Sign in to use this feature.

Years

Between: -

Subjects

remove_circle_outline
remove_circle_outline
remove_circle_outline
remove_circle_outline
remove_circle_outline

Journals

Article Types

Countries / Regions

Search Results (2)

Search Parameters:
Keywords = adjacent twin pits

Order results
Result details
Results per page
Select all
Export citation of selected articles as:
18 pages, 6748 KB  
Article
Study on the Influence of Adjacent Double Deep Foundation Pit Excavation Sequence on Existing Tunnel Deformation Based on HSS Constitutive Model
by Sijun Wang, Wenting Wang, Huan Yang, Debin Zhao and Yang Liu
Appl. Sci. 2024, 14(9), 3626; https://doi.org/10.3390/app14093626 - 25 Apr 2024
Cited by 3 | Viewed by 1445
Abstract
With the increase in the number of buildings along the subway, the impact of building construction on the adjacent subway tunnels has gradually come to the forefront and become an important problem to be solved in the engineering field. In particular, the excavation [...] Read more.
With the increase in the number of buildings along the subway, the impact of building construction on the adjacent subway tunnels has gradually come to the forefront and become an important problem to be solved in the engineering field. In particular, the excavation and unloading process of deep foundation pits will trigger an additional deformation of the subway structure, which may pose a serious threat to the safety and stability of subway tunnels. This article is based on a foundation pit project in the sub-center of Beijing, focusing on the form of a connected double foundation pit. Using the HSS constitutive model for soil materials, this study simulates the deformation response of adjacent existing subway tunnels under three excavation sequences: sequential excavation, simultaneous excavation, and the comprehensive excavation of the connected double foundation pits. The study shows that, from the point of view of the total displacement of the whole construction process, the impact of a synchronized excavation of double pits on the existing tunnel line is relatively large in the process, and the impact of sequential excavation is relatively small in the construction cycle. The result of the similarity of the excavation sequence is the similarity of the impact trend. The volume of excavated earth determines the value of displacement change for each excavation scenario in each working condition and is also responsible for the convergence of changes. The trend of total tunnel displacement is more consistent with that of vertical displacement, which is dominated by vertical displacement, with horizontal displacement having a relatively small influence. The maximum value of the total tunnel displacement occurs at the side of the tunnel near the excavation area, and the direction is inclined to the excavation area. The application of supporting structures, especially the center plate and the bottom plate, can suppress the vertical deformation of the tunnel bulge. Full article
(This article belongs to the Special Issue Structural Health Monitoring of Tunnel and Underground Engineering)
Show Figures

Figure 1

37 pages, 24338 KB  
Article
Stability Analysis of the Foundation Pit and the Twin Shield Tunnels during Adjacent Construction
by Xuan Zhang, Libin Wang, Mengshuo Ma, Wei Li and Yuzheng Wang
Buildings 2023, 13(4), 1000; https://doi.org/10.3390/buildings13041000 - 10 Apr 2023
Cited by 5 | Viewed by 2240
Abstract
Due to the rapid development of urban rail transit and the development and use of underground space, foundation pit construction near existing subway tunnels is becoming increasingly common. When adjacent foundation pit projects are being constructed, it is difficult to avoid the influence [...] Read more.
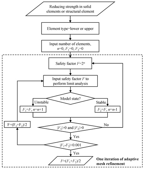
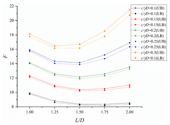
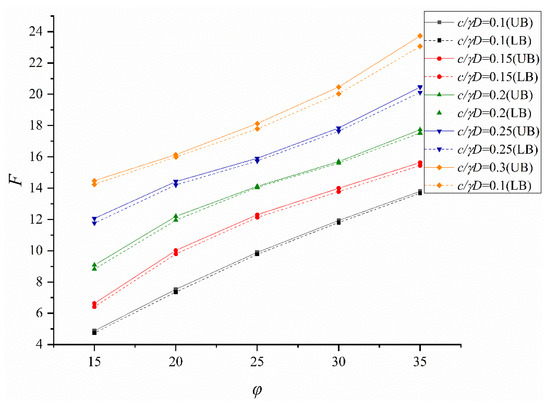
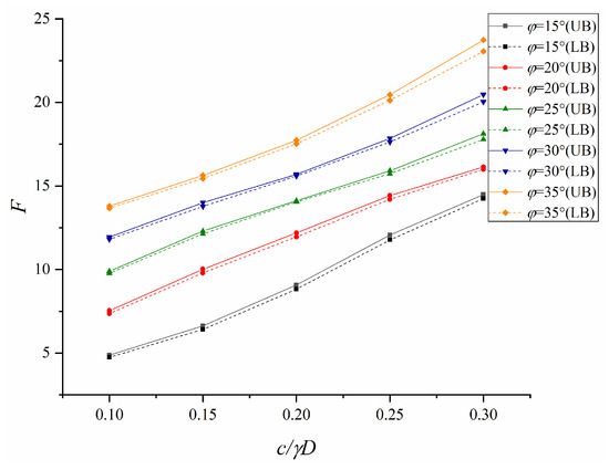
Due to the rapid development of urban rail transit and the development and use of underground space, foundation pit construction near existing subway tunnels is becoming increasingly common. When adjacent foundation pit projects are being constructed, it is difficult to avoid the influence on existing subway tunnels, which threatens the safe operation of subway tunnels. Thus, this study focused on the stability of the adjacent construction of foundation pits and twin shield tunnels. The finite element limit analysis (FELA) method was used to analyze the influences of construction scheme and relative position of the twin shield tunnels and adjacent foundation pit on the global stability of adjacent construction. Based on the research results, the guidance and design for the construction scheme and relative position are provided. The stability analysis on the foundation pit during the construction process is performed. The criteria of adjacent influential partition are proposed, and the influence of various input parameters (c/γD, φ, L/D and C/D) on the global stability of adjacent construction is discussed, respectively. A new design equation of safety factor of global stability of adjacent construction is obtained by curve fitting. Full article
(This article belongs to the Section Construction Management, and Computers & Digitization)
Show Figures

Figure 1

Back to TopTop