Sign in to use this feature.

Years

Between: -

Subjects

remove_circle_outline
remove_circle_outline
remove_circle_outline

Journals

Article Types

Countries / Regions

Search Results (2)

Search Parameters:
Keywords = carboxilato ligand

Order results
Result details
Results per page
Select all
Export citation of selected articles as:
25 pages, 9010 KB  
Article
Fluorochrome Selection for Imaging Intraoperative Ovarian Cancer Probes
by Maria Grazia Perrone, Paola Vitale, Morena Miciaccia, Savina Ferorelli, Antonella Centonze, Roberta Solidoro, Cristina Munzone, Carmela Bonaccorso, Cosimo Gianluca Fortuna, Katrin Kleinmanns, Line Bjørge and Antonio Scilimati
Pharmaceuticals 2022, 15(6), 668; https://doi.org/10.3390/ph15060668 - 26 May 2022
Cited by 12 | Viewed by 3397
Abstract
The identification and removal of all gross and microscopic tumor to render the patient disease free represents a huge challenge in ovarian cancer treatment. The presence of residual disease is an independent negative prognostic factor. Herein, we describe the synthesis and the “in [...] Read more.
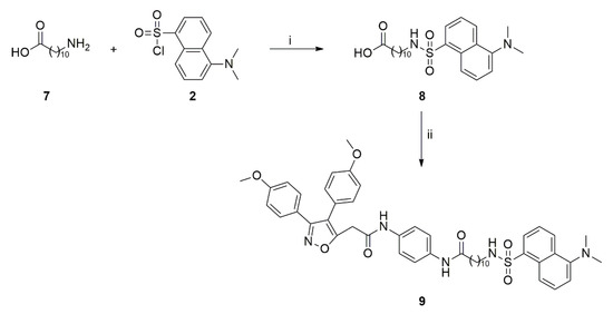
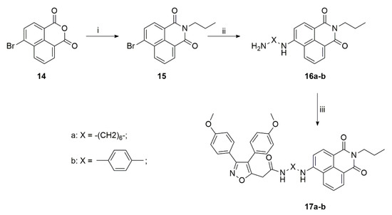
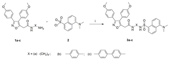
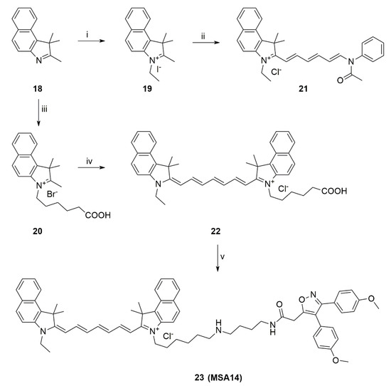
The identification and removal of all gross and microscopic tumor to render the patient disease free represents a huge challenge in ovarian cancer treatment. The presence of residual disease is an independent negative prognostic factor. Herein, we describe the synthesis and the “in vitro” evaluation of compounds as cyclooxygenase (COX)-1 inhibitors, the COX-1 isoform being an ovarian cancer biomarker, each bearing fluorochromes with different fluorescence features. Two of these compounds N-[4-(9-dimethylimino-9H-benzo[a]phenoxazin-5-ylamino) butyl]-2-(3,4-bis(4-methoxyphenyl)isoxazol-5-yl)acetamide chloride (RR11) and 3-(6-(4-(2-(3,4-bis(4-methoxyphenyl)isoxazole-5-yl)acetamido)butyl)amino-6-oxohexyl)-2-[7-(1,3-dihydro-1,1-dimethyl-3-ethyl 2H-benz[e]indolin-2-yl-idene)-1,3,5-heptatrienyl]-1,1-dimethyl-3-(6-carboxilato-hexyl)-1H-benz[e]indolium chloride, 23 (MSA14) were found to be potent and selective inhibitors of cyclooxygenase (COX)-1 “in vitro”, and thus were further investigated “in vivo”. The IC50 values were 0.032 and 0.087 µM for RR11 and 23 (MSA 14), respectively, whereas the COX-2 IC50 for RR11 is 2.4 µM while 23 (MSA14) did not inhibit COX-2 even at a 50 µM concentration. Together, this represented selectivity index = 75 and 874, respectively. Structure-based virtual screening (SBVS) performed with the Fingerprints for Ligands and Proteins (FLAP) software allowed both to differentiate highly active compounds from less active and inactive structures and to define their interactions inside the substrate-binding cavity of hCOX1. Fluorescent probes RR11 and 23 (MSA14), were used for preliminary near-infrared (NIR) fluorescent imaging (FLI) in human ovarian cancer (OVCAR-3 and SKOV-3) xenograft models. Surprisingly, a tumor-specific signal was observed for both tested fluorescent probes, even though this signal is not linked to the presence of COX-1. Full article
(This article belongs to the Section Medicinal Chemistry)
Show Figures

Figure 1

15 pages, 2784 KB  
Article
New Cobalt (II) Complexes with Imidazole Derivatives: Antimicrobial Efficiency against Planktonic and Adherent Microbes and In Vitro Cytotoxicity Features
by Alina Fudulu, Rodica Olar, Cătălin Maxim, Gina Vasile Scăeţeanu, Coralia Bleotu, Lilia Matei, Mariana Carmen Chifiriuc and Mihaela Badea
Molecules 2021, 26(1), 55; https://doi.org/10.3390/molecules26010055 - 24 Dec 2020
Cited by 24 | Viewed by 4985
Abstract
Three novel Co(II) complexes of the type [Co(C4H5O2)2L2] (where C4H5O2 is methacrylate anion; L = C3H4N2 (imidazole; HIm) (1), C4 [...] Read more.
Three novel Co(II) complexes of the type [Co(C4H5O2)2L2] (where C4H5O2 is methacrylate anion; L = C3H4N2 (imidazole; HIm) (1), C4H6N2 (2-methylimidazole; 2-MeIm) (2), C5H8N2 (2-ethylimidazole; 2-EtIm) (3)) have been synthesized and characterized by elemental analysis, IR and UV-Vis spectroscopic techniques, thermal analysis and single crystal X-ray diffraction. X-ray crystallography revealed for complexes (1) and (2) distorted trigonal bipyramid stereochemistry for Co(II), meanwhile for complex (3) evidenced that the unit cell comprises three molecular units with interesting structural features. In each unit, both stereochemistry adopted by metallic ion and coordination modes of carboxylate anions are different. The screening of antimicrobial activity revealed that Candida albicans planktonic cells were the most susceptible, with minimal inhibitory concentration (MIC) values of 7.8 μg/mL for complexes (1) and (2) and 15.6 μg/mL for complex (3). Complexes (1) and (2) proved to be more active than complex (3) against the tested bacterial strains, both in planktonic and biofilm growth state, with MIC and minimal biofilm eradication concentration (MBEC) values ranging from 15.6 to 62.5 μg/mL, the best antibacterial effects being noticed against Staphylococcus aureus and Pseudomonas aeruginosa. Remarkably, the MBEC values obtained for the four tested bacterial strains were either identical or even lower than the MIC ones. The cytotoxicity assay indicated that the tested complexes affected the cellular cycle of HeLa, HCT-8, and MG63 cells, probably by inhibiting the expression of vimentin and transient receptor potential canonical 1 (TRPC1). The obtained biological results recommend these complexes as potential candidates for the development of novel anti-biofilm agents. Full article
(This article belongs to the Special Issue New Trends in Developing Complexes as Biological Active Species)
Show Figures

Graphical abstract

Back to TopTop