Sign in to use this feature.

Years

Between: -

Subjects

remove_circle_outline
remove_circle_outline

Journals

Article Types

Countries / Regions

Search Results (3)

Search Parameters:
Keywords = degossypolled cottonseed protein

Order results
Result details
Results per page
Select all
Export citation of selected articles as:
19 pages, 2155 KB  
Article
Effects of Degossypolized Cottonseed Protein on the Laying Performance, Egg Quality, Blood Indexes, Gossypol Residue, Liver and Uterine Histopathological Changes, and Intestinal Health of Laying Hens
by Ru Li, Xingyuan Luo, Shiping Bai, Xuemei Ding, Jianping Wang, Qiufeng Zeng, Yue Xuan, Shanshan Li, Sharina Qi, Xiaojuan Bi, Chao He, Xuanming Chen and Keying Zhang
Agriculture 2025, 15(14), 1482; https://doi.org/10.3390/agriculture15141482 - 10 Jul 2025
Cited by 1 | Viewed by 1052
Abstract
This experiment aimed to investigate the appropriate level of degossypolized cottonseed protein (DGCP) in the diet of laying hens. A total of 600 49-week-old Lohmann pink laying hens were allocated to five treatments, with six replicates per treatment and 20 birds per replicate. [...] Read more.
This experiment aimed to investigate the appropriate level of degossypolized cottonseed protein (DGCP) in the diet of laying hens. A total of 600 49-week-old Lohmann pink laying hens were allocated to five treatments, with six replicates per treatment and 20 birds per replicate. The control group was fed a corn-soybean meal basal diet. Four experimental diets were formulated by replacing 25%, 50%, 75%, and 100% of the soybean meal protein-equivalent capacity with DGCP, where 100% replacement corresponded to the maximum safe inclusion of DGCP. The study period lasted for 8 weeks. The results showed that the feed intake, average egg weight, egg mass, laying rate, and the albumen percentage were significantly reduced in the 100% DGCP group (p < 0.05). Plasma uric acid (UA), total cholesterol (TC), triglyceride (TG), and potassium (K) levels were significantly lower (p < 0.05), and depth of crypt (CD) was significantly higher (p < 0.05) in the 100% DGCP group. The DGCP diet linearly increased the relative abundance of Bacteroidota and Bacteroide and significantly increased the relative abundance of Desulfobacterotas in the cecum contents compared to the control group (p < 0.05). The ACE and Chao1 indices in both the control group and the 100% DGCP group were significantly decreased (p < 0.05). In conclusion, the dietary addition of DGCP can reach up to 114.6 g/kg. Full article
Show Figures

Figure 1

22 pages, 999 KB  
Article
The Effects of Fishmeal Replacement with Degossypolled Cottonseed Protein on Growth, Serum Biochemistry, Endocrine Responses, Lipid Metabolism, and Antioxidant and Immune Responses in Black Carp (Mylopharyngodon piceus)
by Jiao Wei, Yifan Fu, Shinan Feng, Jinjing Zhang, Yuanyuan Zhang, Jiaxing Yu, Pengtian Kang, Chenglong Wu and Haifeng Mi
Animals 2025, 15(10), 1404; https://doi.org/10.3390/ani15101404 - 13 May 2025
Cited by 1 | Viewed by 1178
Abstract
This research investigated the growth, serum biochemistry, antioxidant capability, and immunity impact of black carp fed degossypolled cottonseed protein replacing fishmeal at the levels of 0%, 10%, 20%, 30%, 40%, and 50% (DCP0, DCP10, DCP20, DCP30, DCP40, and DCP50), respectively. The results showed [...] Read more.
This research investigated the growth, serum biochemistry, antioxidant capability, and immunity impact of black carp fed degossypolled cottonseed protein replacing fishmeal at the levels of 0%, 10%, 20%, 30%, 40%, and 50% (DCP0, DCP10, DCP20, DCP30, DCP40, and DCP50), respectively. The results showed there were no significant changes in growth among these test groups. The activities and mRNA expression levels of amylase and trypsin were heightened in conjunction with 30–40% DCP. Although the insulin contents were reduced with a rise in DCP content, 5-hydroxytryptamino was increased in the DCP40 and DCP50 groups. DCP40 could heighten the levels of low-density lipoprotein cholesterol, triglycerides, total cholesterol, and urea nitrogen. Although lower levels of DCP (≤20%) could increase the total antioxidant capacity compared with the DCP50 group, DCP50 could markedly heighten levels of catalase, glutathione S-transferase, H2O2, and malondialdehyde. Meanwhile, the mRNA levels of Mn-superoxide dismutase, glutathione reductase, glutathione peroxidase, glutamate–cysteine ligase regulatory subunit, and nuclear factor E2-related factor 2 were heightened in the DCP30 group compared with the DCP50 group. The levels of alkaline phosphatase, immunoglobulin M, and liver-expressed antimicrobial peptide 2 were markedly heightened in the liver of the DCP20 group compared with the DCP50 group. In conclusion, a suitable level of DCP (20%) could improve serum biochemical indices and hormone variation, enhance antioxidant capability, and increase immunity in black carp. Full article
(This article belongs to the Special Issue Enhancing Aquatic Animal Health Through Feed Additives)
Show Figures

Figure 1

14 pages, 1416 KB  
Article
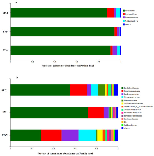
Effects of Replacing Fishmeal and Soybean Protein Concentrate with Degossypolized Cottonseed Protein in Diets on Growth Performance, Nutrient Digestibility, Intestinal Morphology, Cecum Microbiome and Fermentation of Weaned Piglets
by Li Wang, Wenjun Gao, Huangwei Shi, Qile Hu and Changhua Lai
Animals 2022, 12(13), 1667; https://doi.org/10.3390/ani12131667 - 28 Jun 2022
Cited by 7 | Viewed by 3083
Abstract
The inclusion of high-quality proteins is commonly used in swine production, especially in weaned pigs. Our research investigated the effects of replacing fishmeal (FM) and soybean protein concentrate (SPC) with degossypolized cottonseed protein (DCP) on the growth performance, nutrient digestibility, intestinal morphology, cecum [...] Read more.
The inclusion of high-quality proteins is commonly used in swine production, especially in weaned pigs. Our research investigated the effects of replacing fishmeal (FM) and soybean protein concentrate (SPC) with degossypolized cottonseed protein (DCP) on the growth performance, nutrient digestibility, intestinal morphology, cecum microbiota and fermentation in weaned pigs. A total of 90 pigs were used in a 4-week trial. Pigs were randomly assigned to three dietary treatments (initial BW 8.06 ± 0.26 kg; six pigs per pen; five pens per treatment), including a basal diet group (CON) with a 6% SPC and 6% FM; two experimental diets group (SPCr and FMr) were formulated by replacing SPC or FM with 6% DCP, respectively. There were no differences in growth performance and diarrhea rate among three treatments except for the ADFI during day 14 to day 28. Using the DCP to replace FM would weaken the jejunum morphology and decrease the nutrient digestibility of pigs during day 0 to day 14. However, replacing FM with DCP can improve the community structure of cecum microbiota, and may relieve these negative effects. In conclusion, DCP can be used as a cost-effective alternative protein supplement. Full article
(This article belongs to the Section Pigs)
Show Figures

Figure 1

Back to TopTop