Sign in to use this feature.

Years

Between: -

Subjects

remove_circle_outline
remove_circle_outline
remove_circle_outline
remove_circle_outline
remove_circle_outline

Journals

Article Types

Countries / Regions

Search Results (3)

Search Parameters:
Keywords = cork borer

Order results
Result details
Results per page
Select all
Export citation of selected articles as:
13 pages, 1650 KB  
Article
Phytochemical Composition of Extractives in the Inner Cork Layer of Cork Oaks with Low and Moderate Coraebus undatus Attack
by Rita Simões, Manuela Branco, Carla Nogueira, Carolina Carvalho, Conceição Santos-Silva, Suzana Ferreira-Dias, Isabel Miranda and Helena Pereira
Forests 2022, 13(9), 1517; https://doi.org/10.3390/f13091517 - 19 Sep 2022
Cited by 1 | Viewed by 2389
Abstract
The beetle Coraebus undatus, during its larval stage feeds, and excavates galleries on the cork-generating layer of Quercus suber L. trees, seriously affecting the cork quality with significant economic losses for the cork industry. This work compared the composition of the extracts [...] Read more.
The beetle Coraebus undatus, during its larval stage feeds, and excavates galleries on the cork-generating layer of Quercus suber L. trees, seriously affecting the cork quality with significant economic losses for the cork industry. This work compared the composition of the extracts present in the innermost cork layers (the belly) of cork planks from Q. suber trees with low and moderate C. undatus attack in one stand. The total extractives in the inner cork layer from trees with moderate and low C. undatus attacks were similar (on average 22% of the cork mass) with a high proportion of polar compounds (91% of the total extractives). The chemical composition of the inner cork lipophilic extractives was the same in trees infested and free of larvae, with triterpenes as the most abundant family accounting for 77% of all the compounds, predominantly friedeline. The hydrophilic extractives differed on the levels of phenolic compounds, with higher levels in the inner cork extracts of samples from trees with low attack (90.0 mg GAE g−1 vs. 59.0 mg GAE g−1 of inner cork mass) The potential toxic activity of phenolic compounds may have a role in decreasing the larval feeding. Full article
Show Figures

Figure 1

14 pages, 3164 KB  
Article
Raffaelea quercina sp. nov. Associated with Cork Oak (Quercus suber L.) Decline in Portugal
by Maria L. Inácio, José Marcelino, Arlindo Lima, Edmundo Sousa and Filomena Nóbrega
Forests 2021, 12(4), 513; https://doi.org/10.3390/f12040513 - 20 Apr 2021
Cited by 8 | Viewed by 4115
Abstract
Research Highlights: Raffaelea quercina sp. nov. is an ophiostomatoid fungus isolated from the ambrosia beetle Platypus cylindrus. The species occurs in symptomatic Portuguese cork oak trees, (Quercus suber L.), exhibiting vegetative decline. Background and Objectives: Quercus suber L. is a species [...] Read more.
Research Highlights: Raffaelea quercina sp. nov. is an ophiostomatoid fungus isolated from the ambrosia beetle Platypus cylindrus. The species occurs in symptomatic Portuguese cork oak trees, (Quercus suber L.), exhibiting vegetative decline. Background and Objectives: Quercus suber L. is a species restricted to the Mediterranean basin, of special economic importance as it constitutes the crucial raw material for the cork production industry, in particular for Portugal, the world’s leading producer. Over the last three decades a progressive and alarming decline of cork oak trees has been observed across its distribution area, including Portugal. The ambrosia beetle Platypus cylindrus, commonly known as the oak pinhole borer, establishes symbiotic relationships with fungi from which it depends for survival and for oak colonization. Some of these fungi are ophiostomatoid species of the Raffaelea genus, known as ambrosia fungi associated with ambrosia beetles. Some Raffaelea species exhibit phytopathogenic activity causing wilting and/or death of trees. The objective of the present study is to identify the association between P. cylindrus and Raffaelea species in Portuguese cork oak stands showing symptoms of disease and decline. Materials and Methods: A total of 300 adult insects were collected as they emerged from cork oak logs, sampled from symptomatic trees. Axenic isolates of Raffaelea species were obtained from the beetles and their galleries in the trunks and identified based on morphological features and molecular analysis of the SSU and LSU rDNA regions. Results: Two Raffaelea species were identified, i.e., R. montetyi and a novel Raffaelea species closely related to R. canadensis. The novel species is morphologically and genetically characterized in this study, and erected as Raffaelea quercina M.L. Inácio, E. Sousa & F. Nóbrega, sp. nov. Raffaelea quercina constitutes a new phytopathogenic fungal species associated with P. cylindrus and cork oak trees exhibiting symptoms of vegetative decline. Conclusions: Raffaelea species appear to have a significant role in cork oak decline. Future research on the association between P. cylindrus and Raffaelea species, encompassing the trans-European and North African wide-range of cork oak stands, would further clarify the relationships between ambrosia beetles, associated fungi and cork oak decline, contributing to a better understanding of the phenomena and for strategies aiming to halt the continuous decline of the unique cork oak stands enclosed in the Mediterranean basin. Full article
(This article belongs to the Special Issue Insects as Vectors of Forest Diseases)
Show Figures

Figure 1

19 pages, 1337 KB  
Article
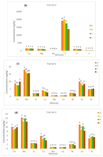
Variations of Macro- and Microelements in Yellow-Fleshed Cassava (Manihot esculenta Crantz) Genotypes as a Function of Storage Root Portion, Harvesting Time, and Sampling Method
by Emmanuel Oladeji Alamu, Busie Maziya-Dixon, Consent Sibeso, Elizabeth Parkes and Alfred Gilbert Dixon
Appl. Sci. 2020, 10(16), 5396; https://doi.org/10.3390/app10165396 - 5 Aug 2020
Cited by 6 | Viewed by 2485
Abstract
The correct estimation of the mineral content of cassava (Manihot esculenta) genotypes is vital from a nutritional point of view. This study evaluated the effects of the storage root section, maturity, and sampling method on the macro- and microelements in yellow-fleshed cassava [...] Read more.
The correct estimation of the mineral content of cassava (Manihot esculenta) genotypes is vital from a nutritional point of view. This study evaluated the effects of the storage root section, maturity, and sampling method on the macro- and microelements in yellow-fleshed cassava root genotypes. In total, 44 genotypes were grown in replicated field trials of 2 sets (set 25 and set 19) and were harvested at 9 and 12 months after planting. Two sampling methods, sampling with a cork borer (A = proximal, B = middle, C = distal or method 1) and sampling without a cork borer (L = Longitudinal or method 2), were used. The minerals of the samples from the two methods were determined using inductively coupled optical emission spectrometry (ICP-OES). K and Mn were the most abundant minerals, and Na, Mo, and Co were the least abundant. Genotype, method, and maturity had a strong influence on mineral concentrations. Harvesting time affected the concentration level of some macro- and microelements in cassava roots. Additionally, Ca, Mg, K, P, Mn, Cu, Ni, and Zn contents were significantly (p < 0.05) higher in the proximal and middle portions for method 1. K and P and Mn and B were positively correlated, but K and Na and Fe and Ni were negatively associated. Full article
(This article belongs to the Section Food Science and Technology)
Show Figures

Figure 1

Back to TopTop