Sign in to use this feature.

Years

Between: -

Subjects

remove_circle_outline
remove_circle_outline

Journals

Article Types

Countries / Regions

remove_circle_outline

Search Results (1)

Search Parameters:
Keywords = deutrium

Order results
Result details
Results per page
Select all
Export citation of selected articles as:
13 pages, 7175 KB  
Article
Noise Improvement of a-Si Microbolometers by the Post-Metal Annealing Process
by Jaesub Oh, Hyeong-sub Song, Jongcheol Park and Jong-Kwon Lee
Sensors 2021, 21(20), 6722; https://doi.org/10.3390/s21206722 - 10 Oct 2021
Cited by 15 | Viewed by 3931
Abstract
To realize high-resolution thermal images with high quality, it is essential to improve the noise characteristics of the widely adopted uncooled microbolometers. In this work, we applied the post-metal annealing (PMA) process under the condition of deuterium forming gas, at 10 atm and [...] Read more.
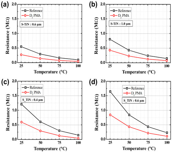
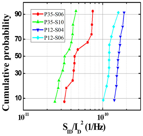
To realize high-resolution thermal images with high quality, it is essential to improve the noise characteristics of the widely adopted uncooled microbolometers. In this work, we applied the post-metal annealing (PMA) process under the condition of deuterium forming gas, at 10 atm and 300 °C for 30 min, to reduce the noise level of amorphous-Si microbolometers. Here, the DC and temperature coefficient of resistance (TCR) measurements of the devices as well as 1/f noise analysis were performed before and after the PMA treatment, while changing the width of the resistance layer of the microbolometers with 35 μm or 12 μm pixel. As a result, the microbolometers treated by the PMA process show the decrease in resistance by about 60% and the increase in TCR value up to 48.2% at 10 Hz, as compared to the reference device. Moreover, it is observed that the noise characteristics are improved in inverse proportion to the width of the resistance layer. This improvement is attributed to the cured poly-silicon grain boundary through the hydrogen passivation by heat and deuterium atoms applied during the PMA, which leads to the uniform current path inside the pixel. Full article
(This article belongs to the Section Physical Sensors)
Show Figures

Figure 1

Back to TopTop