Sign in to use this feature.

Years

Between: -

Subjects

remove_circle_outline
remove_circle_outline
remove_circle_outline
remove_circle_outline
remove_circle_outline
remove_circle_outline
remove_circle_outline
remove_circle_outline
remove_circle_outline

Journals

remove_circle_outline
remove_circle_outline
remove_circle_outline
remove_circle_outline
remove_circle_outline
remove_circle_outline

Article Types

Countries / Regions

remove_circle_outline
remove_circle_outline

Search Results (445)

Search Parameters:
Keywords = contract coordination

Order results
Result details
Results per page
Select all
Export citation of selected articles as:
32 pages, 2020 KB  
Article
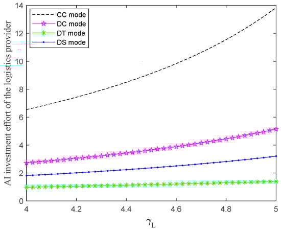
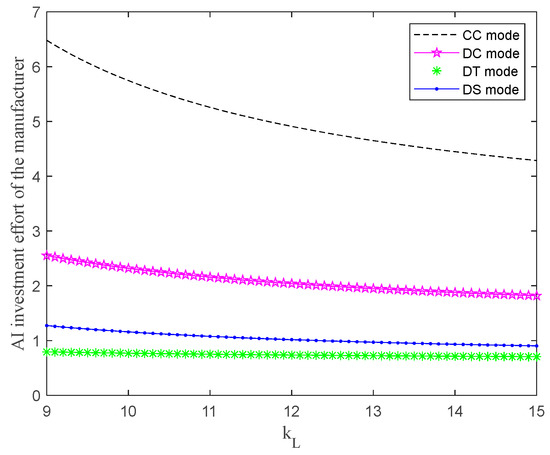
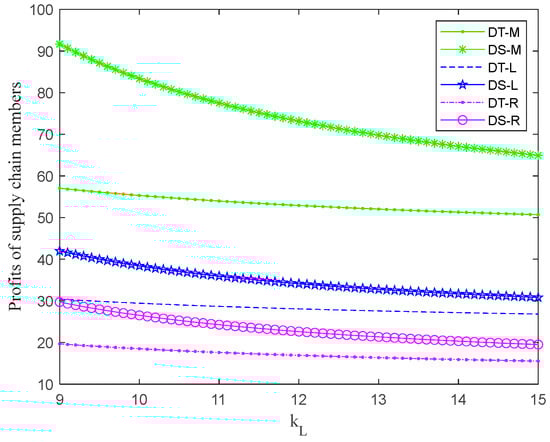
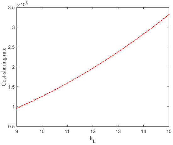
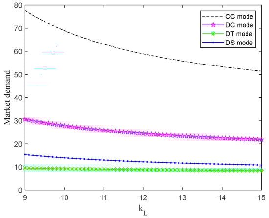
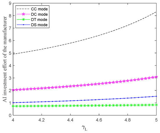
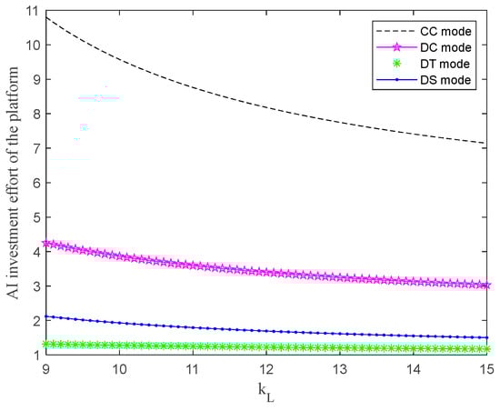
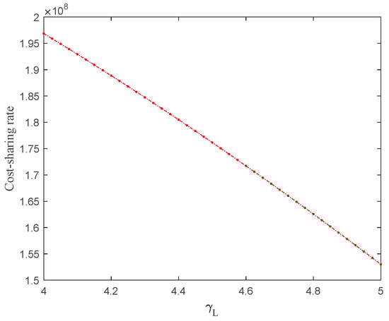
Research on Coordination of the E-Commerce Platform Supply Chain Considering Tripartite AI Investments
by Zijiao Sun and Jun Tu
J. Theor. Appl. Electron. Commer. Res. 2025, 20(4), 269; https://doi.org/10.3390/jtaer20040269 - 2 Oct 2025
Abstract
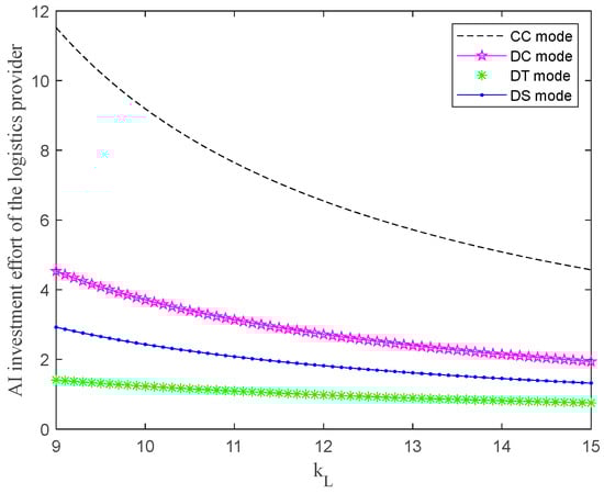
This study examines a three-tier e-commerce platform supply chain consisting of a manufacturer, an e-commerce platform, and a logistics provider, where three members invest in artificial intelligence. Market demand is modeled as a function of retail price and the AI investment efforts of [...] Read more.
This study examines a three-tier e-commerce platform supply chain consisting of a manufacturer, an e-commerce platform, and a logistics provider, where three members invest in artificial intelligence. Market demand is modeled as a function of retail price and the AI investment efforts of three members. To coordinate the supply chain, all possible coalition forms and the cost-sharing contract are investigated. Game models under different scenarios are established and solved. The results show that: (1) Compared with the centralized structure, each member’s AI investment effort will decrease under decentralized structures; (2) The cost-sharing contract is always effective for the AI investment efforts of the manufacturer and platform, but it is effective for the logistics provider’s AI investment effort under certain conditions; (3) The cost-sharing contract effectively coordinates the e-commerce platform supply chain compared to the revenue-sharing contract. Market demand and supply chain profit are larger under the cost-sharing contract than under the fully decentralized structure. This paper provides a theoretical basis for the design of AI investment strategies, product pricing, and coordination mechanisms for supply chain members of the e-commerce supply chain. Full article
Show Figures

Figure 1

16 pages, 4979 KB  
Article
Synthesis, Structures and Corrosion Inhibition Properties of 4-Nitrophenylacetato-Rare-Earth(III) 1D Coordination Polymers
by Jacob M. Neill, Naveena Y. Salpadoru Thuppahige, Zhifang Guo, Glen B. Deacon and Peter C. Junk
Molecules 2025, 30(19), 3940; https://doi.org/10.3390/molecules30193940 - 1 Oct 2025
Abstract
The rare earth (RE) aqua 4-nitrophenylacetate (4npa) complexes {[RE(4npa)3(H2O)2]·2H2O}n (RE = La (1La), Nd (2Nd)), [Ce(4npa)3(H2O)2]n (3Ce), and {[RE2(4npa) [...] Read more.
The rare earth (RE) aqua 4-nitrophenylacetate (4npa) complexes {[RE(4npa)3(H2O)2]·2H2O}n (RE = La (1La), Nd (2Nd)), [Ce(4npa)3(H2O)2]n (3Ce), and {[RE2(4npa)6(H2O)]·2H2O}n (RE = Gd (4Gd), Dy (5Dy), Y (6Y), Er (7Er), Yb (8Yb)) were synthesised by salt metathesis reactions of REIII chlorides or nitrates with sodium 4-nitrophenylacetate Na(4npa) in aqueous ethanol. The structures of all the complexes were determined by single-crystal X-ray diffraction (SCXRD) except for RE = 4Gd, which was determined to be isomorphous with the 5Dy and 7Er complexes by X-ray powder diffraction (XRPD). All the complexes crystallise as one-dimensional polymers linked by bridging carboxylates. Complexes (1La3Ce) have mononuclear repeating units with two coordinated waters and ten coordinate RE ions, 1La and 2Nd also have two waters of crystallization, but 3Ce has none. By contrast, complexes (4Gd8Yb) have binuclear repeating units with a single coordinated water. Isomorphous 5Dy and 7Er have one nine coordinate and one eight coordinate metal ion, whilst isomorphous 6Y and 8Yb have two eight coordinate RE ions. In some cases, bulk powders have structures different from the corresponding single crystals. For example, bulk 1La is isomorphous with 3Ce owing to the loss of water of crystallization, and 8Yb exhibits coordination isomerism between single crystals and microcrystalline powder. Weight loss corrosion tests revealed that {[Dy2(4npa)6(H2O)]·2H2O}n (5Dy) has the greatest inhibition efficiency (89%) of the complexes (1La8Yb). The activities are comparable to those of the corresponding 4-hydroxyphenylacetates (4hpa) and far superior to those of 2-hydroxyphenylacetates (2hpa) and the unsubstituted phenylacetates. Whilst the coordination numbers generally decline with the lanthanoid contraction, there are deviations around 5Dy, 6Y, 7Er, and 8Yb, and the corrosion inhibition is optimised with a midrange size. Full article
(This article belongs to the Section Inorganic Chemistry)
Show Figures

Figure 1

20 pages, 1433 KB  
Article
Decision-Making and Contract Coordination of Closed-Loop Supply Chain with Dual-Competitive Retail and Recycling Markets
by Wenjun Gao, Muxuan Li, Ruiqing Shi and Sheng Gao
Systems 2025, 13(10), 858; https://doi.org/10.3390/systems13100858 - 29 Sep 2025
Abstract
Sales competition and recycling rivalry are critical factors affecting the operation of closed-loop supply (CLSC). The existing research on competitive CLSCs primarily analyzes the impact of competition between two sales entities and/or two recycling entities on management decisions. To make the study more [...] Read more.
Sales competition and recycling rivalry are critical factors affecting the operation of closed-loop supply (CLSC). The existing research on competitive CLSCs primarily analyzes the impact of competition between two sales entities and/or two recycling entities on management decisions. To make the study more realistic, this study constructs a Stackelberg game model with the manufacturer as a leader, and analyzes the impacts of competition among n retailers (where n2) and rivalry among m third-party recyclers (where m2) on the decision-making and profits of both node enterprises and the supply chain system, and proposes a linear transfer-payment contract to coordinate the CLSC from an economic perspective. Numerical analyses are conducted to visualize the effects of competition on the decisions and profits. The key findings are as follows: (1) In the centralized system, inter-retailer competition reduces optimal order quantities but does not affect optimal retail prices. In the decentralized system, however, it decreases both optimal order quantities and retail prices. (2) Rivalry among recyclers reduces their optimal recycling volumes but does not affect their optimal recycling prices in the centralized system. In the decentralized system, however, such rivalry not only decreases recycling volumes but also increases optimal recycling prices. (3) The manufacturer’s product wholesale price and used product recycling price remain independent of competitive interactions among retailers and recyclers in the decentralized system. (4) Competition among retailers and recyclers positively affects the profits of the CLSC and the manufacturer, but negatively impacts those of retailers and recyclers. (5) When the reward–penalty factors for product order and used product recycling fall within a specific range, the linear transfer-payment contract can coordinate the CLSC in the presence of competition in both retail and recycling. (6) All enterprises’ profits are sensitive to the penalty–reward factor, but this sensitivities also gradually decrease as the number of retailers and (or) recyclers increases. Full article
(This article belongs to the Special Issue Supply Chain Management towards Circular Economy)
Show Figures

Figure 1

26 pages, 3132 KB  
Article
Revealing the Specific Contributions of Mitochondrial CB1 Receptors to the Overall Function of Skeletal Muscle in Mice
by Zoltán Singlár, Péter Szentesi, Nyamkhuu Ganbat, Barnabás Horváth, László Juhász, Mónika Gönczi, Anikó Keller-Pintér, Attila Oláh, Zoltán Máté, Ferenc Erdélyi, László Csernoch and Mónika Sztretye
Cells 2025, 14(19), 1517; https://doi.org/10.3390/cells14191517 - 28 Sep 2025
Abstract
Skeletal muscle, constituting 40–50% of total body mass, is vital for mobility, posture, and systemic homeostasis. Muscle contraction heavily relies on ATP, primarily generated by mitochondrial oxidative phosphorylation. Mitochondria play a key role in decoding intracellular calcium signals. The endocannabinoid system (ECS), including [...] Read more.
Skeletal muscle, constituting 40–50% of total body mass, is vital for mobility, posture, and systemic homeostasis. Muscle contraction heavily relies on ATP, primarily generated by mitochondrial oxidative phosphorylation. Mitochondria play a key role in decoding intracellular calcium signals. The endocannabinoid system (ECS), including CB1 receptors (CB1Rs), broadly influences physiological processes and, in muscles, regulates functions like energy metabolism, development, and repair. While plasma membrane CB1Rs (pCB1Rs) are well-established, a distinct mitochondrial CB1R (mtCB1R) population also exists in muscles, influencing mitochondrial oxidative activity and quality control. We investigated the role of mtCB1Rs in skeletal muscle physiology using a novel systemic mitochondrial CB1 deletion murine model. Our in vivo studies showed no changes in motor function, coordination, or grip strength in mtCB1 knockout mice. However, in vitro force measurements revealed significantly reduced specific force in both fast-twitch (EDL) and slow-twitch (SOL) muscles following mtCB1R ablation. Interestingly, knockout EDL muscles exhibited hypertrophy, suggesting a compensatory response to reduced force quality. Electron microscopy revealed significant mitochondrial morphological abnormalities, including enlargement and irregular shapes, correlating with these functional deficits. High-resolution respirometry further demonstrated impaired mitochondrial respiration, with reduced oxidative phosphorylation and electron transport system capacities in knockout mitochondria. Crucially, mitochondrial membrane potential dissipated faster in mtCB1 knockout muscle fibers, whilst mitochondrial calcium levels were higher at rest. These findings collectively establish that mtCB1Rs are critical for maintaining mitochondrial health and function, directly impacting muscle energy production and contractile performance. Our results provide new insights into ECS-mediated regulation of skeletal muscle function and open therapeutic opportunities for muscle disorders and aging. Full article
(This article belongs to the Special Issue Skeletal Muscle: Structure, Physiology and Diseases)
Show Figures

Figure 1

21 pages, 1474 KB  
Article
Research on Cost-Sharing Contract Coordination Under Different Carbon Quota Allocation Mechanisms—Manufacturing Supply Chain Model Analysis
by Siqi Huang and Shilong Li
Systems 2025, 13(10), 841; https://doi.org/10.3390/systems13100841 - 25 Sep 2025
Abstract
Against the background of carbon neutrality, the impact of carbon quota allocation mechanism on supply chain’s decision-making of emission reduction has received increasing attention. This study analyzes the optimal decision-making behavior of manufacturing supply chains under three mechanisms: completely free, complete auction and [...] Read more.
Against the background of carbon neutrality, the impact of carbon quota allocation mechanism on supply chain’s decision-making of emission reduction has received increasing attention. This study analyzes the optimal decision-making behavior of manufacturing supply chains under three mechanisms: completely free, complete auction and hybrid. Meanwhile, the abatement cost-sharing contract is introduced and the backward induction method is applied to solve the optimal equilibrium solution under each mechanism. Combined with numerical simulation, this study further investigates the impacts of market demand and cost-sharing coefficient changes on the system profit. The result shows that the abatement cost-sharing contract can significantly improve the level of manufacturers’ abatement and the total profit of the supply chain. Among the mechanisms analyzed, the hybrid mechanism realizes the balance between efficiency and incentives and demonstrates stronger adaptability and policy flexibility. Full article
(This article belongs to the Section Supply Chain Management)
Show Figures

Figure 1

30 pages, 2114 KB  
Article
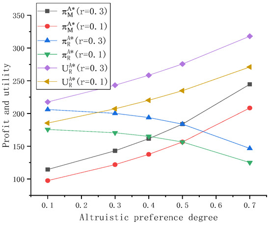
Stackelberg Game Analysis of Green Design and Coordination in a Retailer-Led Supply Chain with Altruistic Preferences
by Yanming Zheng, Renzhong Liu and Fakhar Shahzad
Mathematics 2025, 13(19), 3082; https://doi.org/10.3390/math13193082 - 25 Sep 2025
Abstract
Green design by manufacturers is essential for achieving supply chain sustainability, and large retailers may exhibit altruistic preferences to incentivize such efforts. Accordingly, this study develops three game-theoretic models of a two-echelon supply chain composed of a manufacturer and a dominant retailer, with [...] Read more.
Green design by manufacturers is essential for achieving supply chain sustainability, and large retailers may exhibit altruistic preferences to incentivize such efforts. Accordingly, this study develops three game-theoretic models of a two-echelon supply chain composed of a manufacturer and a dominant retailer, with and without altruistic preferences, to examine how altruism and green design affect firms’ optimal decisions and environmental impact. In addition, two coordination mechanisms—green design cost-sharing and two-part tariff contracts—are proposed under altruistic preferences. We find that the dominant retailer’s altruistic preference can motivate the manufacturer to improve the green design level and increase system profit. Although the dominant retailer has altruistic preference, they cannot always lower the total environmental impact of products, so it is helpful to motivate the manufacturer to reduce the environmental adverse impact by increasing investments in green design. Both the two contracts designed in this paper can achieve incentive compatibility and perfect coordination of supply chain. However, with the retailer’s altruistic preference enhancement, the feasible range of the two contracts will be reduced. Full article
Show Figures

Figure 1

19 pages, 494 KB  
Article
The Impact of Contract Functions on Contractors’ Performance Behaviors: A Mixed-Methods Approach
by Mingzhu Yang, Haitao Chen, Yongshun Xu and Jinjian Wu
Buildings 2025, 15(19), 3438; https://doi.org/10.3390/buildings15193438 - 23 Sep 2025
Viewed by 174
Abstract
Understanding how contract functions influence contractors’ performance behaviors is critical for improving project outcomes in the construction industry. Drawing on contractual governance theory, this study explores the differential impacts of three core contract functions—control, coordination, and adaptation—on contractor behaviors, distinguishing between perfunctory and [...] Read more.
Understanding how contract functions influence contractors’ performance behaviors is critical for improving project outcomes in the construction industry. Drawing on contractual governance theory, this study explores the differential impacts of three core contract functions—control, coordination, and adaptation—on contractor behaviors, distinguishing between perfunctory and consummate performance. A mixed-methods approach is employed, combining a survey of 345 contractors with semi-structured interviews. Quantitative results indicate that contract control increases perfunctory behavior and reduces consummate behavior, contract coordination stimulates both types of behaviors, while contract adaptation reduces perfunctory behavior and enhances consummate behavior. Qualitative findings further identify boundary conditions such as fairness, trust, and project uncertainty. From a theoretical perspective, the study refines contractual governance theory by clarifying the behavioral implications of multifunctional contracts. From a practical perspective, it offers guidance for contract design that balances compliance and collaboration to encourage proactive contractor engagement. Full article
(This article belongs to the Section Construction Management, and Computers & Digitization)
Show Figures

Figure 1

17 pages, 12542 KB  
Article
Carnosine and Acyl Carnitines as Metabolic Determinants of Muscle Phenotypic Differences Between Longissimus Dorsi and Triceps Brachii in Hanzhong Sheep
by Zhi Li, Miaohua Zheng, Weiwei Li, Jiayi Li, Ling Wang, Shanshan Wang, Hongzhao Lu and Tao Zhang
Foods 2025, 14(19), 3289; https://doi.org/10.3390/foods14193289 - 23 Sep 2025
Viewed by 166
Abstract
Muscle traits are critical determinants of meat quality and productivity in sheep, influenced by both breed and anatomical region. Hanzhong sheep, an indigenous Chinese breed, are prized for tender, low-odor meat; yet, the molecular mechanisms underlying these traits remain poorly understood. In this [...] Read more.
Muscle traits are critical determinants of meat quality and productivity in sheep, influenced by both breed and anatomical region. Hanzhong sheep, an indigenous Chinese breed, are prized for tender, low-odor meat; yet, the molecular mechanisms underlying these traits remain poorly understood. In this study, we integrated meat quality assessment with metabolomic and transcriptomic profiling of the longissimus dorsi (HZ-B) and triceps brachii (HZ-T) muscles to elucidate biochemical and molecular bases of regional differences. The results, derived from metabolomic profiling, demonstrated that the muscle tissue of Hanzhong sheep contained abundant proteins (95 kinds) and fatty acids (150 kinds). The greater tenderness of HZ-B compared to HZ-T was associated with higher levels of dipeptides such as carnosine (FC = 1.07) and anserine (FC = 1.04), as well as upregulated expression of oxidative fiber-related genes MYH2 (FC = 2.92) and TPM1 (FC = 2.15). In contrast, HZ-T showed enrichment of flavor-associated metabolites, including acylcarnitines and glutamate, alongside higher expression of FBXO32 (FC = 0.35) and MYBPC1 (FC = 0.47), linked to structural integrity and muscle contraction. Integrated analysis revealed strong associations between metabolite abundance (carnosine/anserine) and key genes (FBXO32/GADL1), suggesting coordinated regulation of meat quality traits. These findings provide mechanistic insights into the metabolic and transcriptomic determinants of muscle quality in Hanzhong sheep, offering a foundation for genetic improvement and conservation strategies. Full article
(This article belongs to the Section Meat)
Show Figures

Graphical abstract

17 pages, 801 KB  
Article
A Study on the Comprehensive Cost Risk Evaluation of Highway Construction Based on the AHP-Improved Entropy Weight Method
by Baojing Zhang, Yipeng Zheng and Jin Chen
Buildings 2025, 15(18), 3404; https://doi.org/10.3390/buildings15183404 - 19 Sep 2025
Viewed by 178
Abstract
To address the challenges of multiple cost-influencing factors, high risks, and difficult control in highway construction projects, this study conducts a cost risk assessment based on the full-process perspective of project owners. Considering the long duration and distinct phases of highway construction projects, [...] Read more.
To address the challenges of multiple cost-influencing factors, high risks, and difficult control in highway construction projects, this study conducts a cost risk assessment based on the full-process perspective of project owners. Considering the long duration and distinct phases of highway construction projects, the study employs a literature-based statistical method to identify the factors influencing cost risks and establishes an evaluation index system for cost risk factors throughout the entire construction process. Based on questionnaire surveys, the study applies the Analytic Hierarchy Process (AHP) to calculate the initial weights of the cost risk factors. Then, the improved entropy weight method is used to compute the correction coefficients for the initial weights and determine the final weight of each influencing factor. By integrating the results from AHP, the comprehensive weights of all factors are obtained, thereby identifying the key factors affecting cost risks throughout the entire highway construction process. Additionally, cost risk prevention and control measures are proposed. The research findings indicate that among the 42 evaluation factors, the ten factors with the greatest impact on project cost risks are project positioning changes, price inflation, unclear or erroneous contract terms, lack of supervision by design units, delayed compensation payments, collusion in bidding (including bid-rigging and cover bidding), lack of coordination among different departments leading to schedule risks, construction claims risks, risks associated with bidding methods, and financing risks. These ten key factors are analyzed in detail, and corresponding risk prevention and control measures are proposed. Full article
(This article belongs to the Section Construction Management, and Computers & Digitization)
Show Figures

Figure 1

16 pages, 958 KB  
Article
Access to Services Within the Entrusted Budgets in Primary Healthcare in Poland from 2022 to 2025
by Magdalena Mrożek-Gąsiorowska
Healthcare 2025, 13(18), 2358; https://doi.org/10.3390/healthcare13182358 - 19 Sep 2025
Viewed by 348
Abstract
Background: Entrusted budgets were introduced as part of the primary healthcare (PHC) system in Poland in July 2022. This initiative aimed to increase the role of PHC and enhance the accessibility of diagnostic services and specialist consultations/advice for patients. Methods: Data [...] Read more.
Background: Entrusted budgets were introduced as part of the primary healthcare (PHC) system in Poland in July 2022. This initiative aimed to increase the role of PHC and enhance the accessibility of diagnostic services and specialist consultations/advice for patients. Methods: Data from the National Health Fund (NHF) databases regarding contracts between the NHF and healthcare providers in the field of PHC from 2022 to 2025 were analyzed. The share of contracts with entrusted budgets in the total number of PHC physician contracts was estimated in individual voivodships, as well as in counties, using the example of the Małopolskie Voivodship. It was assessed whether there were significant differences between voivodships and counties as well as the pace of implementation of the new solution. Results: Only 43.1% of PHC physicians have signed contracts with the NHF for coordinated care services for 2025, with this percentage varying significantly between voivodships, ranging from 24.8% in Opolskie Voivodship to 66.3% in Lubelskie Voivodship (p < 0.0001). For the vast majority of voivodships, no statistically significant increase in the share of service providers was demonstrated in the period from 2022 to 2025. Access to services between counties is also highly varied (from 10.0% to 76.5%), although the differences were not statistically significant (p = 0.217). Conclusions: The results indicate regional and local inequalities in access to services. It is necessary to implement incentive mechanisms within the contracting of health services between the NHF and providers that will ensure equal access to PHC services within entrusted budgets for all patients. The range of available services should be equal regardless of at which PHC facility a patient is registered. The current regulations concerning entrusted budgets, including the voluntary involvement of service providers, are not sufficient. Full article
Show Figures

Figure 1

17 pages, 1749 KB  
Article
Secure Communication and Dynamic Formation Control of Intelligent Drone Swarms Using Blockchain Technology
by Huayu Li, Peiyan Li, Jing Liu and Peiying Zhang
Information 2025, 16(9), 768; https://doi.org/10.3390/info16090768 - 4 Sep 2025
Viewed by 426
Abstract
With the increasing deployment of unmanned aerial vehicle (UAV) swarms in scenarios such as disaster response, environmental monitoring, and military reconnaissance, the need for secure and scalable formation control has become critical. Traditional centralized architectures face challenges such as limited scalability, communication bottlenecks, [...] Read more.
With the increasing deployment of unmanned aerial vehicle (UAV) swarms in scenarios such as disaster response, environmental monitoring, and military reconnaissance, the need for secure and scalable formation control has become critical. Traditional centralized architectures face challenges such as limited scalability, communication bottlenecks, and single points of failure in large-scale swarm coordination. To address these issues, this paper proposes a blockchain-based decentralized formation control framework that integrates smart contracts to manage UAV registration, identity authentication, formation assignment, and positional coordination. The system follows a leader–follower structure, where the leader broadcasts formation tasks via on-chain events, while followers respond in real-time through event-driven mechanisms. A parameterized control model based on dynamic angle and distance adjustments is employed to support various formations, including V-shape, line, and circular configurations. The transformation from relative to geographic positions is achieved using Haversine and Euclidean methods. Experimental validation in a simulated environment demonstrates that the proposed method achieves lower communication latency and better responsiveness compared to polling-based schemes, while offering enhanced scalability and robustness. This work provides a feasible and secure decentralized control solution for future UAV swarm systems. Full article
Show Figures

Figure 1

15 pages, 905 KB  
Article
Open Versus Closed Kinetic Chain: Exercise Effects on Center of Pressure and Y-Balance in Middle-Aged Women with Knee Osteoarthritis—A Randomized Controlled Trial
by June Kang, Ja Yeon Lee and Il Bong Park
Healthcare 2025, 13(17), 2173; https://doi.org/10.3390/healthcare13172173 - 30 Aug 2025
Viewed by 944
Abstract
Objective: Head-to-head evidence comparing closed-kinetic-chain (CKC) and open-kinetic-chain (OKC) training on balance in middle-aged women with knee osteoarthritis (KOA) is limited. Purpose: To compare 10-week hip abduction/external rotation-focused CKC versus OKC on static and dynamic balance. Methods: Twenty-two women with KOA [...] Read more.
Objective: Head-to-head evidence comparing closed-kinetic-chain (CKC) and open-kinetic-chain (OKC) training on balance in middle-aged women with knee osteoarthritis (KOA) is limited. Purpose: To compare 10-week hip abduction/external rotation-focused CKC versus OKC on static and dynamic balance. Methods: Twenty-two women with KOA were randomized to CKC (n = 11) or OKC (n = 11) and trained twice weekly for 10 weeks. The primary outcome was the center of pressure (COP) during single-leg stance (AP/ML range, excursion, velocity, and RMS); the secondary outcome was the Y-Balance Test (YBT) composite score. Results: CKC produced significant within-group reductions across all COP variables and significant YBT increases for both affected and unaffected limbs (p < 0.05). OKC showed only small changes in select COP indices and no meaningful change in YBT. Post-intervention between-group comparisons consistently favored CKC for AP/ML and total COP excursion/velocity and for the YBT composite score (p < 0.05). Conclusions: Under weight-bearing conditions, a hip-focused CKC program that promotes multi-joint coordination and co-contraction yields broader and more consistent improvements in postural stability and dynamic balance than OKC in middle-aged women with KOA. These findings support prioritizing CKC when rehabilitation aims include gait and functional stability. Full article
Show Figures

Figure 1

39 pages, 5305 KB  
Article
Generative AI and Blockchain-Integrated Multi-Agent Framework for Resilient and Sustainable Fruit Cold-Chain Logistics
by Abhirup Khanna, Sapna Jain, Anushree Sah, Sarishma Dangi, Abhishek Sharma, Sew Sun Tiang, Chin Hong Wong and Wei Hong Lim
Foods 2025, 14(17), 3004; https://doi.org/10.3390/foods14173004 - 27 Aug 2025
Viewed by 729
Abstract
The cold-chain supply of perishable fruits continues to face challenges such as fuel wastage, fragmented stakeholder coordination, and limited real-time adaptability. Traditional solutions, based on static routing and centralized control, fall short in addressing the dynamic, distributed, and secure demands of modern food [...] Read more.
The cold-chain supply of perishable fruits continues to face challenges such as fuel wastage, fragmented stakeholder coordination, and limited real-time adaptability. Traditional solutions, based on static routing and centralized control, fall short in addressing the dynamic, distributed, and secure demands of modern food supply chains. This study presents a novel end-to-end architecture that integrates multi-agent reinforcement learning (MARL), blockchain technology, and generative artificial intelligence. The system features large language model (LLM)-mediated negotiation for inter-enterprise coordination, Pareto-based reward optimization balancing spoilage, energy consumption, delivery time, and climate and emission impact. Smart contracts and Non-Fungible Token (NFT)-based traceability are deployed over a private Ethereum blockchain to ensure compliance, trust, and decentralized governance. Modular agents—trained using centralized training with decentralized execution (CTDE)—handle routing, temperature regulation, spoilage prediction, inventory, and delivery scheduling. Generative AI simulates demand variability and disruption scenarios to strengthen resilient infrastructure. Experiments demonstrate up to 50% reduction in spoilage, 35% energy savings, and 25% lower emissions. The system also cuts travel time by 30% and improves delivery reliability and fruit quality. This work offers a scalable, intelligent, and sustainable supply chain framework, especially suitable for resource-constrained or intermittently connected environments, laying the foundation for future-ready food logistics systems. Full article
Show Figures

Figure 1

30 pages, 8330 KB  
Article
iBANDA: A Blockchain-Assisted Defense System for Authentication in Drone-Based Logistics
by Simeon Okechukwu Ajakwe, Ikechi Saviour Igboanusi, Jae-Min Lee and Dong-Seong Kim
Drones 2025, 9(8), 590; https://doi.org/10.3390/drones9080590 - 20 Aug 2025
Viewed by 838
Abstract
Background: The increasing deployment of unmanned aerial vehicles (UAVs) for logistics in smart cities presents pressing challenges related to identity spoofing, unauthorized payload transport, and airspace security. Existing drone defense systems (DDSs) struggle to verify both drone identity and payload authenticity in real [...] Read more.
Background: The increasing deployment of unmanned aerial vehicles (UAVs) for logistics in smart cities presents pressing challenges related to identity spoofing, unauthorized payload transport, and airspace security. Existing drone defense systems (DDSs) struggle to verify both drone identity and payload authenticity in real time, while blockchain-assisted solutions are often hindered by high latency and limited scalability. Methods: To address these challenges, we propose iBANDA, a blockchain- and AI-assisted DDS framework. The system integrates a lightweight You Only Look Once 5 small (YOLOv5s) object detection model with a Snowball-based Proof-of-Stake consensus mechanism to enable dual-layer authentication of drones and their attached payloads. Authentication processes are coordinated through an edge-deployable decentralized application (DApp). Results: The experimental evaluation demonstrates that iBANDA achieves a mean average precision of 99.5%, recall of 100%, and an F1-score of 99.8% at an inference time of 0.021 s, validating its suitability for edge devices. Blockchain integration achieved an average network latency of 97.7 ms and an end-to-end transaction latency of 1.6 s, outperforming Goerli, Sepolia, and Polygon Mumbai testnets in scalability and throughput. Adversarial testing further confirmed resilience to Sybil attacks and GPS spoofing, maintaining a false acceptance rate below 2.5% and continuity above 96%. Conclusions: iBANDA demonstrates that combining AI-based visual detection with blockchain consensus provides a secure, low-latency, and scalable authentication mechanism for UAV-based logistics. Future work will explore large-scale deployment in heterogeneous UAV networks and formal verification of smart contracts to strengthen resilience in safety-critical environments. Full article
Show Figures

Figure 1

31 pages, 4728 KB  
Review
A Review of Blockchained Product Quality Management Towards Smart Manufacturing
by Lihua Wu, Yuanwei Zhong, Xiaofeng Zhu, Xueliang Zhou and Jiewu Leng
Processes 2025, 13(8), 2622; https://doi.org/10.3390/pr13082622 - 19 Aug 2025
Viewed by 644
Abstract
Trustworthy product quality data forms the foundation of digital and distributed manufacturing, yet current centralized product quality management (PQM) systems remain vulnerable to data manipulation, traceability breaks, single points of failure, and related adverse effects. To clarify how blockchain can address these weaknesses, [...] Read more.
Trustworthy product quality data forms the foundation of digital and distributed manufacturing, yet current centralized product quality management (PQM) systems remain vulnerable to data manipulation, traceability breaks, single points of failure, and related adverse effects. To clarify how blockchain can address these weaknesses, this paper presents a systematic review of blockchained product quality management (BPQM). Firstly, the paper groups the architectures and models related to BPQM and proposes an ISA 95-aligned reference framework that secures a real-time quality data exchange. Secondly, seven key BPQM enablers are analyzed, including (1) visual intelligence-based quality inspection, (2) cyber–physical twinning and parallel control of manufacturing systems, (3) blockchained agent modeling and secure data sharing, (4) multi-level blockchain mapping, (5) smart contract-based decentralized system configuration and operation, (6) artificial intelligence-based decentralized BPQM applications, and (7) traceability of process coordination and control. Thirdly, through analysis of social barriers and technological challenges, four research directions are identified, namely, (1) optimal granularity of data in system configuration; (2) smart contracts for self-organizing intelligence; (3) balancing system security, cost, and performance; and (4) interoperability and integration with legacy systems. It is expected that this paper lays a solid foundation for the practical use of blockchain in PQM engineering. Full article
(This article belongs to the Section Manufacturing Processes and Systems)
Show Figures

Figure 1

Back to TopTop