Sign in to use this feature.

Years

Between: -

Subjects

remove_circle_outline
remove_circle_outline

Journals

Article Types

Countries / Regions

Search Results (3)

Search Parameters:
Keywords = aryloxymethyl

Order results
Result details
Results per page
Select all
Export citation of selected articles as:
18 pages, 3519 KB  
Article
Synthesis of Alkyl/Aryloxymethyl Derivatives of 1,2,4-Triazole-3-Carboxamides and Their Biological Activities
by Ekaterina A. Mikhina, Daria V. Stepanycheva, Varvara P. Maksimova, Olga N. Sineva, Natalia N. Markelova, Lyubov E. Grebenkina, Ekaterina A. Lesovaya, Marianna G. Yakubovskaya, Andrey V. Matveev and Ekaterina M. Zhidkova
Molecules 2024, 29(20), 4808; https://doi.org/10.3390/molecules29204808 - 11 Oct 2024
Cited by 5 | Viewed by 2468
Abstract
Ribavirin and its analogues exhibit an in vitro antiproliferative effect in cancer cells. In this work, we studied the biological activities of a number of alkyl/aryloxymethyl derivatives of ribavirin’s aglycon—1,2,4-triazole-3-carboxamide. Alkyl/arylxymethyl derivatives of 1,2,4-triazole-3-carboxamide with substitutions at the fifth or first position of [...] Read more.
Ribavirin and its analogues exhibit an in vitro antiproliferative effect in cancer cells. In this work, we studied the biological activities of a number of alkyl/aryloxymethyl derivatives of ribavirin’s aglycon—1,2,4-triazole-3-carboxamide. Alkyl/arylxymethyl derivatives of 1,2,4-triazole-3-carboxamide with substitutions at the fifth or first position of the triazole ring, were synthesized and their antiproliferative and antimicrobial effects were assessed. For both series, the presence of an antiproliferative effect was investigated, and 1-alkyl/aryloxymethyl derivatives were shown an antimicrobial potential against a Gram-positive bacteria Micrococcus luteus and Gram-negative bacterium Pseudomonas aeruginosa. The obtained results showed that the n-decyloxymethyl derivatives induced leukemia cell death at low micromolar concentrations. We confirmed that n-decyloxymethyl derivatives of ribavirin inhibited the cell cycle progression and induced an accumulation of leukemia cells in the subG1-phase. The molecular docking results suggest that alkyl/aryloxymethyl derivatives may act by inhibiting translation initiation, due to interference with eIF4E assembly. The outcome results revealed that active derivatives (1- or 5-n-decyloxymethyl-1,2,4-triazole-3-carboxamides) can be considered as a lead compound for anticancer treatments. Full article
Show Figures

Figure 1

16 pages, 1394 KB  
Article
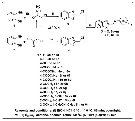
Synthesis, Antifungal Activities and Molecular Docking Studies of Benzoxazole and Benzothiazole Derivatives
by Bo Luo, Ding Li, An-Ling Zhang and Jin-Ming Gao
Molecules 2018, 23(10), 2457; https://doi.org/10.3390/molecules23102457 - 25 Sep 2018
Cited by 71 | Viewed by 7286
Abstract
Based on benzoxazole and benzothiazole scaffold as an important pharmacophore, two series of 2-(aryloxymethyl) benzoxazole and benzothiazole derivatives were synthesized and their antifungal effects against eight phytopathogenic fungi were evaluated. Compounds 5a, 5b, 5h, and 5i exhibited significant antifungal activities [...] Read more.
Based on benzoxazole and benzothiazole scaffold as an important pharmacophore, two series of 2-(aryloxymethyl) benzoxazole and benzothiazole derivatives were synthesized and their antifungal effects against eight phytopathogenic fungi were evaluated. Compounds 5a, 5b, 5h, and 5i exhibited significant antifungal activities against most of the pathogens tested. Especially 5a, 5b, 5h, 5i, 5j, and 6h inhibited the growth of F. solani with IC50 of 4.34–17.61 μg/mL, which were stronger than that of the positive control, hymexazol (IC50 of 38.92 μg/mL). 5h was the most potent inhibitor (IC50 of 4.34 μg/mL) against F. Solani, which was about nine times more potent than hymexazol. Most of the test compounds displayed significant antifungal effects against B. cinerea (IC50 of 19.92–77.41 μg/mL), among them, 5a was the best one (IC50 of 19.92 μg/mL). The structure-activity relationships (SARs) were compared and analyzed. The result indicates that the electron-drawing ability and position of the substituents have a significant impact on biological activities. Furthermore, docking studies were carried out on the lipid transfer protein sec14p from S. cerevisiae, and preliminarily verified the antifungal activities. Taken together, these results provide 2-(phenoxymethyl)benzo[d]oxazole as an encouraging framework that could lead to the development of potent novel antifungal agents. Full article
Show Figures

Graphical abstract

17 pages, 2820 KB  
Article
Synthesis and Antibacterial Evaluation of New Sulfone Derivatives Containing 2-Aroxymethyl-1,3,4-Oxadiazole/Thiadiazole Moiety
by Shihu Su, Xia Zhou, Guoping Liao, Puying Qi and Linhong Jin
Molecules 2017, 22(1), 64; https://doi.org/10.3390/molecules22010064 - 31 Dec 2016
Cited by 32 | Viewed by 7372
Abstract
Sulfones are one of the most important classes of agricultural fungicides. To discover new lead compounds with high antibacterial activity, a series of new sulfone derivatives were designed and synthesized by introducing the aroxymethyl moiety into the scaffold of 1,3,4-oxadiazole/thiadiazole sulfones. Antibacterial activities [...] Read more.
Sulfones are one of the most important classes of agricultural fungicides. To discover new lead compounds with high antibacterial activity, a series of new sulfone derivatives were designed and synthesized by introducing the aroxymethyl moiety into the scaffold of 1,3,4-oxadiazole/thiadiazole sulfones. Antibacterial activities against three phytopathogens (Xanthomonas oryzae pv. oryzae, Ralstonia solanacearum, Xanthomonas axonopodis pv. citri.) were assayed in vitro. As compared to the control of commercial fungicides and some reported sulfone fungicides, seven compounds 5I-15I-7 exerted remarkably higher activities with EC50 values ranging from 0.45–1.86 μg/mL against X. oryzae and 1.97–20.15 μg/mL against R. solanacearum. Exhilaratingly, 5I-1, 5I-2 and 5I-4 displayed significant in vivo activity against X. oryzae with protective effect of 90.4%, 77.7%, and 81.1% at 200 μg/mL, respectively, much higher than that exhibited by Bismerthiazol (25.6%) and Thiadiazole-copper (32.0%). And the differential phytotoxicity of active derivatives was preliminarily checked. The results demonstrated that derivative of 2-aroxymethyl-1,3,4-oxadiazole/thiadiazole sulfone can serve as potential alternative bactericides for the management of plant bacterial diseases. Full article
(This article belongs to the Special Issue Sulfur-Nitrogen Heteroaromatics)
Show Figures

Figure 1

Back to TopTop