Sign in to use this feature.

Years

Between: -

Subjects

remove_circle_outline
remove_circle_outline
remove_circle_outline
remove_circle_outline

Journals

Article Types

Countries / Regions

Search Results (3)

Search Parameters:
Keywords = colorimetric and ratiometric chemosensor

Order results
Result details
Results per page
Select all
Export citation of selected articles as:
19 pages, 3233 KB  
Article
A Galactose-Functionalized Pyrrolopyrrole Aza-BODIPY for Highly Efficient Detection of Eight Aliphatic and Aromatic Biogenic Amines: Monitoring Food Freshness and Bioimaging
by Yujing Gan, Bingli Lu, Jintian Zhong, Xueguagn Ran, Derong Cao and Lingyun Wang
Biosensors 2025, 15(8), 542; https://doi.org/10.3390/bios15080542 - 18 Aug 2025
Viewed by 786
Abstract
The detection of aliphatic and aromatic biogenic amines (BAs) is important in food spoilage, environmental monitoring, and disease diagnosis and treatment. Existing fluorescent probes predominantly detect aliphatic BAs with single signal variation and low sensitivity, impairing the adaptability of discriminative sensing platforms. Herein, [...] Read more.
The detection of aliphatic and aromatic biogenic amines (BAs) is important in food spoilage, environmental monitoring, and disease diagnosis and treatment. Existing fluorescent probes predominantly detect aliphatic BAs with single signal variation and low sensitivity, impairing the adaptability of discriminative sensing platforms. Herein, we present a visual chemosensor (galactose-functionalized pyrrolopyrrole aza-BODIPY, PPAB-Gal) that simultaneously detects eight aliphatic and aromatic BAs in a real-time and intuitive way based on their unique electronic and structural features. Our findings reveal that the dual colorimetric and ratiometric emission changes are rapidly produced in presence of eight BAs through a noncovalent interaction (π–π stacking and hydrogen bond)-assisted chromophore reaction. Specifically, other lone-pair electrons containing compounds, such as secondary amines, tertiary amines, NH3, and thiol, fail to exhibit these changes. As a result, superior sensing performances with distinctly dual signals (Δλab = 130 nm, Δλem = 150 nm), a low LOD (~25 nM), and fast response time (<2 min) were obtained. Based on these advantages, a qualitative and smartphone-assisted sensing platform with a PPAB-Gal-loaded TLC plate is developed for visual detection of putrescine and cadaverine vapor. More importantly, we construct a connection between a standard quantitative index for the TVBN value and fluorescence signals to quantitatively determine the freshness of tuna and shrimp, and the method is facile and convenient for real-time and on-site detection in practical application. Furthermore, since the overexpressed spermine is an important biomarker of cancer diagnosis and treatment, PPAB-Gal NPs can be used to ratiometrically image spermine in living cells. This work provides a promising sensing method for BAs with a novel fluorescent material in food safety fields and biomedical assays. Full article
Show Figures

Figure 1

12 pages, 3946 KB  
Article
A tert-Butyldiphenylsilyl-Containing Polyimide-Based Chemosensor for Sequential Detection of Fluoride Ions and Trace Water in Organic Solvents
by Yancheng Wu, Manyu Lian, Guotao Huang, Yangfan Zhang, Ningbo Yi, Liyong Tian, Feng Gan and Chunping Ma
Molecules 2023, 28(24), 7987; https://doi.org/10.3390/molecules28247987 - 7 Dec 2023
Cited by 5 | Viewed by 1776
Abstract
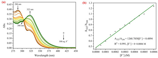
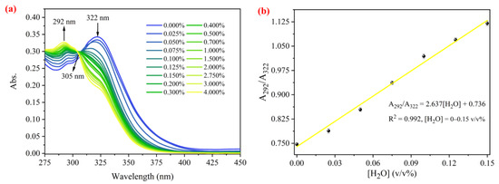
A tert-butyldiphenylsilyl-containing polyimide (PI-OSi) has been established as a colorimetric and ratiometric chemosensor for rapid detecting fluoride ions (F). The UV-vis absorbance ratio value (A322/A288) of PI-OSi in a DMF solution displays a wide [...] Read more.
A tert-butyldiphenylsilyl-containing polyimide (PI-OSi) has been established as a colorimetric and ratiometric chemosensor for rapid detecting fluoride ions (F). The UV-vis absorbance ratio value (A322/A288) of PI-OSi in a DMF solution displays a wide linear range change to F concentrations with a detection limit (DL) value of 2.13 μM. Additionally, adding incremental amounts of F to a DMF solution of PI-OSi shows an immediate color change to yellow and finally to green from colorless. More interestingly, the resulting PI-OSi plus F system (PI-OSi·F) could detect trace water in DMF. The A292/A322 value of PI-OSi·F almost linearly increases with low water content, which suggests convenient quantitative sensing of trace water content in DMF. The DL value of PI-OSi·F for sensing water in DMF is determined to be 0.00149% (v/v). The solution color of PI-OSi·F returns to colorless when the water content increases, indicating that PI-OSi·F can conveniently estimate water content in DMF by naked-eye detection. The detection mechanisms confirmed by an 1H NMR study and a DFT calculation involve a F-induced desilylation reaction of PI-OSi to form phenolate anion followed by protonation with trace water. Finally, PI-OSi film was fabricated for the colorimetric detection of F and water in CH3CN. Full article
(This article belongs to the Section Analytical Chemistry)
Show Figures

Graphical abstract

12 pages, 2843 KB  
Article
Energy Donor Effect on the Sensing Performance for a Series of FRET-Based Two-Photon Fluorescent Hg2+ Probes
by Yujin Zhang and Wei Hu
Materials 2017, 10(2), 108; https://doi.org/10.3390/ma10020108 - 25 Jan 2017
Cited by 6 | Viewed by 4332
Abstract
Nonlinear optical properties of a series of newly-synthesized molecular fluorescent probes for Hg2+ containing the same acceptor (rhodamine group) are analyzed by using time-dependent density functional theory in combination with analytical response theory. Special emphasis is placed on evolution of the probes’ [...] Read more.
Nonlinear optical properties of a series of newly-synthesized molecular fluorescent probes for Hg2+ containing the same acceptor (rhodamine group) are analyzed by using time-dependent density functional theory in combination with analytical response theory. Special emphasis is placed on evolution of the probes’ optical properties in the absence and presence of Hg2+. These compounds show drastic changes in their photoabsorption and photoemission properties when they react with Hg2+, indicating that they are excellent candidates for ratiometric and colorimetric fluorescent chemosensors. Most importantly, the energy donor moiety is found to play a dominant role in sensing performance of these probes. Two-photon absorption cross sections of the compounds are increased with the presence of Hg2+, which theoretically suggests the possibility of the probes to be two-photon fluorescent Hg2+ sensors. Moreover, analysis of molecular orbitals is presented to explore responsive mechanism of the probes, where the fluorescence resonant energy transfer process is theoretically demonstrated. Our results elucidate the available experimental measurements. This work provides guidance for designing efficient two-photon fluorescent probes that are geared towards biological and chemical applications. Full article
(This article belongs to the Special Issue Two-Photon Absorption Materials)
Show Figures

Figure 1

Back to TopTop