Sign in to use this feature.

Years

Between: -

Subjects

remove_circle_outline
remove_circle_outline
remove_circle_outline
remove_circle_outline
remove_circle_outline
remove_circle_outline
remove_circle_outline

Journals

Article Types

Countries / Regions

Search Results (3)

Search Parameters:
Keywords = bivariate threshold excess model

Order results
Result details
Results per page
Select all
Export citation of selected articles as:
25 pages, 4348 KB  
Article
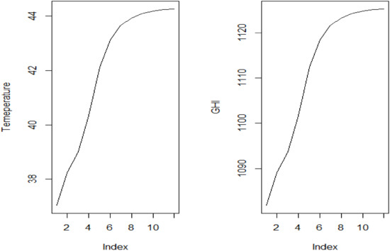
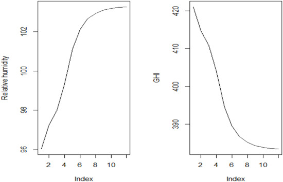
Extremal Dependence Modelling of Global Horizontal Irradiance with Temperature and Humidity: An Application Using South African Data
by Caston Sigauke, Thakhani Ravele and Lordwell Jhamba
Energies 2022, 15(16), 5965; https://doi.org/10.3390/en15165965 - 17 Aug 2022
Cited by 2 | Viewed by 1886
Abstract
The interaction between global horizontal irradiance (GHI) and temperature helps determine the maximum amount of solar power generated. As temperature increases, GHI increases up to the point that it increases at a decreasing rate and then decreases. Therefore, system operators need to know [...] Read more.
The interaction between global horizontal irradiance (GHI) and temperature helps determine the maximum amount of solar power generated. As temperature increases, GHI increases up to the point that it increases at a decreasing rate and then decreases. Therefore, system operators need to know the maximum possible solar power which can be generated. Using the multivariate adaptive regression splines, extreme value theory and copula models, the present paper seeks to determine the maximum temperature that will result in the generation of the maximum GHI ceteris paribus. The paper also discusses extremal dependence modelling of GHI with temperature and relative humidity (RH) at one radiometric station using South African data from 16 November 2015 to 16 November 2021. Empirical results show that the marginal increases of GHI converge to 0.12 W/m2 when temperature converges to 44.26 °C and the marginal increases of GHI converge to −0.1 W/m2 when RH converges to 103.26%. Conditioning on GHI, the study found that temperature and RH variables have a negative extremal dependence on large values of GHI. Due to the nonlinearity and different structure of the dependence on GHI against temperature and RH, unlike previous literature, we use three Archimedean copula functions: Clayton, Frank and Gumbel, to model the dependence structure. The modelling approach discussed in this paper could be useful to system operators in power utilities who must optimally integrate highly intermittent renewable energies on the grid. Full article
Show Figures

Figure 1

32 pages, 4271 KB  
Article
Asymptotic Dependence Modelling of the BRICS Stock Markets
by Caston Sigauke, Rosinah Mukhodobwane, Wilbert Chagwiza and Winston Garira
Int. J. Financial Stud. 2022, 10(3), 58; https://doi.org/10.3390/ijfs10030058 - 22 Jul 2022
Cited by 1 | Viewed by 2943
Abstract
With the use of empirical data, this paper focuses on solving financial and investment issues involving extremal dependence of 10 pairwise combinations of the 5 BRICS (Brazil, Russia, India, China, and South Africa) stock markets. Daily closing equity indices from 5 January 2010 [...] Read more.
With the use of empirical data, this paper focuses on solving financial and investment issues involving extremal dependence of 10 pairwise combinations of the 5 BRICS (Brazil, Russia, India, China, and South Africa) stock markets. Daily closing equity indices from 5 January 2010 to 6 August 2018 are used in the study. Unlike previous literature, we use bivariate point process and conditional multivariate extreme value models to investigate the extremal dependence of the stock market returns. However, it is observed that the point process was able to model many more extreme observations or exceedances that contribute to the likelihood estimation. It gives more information than the threshold excess method of the CMEV model. This study shows varying levels of low extremal dependence structure whose outcomes are highly beneficial to investors, portfolio managers and other market participants interested in maximising investment returns and financial gains. Full article
Show Figures

Figure 1

21 pages, 1243 KB  
Article
Influence of the Mediterranean Diet on 25-Hydroxyvitamin D Levels in Adults
by Luigi Barrea, Giovanna Muscogiuri, Daniela Laudisio, Gabriella Pugliese, Giulia de Alteriis, Annamaria Colao and Silvia Savastano
Nutrients 2020, 12(5), 1439; https://doi.org/10.3390/nu12051439 - 16 May 2020
Cited by 42 | Viewed by 6424
Abstract
The Mediterranean diet (MD) is a dietary pattern effective in terms of prevention of obesity-related diseases, and represents the gold standard in preventive medicine, due to the synergistic action of many nutrients with antioxidant and anti-inflammatory properties. In addition, excess body weight significantly [...] Read more.
The Mediterranean diet (MD) is a dietary pattern effective in terms of prevention of obesity-related diseases, and represents the gold standard in preventive medicine, due to the synergistic action of many nutrients with antioxidant and anti-inflammatory properties. In addition, excess body weight significantly increases the risk of hypovitaminosis D, a well-recognized common feature of individuals with obesity. It is well-known that there is a clear gender difference in the adherence to the MD. The aim of this study was to investigate the association between adherence to the MD and 25-hydroxyvitamin D (25OHD) levels in adults, according to gender. Study population consisted of 617 participants; 296 were males and 321 were females, matched by age and body mass index (BMI). A validated 14-item questionnaire PREDIMED (Prevención con dieta Mediterránea) was used for the assessment of adherence to the MD. The 25OHD levels were determined by a direct competitive chemiluminescence immunoassay. Females have a higher PREDIMED score than males (7.4 ± 2.8 vs. 6.7 ± 3.1 score, p = 0.001), and according to PREDIMED categories, a greater percentage of males had low adherence to the MD compared to their female counterparts (40.2% vs. 37.1%; χ2 = 8.94, p = 0.003). The 25OHD levels were higher in males than in females (18.3 ± 7.3 vs. 16.8 ± 7.8 ng/mL, p = 0.01), and a higher percentage of males had sufficient 25OHD levels (>30 ng/mL) than their female counterparts (10.5% vs. 3.4%, χ2 = 10.96, p < 0.001). Stratifying the sample population according to 25OHD categories, BMI decreased and PREDIMED score increased significantly along with the increased 25OHD levels, in both males and females, respectively (p < 0.001). Looking at the bivariate correlations, PREDIMED score was positively correlated with 25OHD levels after adjusting for age and BMI, in both males (r = 0.21, p < 0.001) and females (r = 0.30, p < 0.001). At the bivariate proportional odds ratio (OR) model, 25OHD levels presented the highest OR values in the category low adherence vs. high adherence to the MD, in both genders (OR 1.21 and OR 1.31, in males and females, respectively). Receiver operator characteristic (ROC) analysis was performed to determine the cut-off values of PREDIMED scores predictive of 25OHD levels: PREDIMED score >5 in males (p < 0.001) and >7 in females (p < 0.001) could serve as thresholds for 25OHD levels above the median. The results of our study highlighted a novel positive association between adherence to the MD and 25OHD levels in both genders. Although 25OHD levels were higher in males than females, 69.7% were deficient. To the best of our knowledge, this is the first study to show that high adherence to the MD is associated with low BMI and high 25OHD levels in both genders, probably through the anti-inflammatory and anti-oxidant effects that are synergistically exerted by either MD or vitamin D on body weight. Full article
(This article belongs to the Special Issue The Role of Vitamin D in Chronic Diseases)
Show Figures

Figure 1

Back to TopTop