Sign in to use this feature.

Years

Between: -

Subjects

remove_circle_outline
remove_circle_outline
remove_circle_outline
remove_circle_outline
remove_circle_outline

Journals

Article Types

Countries / Regions

Search Results (2)

Search Parameters:
Keywords = carrier-aided insertion

Order results
Result details
Results per page
Select all
Export citation of selected articles as:
12 pages, 5553 KB  
Article
A Pilot Symbols Aided Adaptive Kalman Filter for Joint Carrier Phase and Polarization Tracking in Coherent Optical System
by Juntao Cao, Yanfu Yang, Qian Xiang, Qun Zhang, Linsheng Fan and Yong Yao
Appl. Sci. 2019, 9(1), 27; https://doi.org/10.3390/app9010027 - 21 Dec 2018
Cited by 3 | Viewed by 3308
Abstract
A joint compensation scheme based on pilot symbols aiding adaptive Kalman filter (AKF) for phase noise and polarization cross-talk is proposed and investigated via numerical simulation and experimental demonstration. In the proposed scheme, the optimizing parameter Q is adaptively adjusted according to signal [...] Read more.
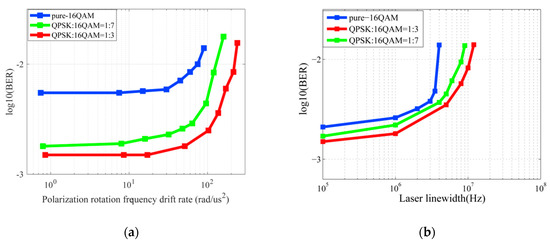
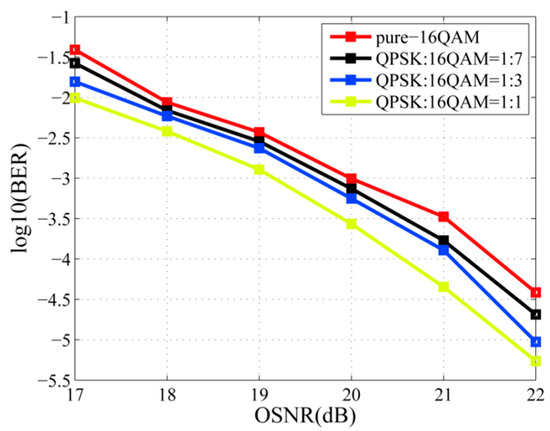
A joint compensation scheme based on pilot symbols aiding adaptive Kalman filter (AKF) for phase noise and polarization cross-talk is proposed and investigated via numerical simulation and experimental demonstration. In the proposed scheme, the optimizing parameter Q is adaptively adjusted according to signal parameters or channel conditions. This improvement avoids the drawback of conventional extended Kalman filter (EKF), and its performance is strongly dependent on Q. Another improvement is that the convergence speed of AKF is improved. Pilot quadrature phase shift keyin (QPSK) symbols are inserted into 16 quadrature amplitude modulation (QAM) signals periodically. Besides accelerating convergence speed, the employment of pilot symbols also improves the tracking capability of AKF. The format ratio between pilot symbols and payload symbols is suggested under different system environments, for instance, optical signal-to-noise rate, polarization rotation frequency drift rate, and laser linewidth. With the proposed scheme, it has excellent tolerance to initial parameter Q and dramatically improves the performances in convergence speed, polarization rotation frequency drift rate tracking, and carrier phase recovery. Both the numerical simulation and experimental demonstration achieve convergence improvement for around 40 times than the original AKF. Additionally, the improvements in tracking ability are also demonstrated. Full article
Show Figures

Figure 1

11 pages, 16027 KB  
Article
Study of the Carrier-Aided Thin Film Electrode Array Design for Cochlear Insertion
by Yuchen Xu, Chuan Luo, Fan-Gang Zeng, John C. Middlebrooks, Harrison W. Lin and Zheng You
Micromachines 2018, 9(5), 206; https://doi.org/10.3390/mi9050206 - 27 Apr 2018
Cited by 6 | Viewed by 4828
Abstract
The micro-fabricated thin film electrode array (TFEA) has been a promising design for cochlear implants (CIs) because of its cost-effectiveness and fabrication precision. The latest polymer-based cochlear TFEAs have faced difficulties for cochlear insertion due to the lack of structural stiffness. To stiffen [...] Read more.
The micro-fabricated thin film electrode array (TFEA) has been a promising design for cochlear implants (CIs) because of its cost-effectiveness and fabrication precision. The latest polymer-based cochlear TFEAs have faced difficulties for cochlear insertion due to the lack of structural stiffness. To stiffen the TFEA, dissolvable stiffening materials, TFEAs with different structures, and TFEAs with commercial CIs as carriers have been invested. In this work, the concept of enhancing a Parylene TFEA with Kapton tape as a simpler carrier for cochlear insertion has been proved to be feasible. The bending stiffness of the Kapton-aided TFEA was characterized with an analytical model, a finite element model, and a cantilever bending experiment, respectively. While the Kapton tape increased the bending stiffness of the Parylene TFEA by 103 times, the 6-μm-thick TFEA with a similar Young’s modulus, as a polyimide, in turn significantly increased the bending stiffness of the 170-μm-thick Kapton carrier by 60%. This result indicated that even the TFEA is ultra-flexible and that its bending stiffness should not be neglected in the design or selection of its carrier. Full article
(This article belongs to the Special Issue Polymer Based MEMS and Microfabrication)
Show Figures

Figure 1

Back to TopTop