Sign in to use this feature.

Years

Between: -

Subjects

remove_circle_outline
remove_circle_outline

Journals

Article Types

Countries / Regions

Search Results (1)

Search Parameters:
Keywords = Xenia sp.

Order results
Result details
Results per page
Select all
Export citation of selected articles as:
18 pages, 4512 KB  
Review
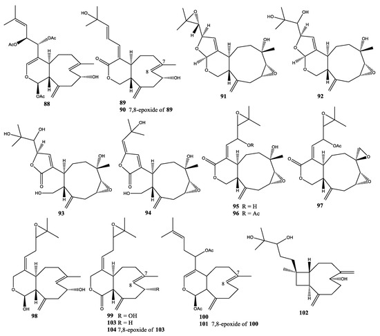
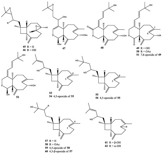
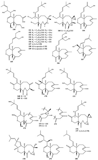
Terpenoids from Marine Soft Coral of the Genus Xenia in 1977 to 2019
by Shean-Yeaw Ng, Chin-Soon Phan, Takahiro Ishii, Takashi Kamada, Toshiyuki Hamada and Charles Santhanaraju Vairappan
Molecules 2020, 25(22), 5386; https://doi.org/10.3390/molecules25225386 - 18 Nov 2020
Cited by 23 | Viewed by 4539
Abstract
Members of the marine soft coral genus Xenia are rich in a diversity of diterpenes. A total of 199 terpenes consisting of 14 sesquiterpenes, 180 diterpenes, and 5 steroids have been reported to date. Xenicane diterpenes were reported to be the most common [...] Read more.
Members of the marine soft coral genus Xenia are rich in a diversity of diterpenes. A total of 199 terpenes consisting of 14 sesquiterpenes, 180 diterpenes, and 5 steroids have been reported to date. Xenicane diterpenes were reported to be the most common chemical skeleton biosynthesized by members of this genus. Most of the literature reported the chemical diversity of Xenia collected from the coral reefs in the South China Sea and the coastal waters of Taiwan. Although there was a brief review on the terpenoids of Xenia in 2015, the present review is a comprehensive overview of the structural diversity of secondary metabolites isolated from soft coral genus Xenia and their potent biological activity as reported between 1977 to 2019. Full article
(This article belongs to the Section Natural Products Chemistry)
Show Figures

Figure 1

Back to TopTop