Sign in to use this feature.

Years

Between: -

Subjects

remove_circle_outline

Journals

Article Types

Countries / Regions

Search Results (1)

Search Parameters:
Keywords = alpha-methyltryptamine

Order results
Result details
Results per page
Select all
Export citation of selected articles as:
17 pages, 864 KB  
Article
α-Methyltryptamine (α-MT) Metabolite Profiling in Human Hepatocyte Incubations and Postmortem Urine and Blood
by Sara Malaca, Charline Bottinelli, Laurent Fanton, Nathalie Cartiser, Jeremy Carlier and Francesco Paolo Busardò
Metabolites 2023, 13(1), 92; https://doi.org/10.3390/metabo13010092 - 6 Jan 2023
Cited by 6 | Viewed by 3130
Abstract
α-MT is a hallucinogenic and stimulant tryptamine that was involved in several overdose fatalities in the United States and Europe. Analytical toxicology, and particularly the identification of metabolite biomarkers in biological samples, often is the only way to prove tryptamine use in clinical [...] Read more.
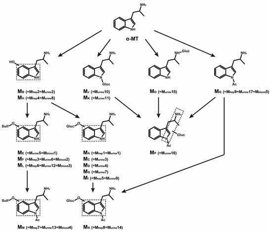
α-MT is a hallucinogenic and stimulant tryptamine that was involved in several overdose fatalities in the United States and Europe. Analytical toxicology, and particularly the identification of metabolite biomarkers in biological samples, often is the only way to prove tryptamine use in clinical and forensic caseworks. We aimed to identify optimal α-MT metabolite biomarkers of consumption in humans. We identified α-MT metabolites in 10-donor-pooled human hepatocyte incubations and postmortem urine and blood from an α-MT overdose case using in silico metabolite predictions, liquid chromatography high-resolution-tandem mass spectrometry (LC-HRMS/MS), and software-assisted data mining. Nine metabolites were identified in vitro and eight additional metabolites were found in urine; five metabolites were found in blood. Metabolic transformations were hydroxylation, O-sulfation, O-glucuronidation, N-glucuronidation, and N-acetylation, consistent with the metabolism of structural analogues. The findings in hepatocyte incubations and postmortem samples were consistent, proving the in vitro model suitability. We suggest α-MT, hydroxy-α-MT glucuronide, and two hydroxy-α-MT sulfates as biomarkers of α-MT use in non-hydrolyzed urine; we suggest α-MT, two hydroxy-α-MT sulfates and N-acetyl-α-MT as biomarkers of α-MT use in blood. Further studies on α-MT clinical and forensic caseworks with different doses and routes of administration are necessary to better explore α-MT metabolism. Full article
(This article belongs to the Section Pharmacology and Drug Metabolism)
Show Figures

Figure 1

Back to TopTop