Sign in to use this feature.

Years

Between: -

Subjects

remove_circle_outline
remove_circle_outline
remove_circle_outline

Journals

Article Types

Countries / Regions

Search Results (2)

Search Parameters:
Keywords = disclosed plaque visualization

Order results
Result details
Results per page
Select all
Export citation of selected articles as:
20 pages, 9263 KB  
Article
Deep Learning in Oral Hygiene: Automated Dental Plaque Detection via YOLO Frameworks and Quantification Using the O’Leary Index
by Alfonso Ramírez-Pedraza, Sebastián Salazar-Colores, Crystel Cardenas-Valle, Juan Terven, José-Joel González-Barbosa, Francisco-Javier Ornelas-Rodriguez, Juan-Bautista Hurtado-Ramos, Raymundo Ramirez-Pedraza, Diana-Margarita Córdova-Esparza and Julio-Alejandro Romero-González
Diagnostics 2025, 15(2), 231; https://doi.org/10.3390/diagnostics15020231 - 20 Jan 2025
Cited by 5 | Viewed by 4974
Abstract
Background: Oral diseases such as caries, gingivitis, and periodontitis are highly prevalent worldwide and often arise from plaque. This study focuses on detecting three plaque stages—new, mature, and over-mature—using state-of-the-art YOLO architectures to enhance early intervention and reduce reliance on manual visual [...] Read more.
Background: Oral diseases such as caries, gingivitis, and periodontitis are highly prevalent worldwide and often arise from plaque. This study focuses on detecting three plaque stages—new, mature, and over-mature—using state-of-the-art YOLO architectures to enhance early intervention and reduce reliance on manual visual assessments. Methods: We compiled a dataset of 531 RGB images from 177 individuals, captured via multiple mobile devices. Each sample was treated with disclosing gel to highlight plaque types, then preprocessed for lighting and color normalization. YOLOv9, YOLOv10, and YOLOv11, in various scales, were trained to detect plaque categories, and their performance was evaluated using precision, recall, and mean Average Precision (mAP@50). Results: Among the tested models, YOLOv11m achieved the highest mAP@50 (0.713), displaying superior detection of over-mature plaque. Across all YOLO variants, older plaque was generally easier to detect than newer plaque, which can blend with gingival tissue. Applying the O’Leary index indicated that over half of the study population exhibited severe plaque levels. Conclusions: Our findings demonstrate the feasibility of automated plaque detection with advanced YOLO models in varied imaging conditions. This approach offers potential to optimize clinical workflows, support early diagnoses, and mitigate oral health burdens in low-resource communities. Full article
(This article belongs to the Special Issue Classification of Diseases Using Machine Learning Algorithms)
Show Figures

Figure 1

11 pages, 1544 KB  
Article
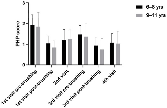
Comparison of the Short Time Effect of an Oral Hygiene Education in Four Sessions via Quantitative Light-Induced Fluorescence Technology Versus Disclosing Agents in Children: A Randomized, Crossover Clinical Trial
by Sangkyu Han, Seong Jin Kim, Taeyang Lee, Hoi-In Jung, Ko Eun Lee and Je Seon Song
Children 2024, 11(11), 1371; https://doi.org/10.3390/children11111371 - 12 Nov 2024
Cited by 2 | Viewed by 1689
Abstract
Objectives: The aim of this study is to compare the effectiveness of Qscan plus™ (AIOBIO, Seoul, Korea) based on quantitative light-induced fluorescence (QLF) technology and disclosing agents in oral health programs in children. Methods: A randomized crossover study was conducted for Korean children [...] Read more.
Objectives: The aim of this study is to compare the effectiveness of Qscan plus™ (AIOBIO, Seoul, Korea) based on quantitative light-induced fluorescence (QLF) technology and disclosing agents in oral health programs in children. Methods: A randomized crossover study was conducted for Korean children aged 6–11 years. Fifty-eight participants (29 to use Qscan plus™ first and 29 to use the disclosing agent first) were enrolled in this study. The participants were randomly divided into two groups. One group was assigned to brush with Qscan plus™, while the other group brushed with disclosed plaque visualization. One month later, the groups switched procedures. A total of 39 participants were analyzed, excluding those lost during the trial. There was no adverse event during the trial. The patient hygiene performance (PHP) index was used to assess oral hygiene status, and questionnaires about oral health behavior and attitude were completed. The data were analyzed using repeated-measure analysis of variance, with a significance level of p < 0.05. Results: The PHP score decreased significantly on post-brushing and follow-up compared to baseline in both methods (p < 0.001), but there was no significant difference between the two methods. After oral hygiene education, participants’ brushing time increased, and their oral care attitudes improved. More participants preferred the Qscan device to the disclosed plaque visualization because it is more easily noticeable. Conclusions: The Qscan device has a similar educational effect as disclosing agents, and can be used as a supplementary tool to encourage children in oral hygiene education. Full article
(This article belongs to the Section Pediatric Dentistry & Oral Medicine)
Show Figures

Figure 1

Back to TopTop