the larger family of RNase A-type ribonucleases. While EDN has broad antiviral activity, targeting RNA viruses via mechanisms that may require enzymatic activity, more recent studies have elucidated how these RNases may generate host defense via roles in promoting leukocyte activation, maturation, and chemotaxis. This review provides an update on recent discoveries, and highlights the versatility of this family in promoting innate immunity. Full article
(This article belongs to the Special Issue Antimicrobial RNases in Host Defense)
Show Figures

Figure 1

19 pages, 1414 KB  
Article
Basic Amino Acid Residues of Human Eosinophil Derived Neurotoxin Essential for Glycosaminoglycan Binding
by Ta-Jen Hung, Wei-Tang Chang, Noboru Tomiya, Yuan-Chuan Lee, Hao-Teng Chang, Chien-Jung Chen, Ping-Hsueh Kuo, Tan-chi Fan and Margaret Dah-Tsyr Chang
Int. J. Mol. Sci. 2013, 14(9), 19067-19085; https://doi.org/10.3390/ijms140919067 - 16 Sep 2013
Cited by 2 | Viewed by 7537
Abstract
Human eosinophil derived neurotoxin (EDN), a granule protein secreted by activated eosinophils, is a biomarker for asthma in children. EDN belongs to the human RNase A superfamily possessing both ribonucleolytic and antiviral activities. EDN interacts with heparin oligosaccharides and heparin sulfate proteoglycans on [...] Read more.
Human eosinophil derived neurotoxin (EDN), a granule protein secreted by activated eosinophils, is a biomarker for asthma in children. EDN belongs to the human RNase A superfamily possessing both ribonucleolytic and antiviral activities. EDN interacts with heparin oligosaccharides and heparin sulfate proteoglycans on bronchial epithelial Beas-2B cells. In this study, we demonstrate that the binding of EDN to cells requires cell surface glycosaminoglycans (GAGs), and the binding strength between EDN and GAGs depends on the sulfation levels of GAGs. Furthermore, in silico computer modeling and in vitro binding assays suggest critical roles for the following basic amino acids located within heparin binding regions (HBRs) of EDN 34QRRCKN39 (HBR1), 65NKTRKN70 (HBR2), and 113NRDQRRD119 (HBR3) and in particular Arg35, Arg36, and Arg38 within HBR1, and Arg114 and Arg117 within HBR3. Our data suggest that sulfated GAGs play a major role in EDN binding, which in turn may be related to the cellular effects of EDN. Full article
(This article belongs to the Special Issue Proteins and Protein-Ligand Interactions)
Show Figures

Back to TopTop