Sign in to use this feature.

Years

Between: -

Subjects

remove_circle_outline
remove_circle_outline
remove_circle_outline
remove_circle_outline

Journals

Article Types

Countries / Regions

Search Results (2)

Search Parameters:
Keywords = earcon

Order results
Result details
Results per page
Select all
Export citation of selected articles as:
15 pages, 22812 KB  
Article
Spot-Presentation of Stereophonic Earcons to Assist Navigation for the Visually Impaired
by Yuichi Mashiba, Ryunosuke Iwaoka, Hisham E. Bilal Salih, Masayuki Kawamoto, Naoto Wakatsuki, Koichi Mizutani and Keiichi Zempo
Multimodal Technol. Interact. 2020, 4(3), 42; https://doi.org/10.3390/mti4030042 - 20 Jul 2020
Cited by 7 | Viewed by 6044
Abstract
This study seeks to demonstrate that a navigation system using stereophonic sound technology is effective in supporting visually impaired people in public spaces. In the proposed method, stereophonic sound is produced by a pair of parametric speakers for a person who comes to [...] Read more.
This study seeks to demonstrate that a navigation system using stereophonic sound technology is effective in supporting visually impaired people in public spaces. In the proposed method, stereophonic sound is produced by a pair of parametric speakers for a person who comes to a specific position, detected by an RGB-D sensor. The sound is a stereophonic earcon representing the target facility. The recipient can intuitively understand the direction of the target facility. The sound is not audible for anyone except for the person being supported and is not noisy. This system is constructed in a shopping mall, and an experiment is conducted, in which the proposed system and guidance by a tactile map lead to a designated facility. As a result, it is confirmed, that the execution time of the proposed method is reduced. It is also confirmed that the proposed method shows higher performance in terms of the average time required to grasp the direction than the tactile map approach. In the actual environment where this system is supposed to be used, the correct answer rate is over 80%. These results suggest that the proposed method can replace the conventional tactile map as a guidance system. Full article
(This article belongs to the Special Issue 3D Human–Computer Interaction)
Show Figures

Figure 1

18 pages, 2192 KB  
Article
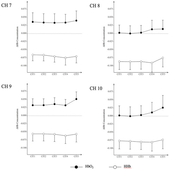
Cognitive Load Changes during Music Listening and its Implication in Earcon Design in Public Environments: An fNIRS Study
by Eunju Jeong, Hokyoung Ryu, Geonsang Jo and Jaehyeok Kim
Int. J. Environ. Res. Public Health 2018, 15(10), 2075; https://doi.org/10.3390/ijerph15102075 - 21 Sep 2018
Cited by 8 | Viewed by 5960
Abstract
A key for earcon design in public environments is to incorporate an individual’s perceived level of cognitive load for better communication. This study aimed to examine the cognitive load changes required to perform a melodic contour identification task (CIT). While healthy college students [...] Read more.
A key for earcon design in public environments is to incorporate an individual’s perceived level of cognitive load for better communication. This study aimed to examine the cognitive load changes required to perform a melodic contour identification task (CIT). While healthy college students (N = 16) were presented with five CITs, behavioral (reaction time and accuracy) and cerebral hemodynamic responses were measured using functional near-infrared spectroscopy. Our behavioral findings showed a gradual increase in cognitive load from CIT1 to CIT3 followed by an abrupt increase between CIT4 (i.e., listening to two concurrent melodic contours in an alternating manner and identifying the direction of the target contour, p < 0.001) and CIT5 (i.e., listening to two concurrent melodic contours in a divided manner and identifying the directions of both contours, p < 0.001). Cerebral hemodynamic responses showed a congruent trend with behavioral findings. Specific to the frontopolar area (Brodmann’s area 10), oxygenated hemoglobin increased significantly between CIT4 and CIT5 (p < 0.05) while the level of deoxygenated hemoglobin decreased. Altogether, the findings indicate that the cognitive threshold for young adults (CIT5) and appropriate tuning of the relationship between timbre and pitch contour can lower the perceived cognitive load and, thus, can be an effective design strategy for earcon in a public environment. Full article
Show Figures

Figure 1

Back to TopTop