Sign in to use this feature.

Years

Between: -

Subjects

remove_circle_outline
remove_circle_outline
remove_circle_outline
remove_circle_outline
remove_circle_outline
remove_circle_outline
remove_circle_outline
remove_circle_outline
remove_circle_outline

Journals

remove_circle_outline
remove_circle_outline
remove_circle_outline
remove_circle_outline
remove_circle_outline
remove_circle_outline
remove_circle_outline
remove_circle_outline
remove_circle_outline
remove_circle_outline
remove_circle_outline
remove_circle_outline
remove_circle_outline

Article Types

Countries / Regions

remove_circle_outline
remove_circle_outline
remove_circle_outline
remove_circle_outline
remove_circle_outline
remove_circle_outline

Search Results (2,071)

Search Parameters:
Keywords = auto-encoder model

Order results
Result details
Results per page
Select all
Export citation of selected articles as:
19 pages, 730 KB  
Article
A Two-Stage Method for Identifying Key Factors Affecting the Oscillation Hosting Capacity of Renewable Energy Systems Using Participation Factors and XGBoost
by Kanglong Yuan, Yan Li, Lei Chen, Wenyun Luo, Jiaming Li and Ke Wang
Electronics 2026, 15(3), 614; https://doi.org/10.3390/electronics15030614 - 30 Jan 2026
Abstract
With the increasing penetration of renewable energy in China’s power system, wide-band oscillations with multiple modes have emerged, posing new challenges to the assessment of renewable energy oscillation hosting capacity. At present, the construction of artificial intelligence-based assessment models still relies heavily on [...] Read more.
With the increasing penetration of renewable energy in China’s power system, wide-band oscillations with multiple modes have emerged, posing new challenges to the assessment of renewable energy oscillation hosting capacity. At present, the construction of artificial intelligence-based assessment models still relies heavily on researchers’ subjective experience when selecting input features, which lacks theoretical justification. Moreover, the expansion of system scale increases data dimensionality and introduces a higher risk of model overfitting. To address these issues, this paper proposes a two-stage key feature selection method based on participation factors and XGBoost. First, the participation factor theory is utilized to establish the functional mapping between system electrical quantities and oscillatory characteristics, enabling an initial identification of the electrical variables most relevant to renewable energy oscillation hosting capacity. Second, to mitigate the curse of dimensionality brought by large-scale systems, a variational autoencoder is employed to compress the initial feature set and extract its latent representations. Finally, XGBoost is applied to these latent representations to further identify the most critical features that accurately reflect the oscillation hosting capacity of renewable energy. Experimental results on a wide-band oscillation dataset show that active power achieves the highest importance score among all features; moreover, a model using only active-power data attains an accuracy of approximately 97%, demonstrating its effectiveness as the most strongly correlated and least redundant key feature subset. Full article
39 pages, 3530 KB  
Article
AI-Based Embedded Framework for Cyber-Attack Detection Through Signal Processing and Anomaly Analysis
by Sebastian-Alexandru Drǎguşin, Robert-Nicolae Boştinaru, Nicu Bizon and Gabriel-Vasile Iana
Appl. Sci. 2026, 16(3), 1416; https://doi.org/10.3390/app16031416 - 30 Jan 2026
Abstract
This paper proposes an applied framework for cyberattack and anomaly detection in resource-constrained embedded/IoT environments by combining signal-processing feature construction with supervised and unsupervised AI (Artificial Intelligence) models. The workflow covers dataset preparation and normalization, correlation-driven feature analysis, and compact representations via PCA [...] Read more.
This paper proposes an applied framework for cyberattack and anomaly detection in resource-constrained embedded/IoT environments by combining signal-processing feature construction with supervised and unsupervised AI (Artificial Intelligence) models. The workflow covers dataset preparation and normalization, correlation-driven feature analysis, and compact representations via PCA (Principal Component Analysis), followed by classification and anomaly scoring. In addition to the original UNSW-NB15 (University of New South Wales—Network-Based Dataset 2015) traffic features, Fourier-domain descriptors, wavelet-domain descriptors, and Kalman-based smoothing/innovation features are considered to improve robustness under variability and measurement noise. Detection performance is assessed using classical and ensemble learning methods (SVM (Support Vector Machines), RF (Random Forest), XGBoost (Extreme Gradient Boosting), LightGBM (Light Gradient Boosting Machine)), unsupervised baselines (K-Means and DBSCAN (Density-Based Spatial Clustering of Applications with Noise)), and DL (Deep-Learning) anomaly detectors based on Autoencoder reconstruction and GAN (Generative Adversarial Network)-based scoring. Experimental results on UNSW-NB15 indicate that ensemble-based models provide the strongest overall detection performance, while the signal-processing augmentation and PCA-based compactness support efficient deployment in embedded contexts. The findings confirm that integrating lightweight signal processing with AI-driven models enables effective and adaptable identification of malicious network traffic supporting deployment-oriented embedded cybersecurity and motivating future real-time validation on edge hardware. Full article
(This article belongs to the Section Electrical, Electronics and Communications Engineering)
Show Figures

Figure 1

23 pages, 2643 KB  
Article
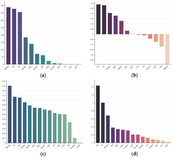
Data-Driven Soft Sensing for Raw Milk Ethanol Stability Prediction
by Song Shen, Xiaodong Song, Haohan Ding, Xiaohui Cui, Zhenqi Xie, Huadi Huang and Guanjun Dong
Sensors 2026, 26(3), 903; https://doi.org/10.3390/s26030903 - 30 Jan 2026
Abstract
Ethanol stability is an important indicator for evaluating the quality and heat-processing suitability of raw milk. Traditional ethanol stability testing relies on destructive laboratory procedures, which are not suitable for large-scale industrial use. In contrast, parameters such as protein, fat, lactose and other [...] Read more.
Ethanol stability is an important indicator for evaluating the quality and heat-processing suitability of raw milk. Traditional ethanol stability testing relies on destructive laboratory procedures, which are not suitable for large-scale industrial use. In contrast, parameters such as protein, fat, lactose and other basic compositional indicators are already measured routinely in dairy plants through sensor-based or spectroscopic systems. This provides the basis for developing a non-destructive soft sensing approach for ethanol stability. In this study, a soft sensing model was developed to predict ethanol stability from commonly monitored raw-milk intake indicators. An autoencoder was used to examine feature correlations and select variables with stronger relevance to ethanol stability. TabNet was then applied to build the classification model, and a TabDDPM-based data generation method was introduced to address class imbalance in the dataset. The proposed model was trained and tested using three years of industrial raw-milk intake data from a dairy company. It achieved an accuracy of 92.57% and a recall of 90.26% for identifying ethanol-unstable samples. These results demonstrate the model’s strong potential for practical engineering applications in real-world dairy quality monitoring. Full article
(This article belongs to the Special Issue Tomographic and Multi-Dimensional Sensors)
Show Figures

Figure 1

26 pages, 4166 KB  
Article
FP-MAE: A Self-Supervised Model for Floorplan Generation with Incomplete Inputs
by Jing Zhong, Ran Luo, Peilin Li, Tianrui Li, Pengyu Zeng, Zhifeng Lei, Tianjing Feng and Jun Yin
Buildings 2026, 16(3), 558; https://doi.org/10.3390/buildings16030558 - 29 Jan 2026
Abstract
Floor plans are a central representational component of architectural design, operating in close relation to sections, elevations, and three-dimensional reasoning to support the production and understanding of architectural space. In this context, we address the bounded computational task of completing incomplete floor plan [...] Read more.
Floor plans are a central representational component of architectural design, operating in close relation to sections, elevations, and three-dimensional reasoning to support the production and understanding of architectural space. In this context, we address the bounded computational task of completing incomplete floor plan representations as a form of early-stage design assistance, rather than treating the floor plan as an isolated architectural object. Within this workflow, being able to automatically complete a floor plan from an unfinished draft is highly valuable because it allows architects to generate preliminary schemes more quickly, streamline early discussions, and reduce the repetitive workload involved in revisions. To meet this need, we present FP-MAE, a self-supervised learning framework designed for floor plan completion. This study proposes three core contributions: (1) We developed FloorplanNet, a dedicated dataset that includes 8000 floorplans consisting of both schematic line drawings and color-coded plans, providing diverse yet consistent examples of residential layouts. (2) On top of this dataset, FP-MAE applies the Masked Autoencoder (MAE) strategy. By deliberately masking sections of a plan and using a lightweight Vision Transformer (ViT) to reconstruct the missing regions, the model learns to capture the global structural patterns of floor plans from limited local information. (3) We evaluated FP-MAE across multiple masking scenarios and compared its performance with state-of-the-art baselines. Beyond controlled experiments, we also tested the model on real sketches produced during the early stages of design projects, which demonstrated its robustness under practical conditions. The results show that FP-MAE can produce complete plans that are both accurate and functionally coherent, even when starting from highly incomplete inputs. FP-MAE is a practical and scalable solution for automated floor plan generation. It can be integrated into design software as a supportive tool to speed up concept development and option exploration, and it also points toward broader opportunities for applying AI in architectural automation. While the current framework operates on two-dimensional plan representations, future extensions may integrate multi-view information such as sections or three-dimensional models to better reflect the relational nature of architectural design representations. Full article
(This article belongs to the Special Issue Artificial Intelligence in Architecture and Interior Design)
Show Figures

Graphical abstract

18 pages, 5229 KB  
Article
HF-EdgeFormer: A Hybrid High-Order Focus and Transformer-Based Model for Oral Ulcer Segmentation
by Dragoș-Ciprian Cornoiu and Călin-Adrian Popa
Electronics 2026, 15(3), 595; https://doi.org/10.3390/electronics15030595 - 29 Jan 2026
Abstract
Precise medical segmentation of oral ulcers is mandatory and crucial for early diagnosis, but it remains a very challenging task due to rich backgrounds, overexposed or underexposed lesions, and the complex surrounding areas. Therefore, in order to address this challenge, this paper introduces [...] Read more.
Precise medical segmentation of oral ulcers is mandatory and crucial for early diagnosis, but it remains a very challenging task due to rich backgrounds, overexposed or underexposed lesions, and the complex surrounding areas. Therefore, in order to address this challenge, this paper introduces HF-EdgeFormer, a novel hybrid model for oral ulcer segmentation on the AutoOral dataset. This U-shaped transformer-like architecture is, based on publicly available models, the second documented solution for oral ulcer segmentation and it explicitly integrates high-order frequency interactions by using multi-dimensional edge cues. At the encoding stage, a HFConv (High-order Focus Convolution) module divides the feature channels into local streams and global streams, performing learnable filtering via FFT and depth-wise convolutions. After that, it fuses them through stacks of focal transformers and attention gates. In addition to the HFConv block, there are two edge-aware units: the EdgeAware Localization module (that uses eight-direction Sobel filters) and a new Precision EdgeEnhance module (channel-wise Sobel fusion), both used in order to reinforce the boundaries. Skip connections imply Multi-dilated Attention Gates, accompanied by a Spacial-Channel Attention Bridge to accentuate lesion-consistent activations. Moreover, the novel architecture employs an innovative lightweight vision transformer-based bottleneck. It consists of four SegFormerBlock modules localized at the network’s deepest point, so we can achieve global relational modeling exactly where the largest receptive field is present. The model is trained on the AutoOral dataset (introduced by the same team that developed the HF-Unet arhitecture), but due to the limited available images, it needed to be extended by using extensive geometric and photometric augmentations (like RandomAffine, flips, and rotations). This novel architecture achieves a test Dice score of almost 82% and a little over 85% sensitivity while maintaining high precision and specificity, highly valuable in medical segmentation. These results surpass prior HF-UNet baselines while maintaining the model light, with minimal inference memory gains. Full article
(This article belongs to the Special Issue Artificial Intelligence and Deep Learning Techniques for Healthcare)
Show Figures

Figure 1

48 pages, 2099 KB  
Review
Generative Models for Medical Image Creation and Translation: A Scoping Review
by Haowen Pang, Tiande Zhang, Yanan Wu, Shannan Chen, Wei Qian, Yudong Yao, Chuyang Ye, Patrice Monkam and Shouliang Qi
Sensors 2026, 26(3), 862; https://doi.org/10.3390/s26030862 - 28 Jan 2026
Viewed by 13
Abstract
Generative models play a pivotal role in the field of medical imaging. This paper provides an extensive and scholarly review of the application of generative models in medical image creation and translation. In the creation aspect, the goal is to generate new images [...] Read more.
Generative models play a pivotal role in the field of medical imaging. This paper provides an extensive and scholarly review of the application of generative models in medical image creation and translation. In the creation aspect, the goal is to generate new images based on potential conditional variables, while in translation, the aim is to map images from one or more modalities to another, preserving semantic and informational content. The review begins with a thorough exploration of a diverse spectrum of generative models, including Variational Autoencoders (VAEs), Generative Adversarial Networks (GANs), Diffusion Models (DMs), and their respective variants. The paper then delves into an insightful analysis of the merits and demerits inherent to each model type. Subsequently, a comprehensive examination of tasks related to medical image creation and translation is undertaken. For the creation aspect, papers are classified based on downstream tasks such as image classification, segmentation, and others. In the translation facet, papers are classified according to the target modality. A chord diagram depicting medical image translation across modalities, including Magnetic Resonance Imaging (MRI), Computed Tomography (CT), Cone Beam CT (CBCT), X-ray radiography, Positron Emission Tomography (PET), and ultrasound imaging, is presented to illustrate the direction and relative quantity of previous studies. Additionally, the chord diagram of MRI image translation across contrast mechanisms is also provided. The final section offers a forward-looking perspective, outlining prospective avenues and implementation guidelines for future research endeavors. Full article
18 pages, 1230 KB  
Article
Radiosensitivity Prediction of Tumor Patient Based on Deep Fusion of Pathological Images and Genomics
by Xuecheng Wu, Ruifen Cao, Zhiyong Tan, Pijing Wei, Yansen Su and Chunhou Zheng
Bioengineering 2026, 13(2), 142; https://doi.org/10.3390/bioengineering13020142 - 27 Jan 2026
Viewed by 74
Abstract
The radiosensitivity of cancer patients determines the efficacy of radiotherapy, and patients with low radiosensitivity cannot benefit from radiotherapy. Therefore, accurately predicting radiosensitivity before treatment is essential for personalized and precise radiotherapy. However, most existing studies rely solely on genomic and clinical features, [...] Read more.
The radiosensitivity of cancer patients determines the efficacy of radiotherapy, and patients with low radiosensitivity cannot benefit from radiotherapy. Therefore, accurately predicting radiosensitivity before treatment is essential for personalized and precise radiotherapy. However, most existing studies rely solely on genomic and clinical features, neglecting the tumor microenvironmental information embedded in histopathological images, which limits prediction accuracy. To address this issue, we propose Resfusion, a deep multimodal fusion framework that integrates patient-level gene expression profiles, clinical records, and histopathological images for tumor radiosensitivity prediction. Specifically, the pre-trained large-scale pathology model is used as an image encoder to extract global representations from whole-slide pathological image. Radiosensitivity-related genes are selected using an autoencoder combined with univariate Cox regression, while clinically relevant variables are manually curated. The three modalities are first concatenated and then refined through a self-attention-based module, which captures inter-feature dependencies within the fused representation and highlights complementary information across modalities. The model was evaluated using five-fold cross-validation on two common tumor datasets suitable for radiotherapy: the Breast Invasive Carcinoma (BRCA) dataset (282 patients in total, with each fold partitioned into 226 training samples and 56 validation samples) and the Head and Neck Squamous Cell Carcinoma (HNSC) dataset (200 patients in total, with each fold partitioned into 161 training samples and 39 validation samples). The average AUC values obtained from the five-fold cross-validation reached 76.83% and 79.49%, respectively. Experimental results demonstrate that the Resfusion model significantly outperforms unimodal methods and existing multimodal fusion methods, verifying its effectiveness in predicting the radiosensitivity of tumor patients. Full article
(This article belongs to the Section Biosignal Processing)
Show Figures

Figure 1

17 pages, 941 KB  
Article
AI-Enabled Autoencoder-Based Physical Layer Design for 6G Communication Systems
by Andreani Christopoulou, Dimitrios Kosmanos, Apostolos Xenakis and Costas Chaikalis
Electronics 2026, 15(3), 538; https://doi.org/10.3390/electronics15030538 - 26 Jan 2026
Viewed by 145
Abstract
Next-generation wireless communication 6G systems are expected to operate under diverse channel conditions and structures, requiring flexible and data-driven communication schemes. As traditional techniques face limitations in complex and dynamic environments, trained communication architectures have emerged as promising alternatives. In this paper, we [...] Read more.
Next-generation wireless communication 6G systems are expected to operate under diverse channel conditions and structures, requiring flexible and data-driven communication schemes. As traditional techniques face limitations in complex and dynamic environments, trained communication architectures have emerged as promising alternatives. In this paper, we present a thorough study on deep learning trained physical layer components, focusing on autoencoder-based transceivers and neural network modules that enhance the receiver’s intelligence. We further investigate two essential deep learning capabilities for modern receivers—modulation classification using neural architectures and generative data synthesis for channel estimation training. Moreover, the proposed models and simulation framework provide insight into how deep learning can be systematically integrated into the physical layer to improve adaptability, robustness, and efficiency. Full article
(This article belongs to the Special Issue Advances in AI for 6G Signal Processing)
26 pages, 8387 KB  
Article
Machine Learning as a Lens on NWP ICON Configurations Validation over Southern Italy in Winter 2022–2023—Part I: Empirical Orthogonal Functions
by Davide Cinquegrana and Edoardo Bucchignani
Atmosphere 2026, 17(2), 132; https://doi.org/10.3390/atmos17020132 - 26 Jan 2026
Viewed by 89
Abstract
Validation of ICON model configurations optimized over a limited domain is essential before accepting new semi-empirical parameters that influence the behavior of subgrid-scale schemes. Because such parameters can modify the dynamics of a numerical weather prediction (NWP) model in highly nonlinear ways, we [...] Read more.
Validation of ICON model configurations optimized over a limited domain is essential before accepting new semi-empirical parameters that influence the behavior of subgrid-scale schemes. Because such parameters can modify the dynamics of a numerical weather prediction (NWP) model in highly nonlinear ways, we analyze one season of forecasts (December 2022, January and February 2023) generated with the NWP ICON-LAM through the lens of machine learning–based diagnostics as a complement to traditional evaluation metrics. The goal is to extract physically interpretable information on the model behavior induced by the optimized parameters. This work represents the first part of a wider study exploring machine learning tools for model validation, focusing on two specific approaches: Empirical Orthogonal Functions (EOFs), which are widely used in meteorology and climate science, and autoencoders, which are increasingly adopted for their nonlinear feature extraction capability. In this first part, EOF analysis is used as the primary tool to decompose weather fields from observed reanalysis and forecast datasets. Hourly 2-m temperature forecasts for winter 2022–2023 from multiple regional ICON configurations are compared against downscaled ERA5 data and in situ observations from ground station. EOF analyses revealed that the optimized configurations demonstrate a high skill in predicting surface temperature. From the signal error decomposition, the fourth EOF mode is effective particularly during night-time hours, and contributes to enhancing the performance of ICON. Analyses based on autoencoders will be presented in a companion paper (Part II). Full article
(This article belongs to the Special Issue Highly Resolved Numerical Models in Regional Weather Forecasting)
Show Figures

Figure 1

31 pages, 2800 KB  
Article
Intelligent Fusion: A Resilient Anomaly Detection Framework for IoMT Health Devices
by Flavio Pastore, Raja Waseem Anwar, Nafaa Hadi Jabeur and Saqib Ali
Information 2026, 17(2), 117; https://doi.org/10.3390/info17020117 - 26 Jan 2026
Viewed by 137
Abstract
Modern healthcare systems increasingly depend on wearable Internet of Medical Things (IoMT) devices for the continuous monitoring of patients’ physiological parameters. It remains challenging to differentiate between genuine physiological anomalies, sensor faults, and malicious cyber interference. In this work, we propose a hybrid [...] Read more.
Modern healthcare systems increasingly depend on wearable Internet of Medical Things (IoMT) devices for the continuous monitoring of patients’ physiological parameters. It remains challenging to differentiate between genuine physiological anomalies, sensor faults, and malicious cyber interference. In this work, we propose a hybrid fusion framework designed to attribute the most plausible source of an anomaly, thereby supporting more reliable clinical decisions. The proposed framework is developed and evaluated using two complementary datasets: CICIoMT2024 for modelling security threats and a large-scale intensive care cohort from MIMIC-IV for analysing key vital signs and bedside interventions. The core of the system combines a supervised XGBoost classifier for attack detection with an unsupervised LSTM autoencoder for identifying physiological and technical deviations. To improve clinical realism and avoid artefacts introduced by quantised or placeholder measurements, the physiological module incorporates quality-aware preprocessing and missingness indicators. The fusion decision policy is calibrated under prudent, safety-oriented constraints to limit false escalation. Rather than relying on fixed fusion weights, we train a lightweight fusion classifier that combines complementary evidence from the security and clinical modules, and we select class-specific probability thresholds on a dedicated calibration split. The security module achieves high cross-validated performance, while the clinical model captures abnormal physiological patterns at scale, including deviations consistent with both acute deterioration and data-quality faults. Explainability is provided through SHAP analysis for the security module and reconstruction-error attribution for physiological anomalies. The integrated fusion framework achieves a final accuracy of 99.76% under prudent calibration and a Matthews Correlation Coefficient (MCC) of 0.995, with an average end-to-end inference latency of 84.69 ms (p95 upper bound of 107.30 ms), supporting near real-time execution in edge-oriented settings. While performance is strong, clinical severity labels are operationalised through rule-based proxies, and cross-domain fusion relies on harmonised alignment assumptions. These aspects should be further evaluated using realistic fault traces and prospective IoMT data. Despite these limitations, the proposed framework offers a practical and explainable approach for IoMT-based patient monitoring. Full article
(This article belongs to the Special Issue Intrusion Detection Systems in IoT Networks)
Show Figures

Graphical abstract

31 pages, 4489 KB  
Article
A Hybrid Intrusion Detection Framework Using Deep Autoencoder and Machine Learning Models
by Salam Allawi Hussein and Sándor R. Répás
AI 2026, 7(2), 39; https://doi.org/10.3390/ai7020039 - 25 Jan 2026
Viewed by 236
Abstract
This study provides a detailed comparative analysis of a three-hybrid intrusion detection method aimed at strengthening network security through precise and adaptive threat identification. The proposed framework integrates an Autoencoder-Gaussian Mixture Model (AE-GMM) with two supervised learning techniques, XGBoost and Logistic Regression, combining [...] Read more.
This study provides a detailed comparative analysis of a three-hybrid intrusion detection method aimed at strengthening network security through precise and adaptive threat identification. The proposed framework integrates an Autoencoder-Gaussian Mixture Model (AE-GMM) with two supervised learning techniques, XGBoost and Logistic Regression, combining deep feature extraction with interpretability and stable generalization. Although the downstream classifiers are trained in a supervised manner, the hybrid intrusion detection nature of the framework is preserved through unsupervised representation learning and probabilistic modeling in the AE-GMM stage. Two benchmark datasets were used for evaluation: NSL-KDD, representing traditional network behavior, and UNSW-NB15, reflecting modern and diverse traffic patterns. A consistent preprocessing pipeline was applied, including normalization, feature selection, and dimensionality reduction, to ensure fair comparison and efficient training. The experimental findings show that hybridizing deep learning with gradient-boosted and linear classifiers markedly enhances detection performance and resilience. The AE–GMM-XGBoost model achieved superior outcomes, reaching an F1-score above 0.94 ± 0.0021 and an AUC greater than 0.97 on both datasets, demonstrating high accuracy in distinguishing legitimate and malicious traffic. AE-GMM-Logistic Regression also achieved strong and balanced performance, recording an F1-score exceeding 0.91 ± 0.0020 with stable generalization across test conditions. Conversely, the standalone AE-GMM effectively captured deep latent patterns but exhibited lower recall, indicating limited sensitivity to subtle or emerging attacks. These results collectively confirm that integrating autoencoder-based representation learning with advanced supervised models significantly improves intrusion detection in complex network settings. The proposed framework therefore provides a solid and extensible basis for future research in explainable and federated intrusion detection, supporting the development of adaptive and proactive cybersecurity defenses. Full article
Show Figures

Figure 1

23 pages, 3554 KB  
Article
Hybrid Mechanism–Data-Driven Modeling for Crystal Quality Prediction in Czochralski Process
by Duqiao Zhao, Junchao Ren, Xiaoyan Du, Yixin Wang and Dong Ding
Crystals 2026, 16(2), 86; https://doi.org/10.3390/cryst16020086 - 25 Jan 2026
Viewed by 131
Abstract
The V/G criterion is a critical indicator for monitoring dynamic changes during Czochralski silicon single crystal (Cz-SSC) growth. However, the inability to measure it in real time forces reliance on offline feedback for process regulation, leading to imprecise control and compromised crystal quality. [...] Read more.
The V/G criterion is a critical indicator for monitoring dynamic changes during Czochralski silicon single crystal (Cz-SSC) growth. However, the inability to measure it in real time forces reliance on offline feedback for process regulation, leading to imprecise control and compromised crystal quality. To overcome this limitation, this paper proposes a novel soft sensor modeling framework that integrates both mechanism-based knowledge and data-driven learning for the real-time prediction of the crystal quality parameter, specifically the V/G value (the ratio of growth rate to axial temperature gradient). The proposed approach constructs a hybrid prediction model by combining a data-driven sub-model with a physics-informed mechanism sub-model. The data-driven component is developed using an attention-based dynamic stacked enhanced autoencoder (AD-SEAE) network, where the SEAE structure introduces layer-wise reconstruction operations to mitigate information loss during hierarchical feature extraction. Furthermore, an attention mechanism is incorporated to dynamically weigh historical and current samples, thereby enhancing the temporal representation of process dynamics. In addition, a robust ensemble approach is achieved by fusing the outputs of two subsidiary models using an adaptive weighting strategy based on prediction accuracy, thereby enabling more reliable V/G predictions under varying operational conditions. Experimental validation using actual industrial Cz-SSC production data demonstrates that the proposed method achieves high-prediction accuracy and effectively supports real-time process optimization and quality monitoring. Full article
(This article belongs to the Section Industrial Crystallization)
Show Figures

Figure 1

17 pages, 566 KB  
Article
AE-CTGAN: Autoencoder–Conditional Tabular GAN for Multi-Omics Imbalanced Class Handling and Cancer Outcome Prediction
by Ibrahim Al-Hurani, Sara H. ElFar, Abedalrhman Alkhateeb and Salama Ikki
Algorithms 2026, 19(2), 95; https://doi.org/10.3390/a19020095 - 25 Jan 2026
Viewed by 77
Abstract
The rapid advancement of sequencing technologies has led to the generation of complex multi-omics data, which are often high-dimensional, noisy, and imbalanced, posing significant challenges for traditional machine learning methods. The novelty of this work resides in the architecture-level integration of autoencoders with [...] Read more.
The rapid advancement of sequencing technologies has led to the generation of complex multi-omics data, which are often high-dimensional, noisy, and imbalanced, posing significant challenges for traditional machine learning methods. The novelty of this work resides in the architecture-level integration of autoencoders with Generative Adversarial Network (GAN) and Conditional Tabular Generative Adversarial Network (CTGAN) models, where the autoencoder is employed for latent feature extraction and noise reduction, while GAN-based models are used for realistic sample generation and class imbalance mitigation in multi-omics cancer datasets. This study proposes a novel framework that combines an autoencoder for dimensionality reduction and a CTGAN for generating synthetic samples to balance underrepresented classes. The process starts with selecting the most discriminative features, then extracting latent representations for each omic type, merging them, and generating new minority samples. Finally, all samples are used to train a neural network to predict specific cancer outcomes, defined here as clinically relevant biomarkers or patient characteristics. In this work, the considered outcome in the bladder cancer is Tumor Mutational Burden (TMB), while the breast cancer outcome is menopausal status, a key factor in treatment planning. Experimental results show that the proposed model achieves high precision, with an average precision of 0.9929 for TMB prediction in bladder cancer and 0.9748 for menopausal status in breast cancer, and reaches perfect precision (1.000) for the positive class in both cases. In addition, the proposed AE–CTGAN framework consistently outperformed an autoencoder combined with a standard GAN across all evaluation metrics, achieving average accuracies of 0.9929 and 0.9748, recall values of 0.9846 and 0.9777, and F1-scores of 0.9922 for bladder and breast cancer datasets, respectively. A comparative fidelity analysis in the latent space further demonstrated the superiority of CTGAN, reducing the average Euclidean distance between real and synthetic samples by approximately 72% for bladder cancer and by up to 84% for breast cancer compared to a standard GAN. These findings confirm that CTGAN generates high-fidelity synthetic samples that preserve the structural characteristics of real multi-omics data, leading to more reliable class balancing and improved predictive performance. Overall, the proposed framework provides an effective and robust solution for handling class imbalance in multi-omics cancer data and enhances the accuracy of clinically relevant outcome prediction. Full article
Show Figures

Figure 1

21 pages, 1661 KB  
Article
Effects of Window and Batch Size on Autoencoder-LSTM Models for Remaining Useful Life Prediction
by Eugene Jeon, Donghwan Jin and Yeonhee Kim
Machines 2026, 14(2), 135; https://doi.org/10.3390/machines14020135 - 23 Jan 2026
Viewed by 147
Abstract
Remaining useful life (RUL) prediction is central to predictive maintenance, but acquiring sufficient run-to-failure data remains challenging. To better exploit limited labeled data, this study investigates a pipeline combining an unsupervised autoencoder (AE) and supervised LSTM regression on the NASA C-MAPSS dataset. Building [...] Read more.
Remaining useful life (RUL) prediction is central to predictive maintenance, but acquiring sufficient run-to-failure data remains challenging. To better exploit limited labeled data, this study investigates a pipeline combining an unsupervised autoencoder (AE) and supervised LSTM regression on the NASA C-MAPSS dataset. Building on an AE-LSTM baseline, we analyze how window size and batch size affect accuracy and training efficiency. Using the FD001 and FD004 subsets with training-capped RUL labels, we perform multi-seed experiments over a wide grid of window lengths and batch sizes. The AE is pre-trained on normalized sensor streams and reused as a feature extractor, while the LSTM head is trained with early stopping. Performance was assessed using RMSE, C-MAPSS score, and training time, reporting 95% confidence intervals. Results show that fine-tuning the encoder with a batch size of 128 yielded the best mean RMSE of 13.99 (FD001) and 28.67 (FD004). We obtained stable optimal window ranges (40–70 for FD001; 60–80 for FD004) and found that batch sizes of 64–256 offer the best accuracy–efficiency trade-off. These optimal ranges were further validated using Particle Swarm Optimization (PSO). These findings offer practical recommendations for tuning AE-LSTM-based RUL prediction models and demonstrate that performance remains stable within specific hyperparameter ranges. Full article
Show Figures

Figure 1

18 pages, 5648 KB  
Article
Sidewalk Hazard Detection Using a Variational Autoencoder and One-Class SVM
by Edgar R. Guzman and Robert D. Howe
Sensors 2026, 26(3), 769; https://doi.org/10.3390/s26030769 - 23 Jan 2026
Viewed by 165
Abstract
The unpredictable nature of outdoor settings introduces numerous safety concerns, making hazard detection crucial for safe navigation. To address this issue, this paper proposes a sidewalk hazard detection system that combines a Variational Autoencoder (VAE) with a One-Class Support Vector Machine (OCSVM), using [...] Read more.
The unpredictable nature of outdoor settings introduces numerous safety concerns, making hazard detection crucial for safe navigation. To address this issue, this paper proposes a sidewalk hazard detection system that combines a Variational Autoencoder (VAE) with a One-Class Support Vector Machine (OCSVM), using a wearable RGB camera as the primary sensing modality to enable low-cost, portable deployment and provide visual detail for detecting surface irregularities and unexpected objects. The VAE is trained exclusively on clean, obstruction-free sidewalk data to learn normal appearance patterns. At inference time, the reconstruction error produced by the VAE is used to identify spatial anomalies within each frame. These flagged anomalies are passed to an OCSVM, which determines whether they constitute a non-hazardous anomaly or a true hazardous anomaly that may impede navigation. To support this approach, we introduce a custom dataset consisting of over 20,000 training images of normal sidewalk scenes and 8000 testing frames containing both hazardous and non-hazardous anomalies. Experimental results demonstrate that the proposed VAE + OCSVM model achieves an AUC of 0.92 and an F1 score of 0.85, outperforming baseline anomaly detection models for outdoor sidewalk navigation. These findings indicate that the hybrid method offers a robust solution for sidewalk hazard detection in real-world outdoor environments. Full article
Show Figures

Figure 1

Back to TopTop