Sign in to use this feature.

Years

Between: -

Subjects

remove_circle_outline
remove_circle_outline
remove_circle_outline

Journals

Article Types

Countries / Regions

Search Results (2)

Search Parameters:
Keywords = carthamidin yield

Order results
Result details
Results per page
Select all
Export citation of selected articles as:
20 pages, 2355 KB  
Article
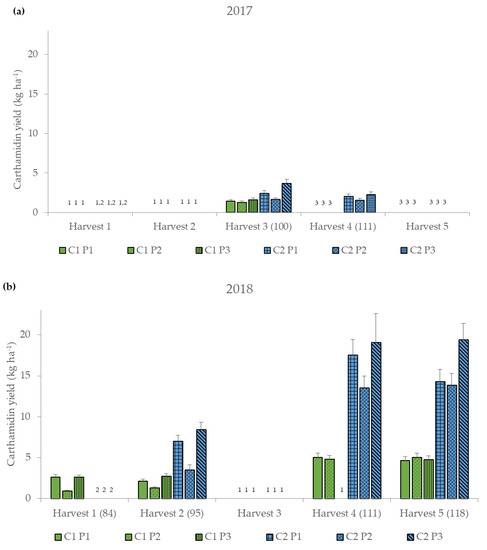
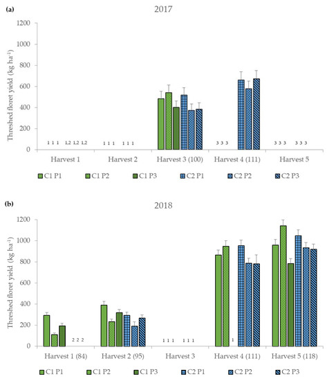
Impact of Cultivar, Harvest Date and Threshing Parameter Settings on Floret and Carthamidin Yield of Safflower
by Kathrin Steberl, Jens Hartung and Simone Graeff-Hönninger
Agronomy 2020, 10(9), 1272; https://doi.org/10.3390/agronomy10091272 - 27 Aug 2020
Cited by 6 | Viewed by 3609
Abstract
The industrial need for safflower (Carthamus tinctorius L.) increased over the last decade due to its potential use as food colorant. Safflower is mainly cultivated in Asia for its use as floret. In Germany, an economically attractive cultivation for floret use would [...] Read more.
The industrial need for safflower (Carthamus tinctorius L.) increased over the last decade due to its potential use as food colorant. Safflower is mainly cultivated in Asia for its use as floret. In Germany, an economically attractive cultivation for floret use would require a mechanization of harvest. In order to develop a mechanical harvesting system, field experiments were conducted at the experimental station Ihinger Hof of the University Hohenheim in 2017 and 2018. Safflower was harvested with a combine harvester to obtain the florets. Two safflower (i) cultivars were harvested with (ii) three threshing parameter settings on (iii) five harvest dates to evaluate threshed floret yield, dry matter and carthamidin content, and carthamidin yield. Results showed that the maximum threshed floret yield was achieved at the latest harvest date (784.78–1141.76 kg ha−1), while the highest carthamidin contents were observed depending on cultivar on the first two harvest dates (0.53–3.14%). The decisive and resulting amount of carthamidin yield reached its maximum with the Chinese cultivar and the threshing parameter setting P3 between the fourth and fifth harvest date in 2018 (19.05–19.36 kg ha−1). Highest dry matter contents were achieved at the last harvest date (62.67–77.77%). Individual capitula weight and carthamidin content decreased with later harvest dates. Further investigations should clarify whether the individual capitula weight and carthamidin content correlate with each other or are independent of the date of harvest. This could be a decisive criterion for the selection of cultivars for harvesting florets with a combine harvester. Reduced costs of machine harvesting compared to hand harvesting will make the cultivation of safflower for the food coloring industry in Germany more attractive in the future. Full article
Show Figures

Figure 1

18 pages, 1858 KB  
Article
Effect of Row Spacing, Sowing Density, and Harvest Time on Floret Yield and Yield Components of Two Safflower Cultivars Grown in Southwestern Germany
by Kathrin Steberl, Jens Hartung, Sebastian Munz and Simone Graeff-Hönninger
Agronomy 2020, 10(5), 664; https://doi.org/10.3390/agronomy10050664 - 8 May 2020
Cited by 20 | Viewed by 6061
Abstract
The current demand for safflower florets (Carthamus tinctorius L.) in the food-coloring industry, especially in Europe, is rising. The present production, mainly located in China, is not sufficient. Unlike for the production of seeds, there are currently no recommendations for the cultivation [...] Read more.
The current demand for safflower florets (Carthamus tinctorius L.) in the food-coloring industry, especially in Europe, is rising. The present production, mainly located in China, is not sufficient. Unlike for the production of seeds, there are currently no recommendations for the cultivation of safflower for floret production in Germany. Therefore, field experiments were conducted at the experimental station Ihinger Hof, Southwestern Germany, in 2017 and 2018. The aim was to evaluate yield and yield parameters, such as number of capitula, floret yield, and carthamidin content for (i) two cultivars grown with (ii) two row spacing (12 and 33 cm) using (iii) two sowing densities (40 and 75 plants m−2), and (iv) five harvest dates. Results showed that lower sowing densities resulted in a significantly larger number of branches and capitula per plant and higher yields of florets and carthamidin. Harvesting two to three weeks after flowering resulted in the significantly highest floret and carthamidin yields. More capitula per plant, higher carthamidin contents, and higher floret and carthamidin yields were obtained with the Chinese cultivar. In general, yields of flowering florets (2.30–468.96 kg ha−1), carthamidin contents (2.53–8.29%), and carthamidin yields (0.04–37.86 kg ha−1) were comparable to or higher than in other studies. In conclusion, this study showed that safflower has great potential for the production of florets in Southwest Germany, for the food-color industry. Full article
Show Figures

Figure 1

Back to TopTop