Sign in to use this feature.

Years

Between: -

Subjects

remove_circle_outline

Journals

Article Types

Countries / Regions

Search Results (2)

Search Parameters:
Keywords = bubston clusters

Order results
Result details
Results per page
Select all
Export citation of selected articles as:
23 pages, 6112 KB  
Article
Stochastic Ultralow-Frequency Oscillations of the Luminescence Intensity from the Surface of a Polymer Membrane Swelling in Aqueous Salt Solutions
by Nikolai F. Bunkin, Polina N. Bolotskova, Elena V. Bondarchuk, Valery G. Gryaznov, Valeriy A. Kozlov, Maria A. Okuneva, Oleg V. Ovchinnikov, Oleg P. Smoliy, Igor F. Turkanov, Catherine A. Galkina, Alexandr S. Dmitriev and Alexandr F. Seliverstov
Polymers 2022, 14(4), 688; https://doi.org/10.3390/polym14040688 - 11 Feb 2022
Cited by 8 | Viewed by 4462
Abstract
Photoluminescence from the surface of a Nafion polymer membrane upon swelling in isotonic aqueous solutions and Milli-Q water has been studied. Liquid samples were preliminarily processed by electric pulses with a duration of 1 μs and an amplitude of 0.1 V using an [...] Read more.
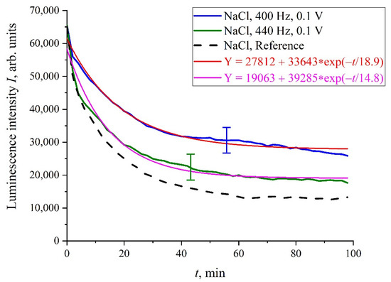
Photoluminescence from the surface of a Nafion polymer membrane upon swelling in isotonic aqueous solutions and Milli-Q water has been studied. Liquid samples were preliminarily processed by electric pulses with a duration of 1 μs and an amplitude of 0.1 V using an antenna in the form of a flat capacitor; experiments on photoluminescent spectroscopy were carried out 20 min after this treatment. A typical dependence of the luminescence intensity, I, on the swelling time, t, obeys an exponentially decaying function. The characteristic decay time of these functions and the stationary level of luminescence intensity depend on the repetition rate of electrical pulses, and the obtained dependences are well reproduced. It transpired that, at certain pulse repetition rates, the dependence, I(t), is a random function, and there is no reproducibility. Stochastic effects are associated with a random external force of an electromagnetic nature that acts on a polymer membrane during swelling. The source of this random force, in our opinion, is low-frequency pulsations of neutron stars or white dwarfs. Full article
(This article belongs to the Section Polymer Membranes and Films)
Show Figures

Graphical abstract

17 pages, 6333 KB  
Article
Long-Term Effect of Low-Frequency Electromagnetic Irradiation in Water and Isotonic Aqueous Solutions as Studied by Photoluminescence from Polymer Membrane
by Nikolai F. Bunkin, Polina N. Bolotskova, Elena V. Bondarchuk, Valery G. Gryaznov, Sergey V. Gudkov, Valeriy A. Kozlov, Maria A. Okuneva, Oleg V. Ovchinnikov, Oleg P. Smoliy and Igor F. Turkanov
Polymers 2021, 13(9), 1443; https://doi.org/10.3390/polym13091443 - 29 Apr 2021
Cited by 15 | Viewed by 9381
Abstract
The swelling of a polymer membrane NafionTM in deionized water and isotonic NaCl and Ringer’s solutions was studied by photoluminescent spectroscopy. According to our previous studies, the surface of this membrane could be considered as a model for a cellular surface. Liquid [...] Read more.
The swelling of a polymer membrane NafionTM in deionized water and isotonic NaCl and Ringer’s solutions was studied by photoluminescent spectroscopy. According to our previous studies, the surface of this membrane could be considered as a model for a cellular surface. Liquid samples, in which the membrane was soaked, were subjected to preliminary electromagnetic treatment, which consisted of irradiating these samples with electric rectangular pulses of 1 µs duration using platinum electrodes immersed in the liquid. We used a series of pulses with a repetition rate of 11–125 Hz; the pulse amplitudes were equal to 100 and 500 mV. It turned out that at certain pulse repetition rates and their amplitudes, the characteristic swelling time of the polymer membrane significantly differs from the swelling time in untreated (reference) samples. At the same time, there is no effect for certain frequencies/pulse amplitudes. The time interval between electromagnetic treatment and measurements was about 20 min. Thus, in our experiments the effects associated with the long-term relaxation of liquids on the electromagnetic processing are manifested. The effect of long-term relaxation could be associated with a slight change in the geometric characteristics of bubston clusters during electromagnetic treatment. Full article
(This article belongs to the Section Polymer Applications)
Show Figures

Figure 1

Back to TopTop