Sign in to use this feature.

Years

Between: -

Subjects

remove_circle_outline
remove_circle_outline
remove_circle_outline
remove_circle_outline

Journals

Article Types

Countries / Regions

Search Results (2)

Search Parameters:
Keywords = Trypanozoma cruzi

Order results
Result details
Results per page
Select all
Export citation of selected articles as:
20 pages, 4432 KB  
Article
Dehydroepiandrosterone Effect on Toxoplasma gondii: Molecular Mechanisms Associated to Parasite Death
by Saé Muñiz-Hernández, Angélica Luna-Nophal, Carmen T. Gómez-De León, Lenin Domínguez-Ramírez, Olga A. Patrón-Soberano, Karen E. Nava-Castro, Pedro Ostoa-Saloma and Jorge Morales-Montor
Microorganisms 2021, 9(3), 513; https://doi.org/10.3390/microorganisms9030513 - 2 Mar 2021
Cited by 6 | Viewed by 2764
Abstract
Toxoplasmosis is a zoonotic disease caused by the apicomplexa protozoan parasite Toxoplasma gondii. This disease is a health burden, mainly in pregnant women and immunocompromised individuals. Dehydroepiandrosterone (DHEA) has proved to be an important molecule that could drive resistance against a variety [...] Read more.
Toxoplasmosis is a zoonotic disease caused by the apicomplexa protozoan parasite Toxoplasma gondii. This disease is a health burden, mainly in pregnant women and immunocompromised individuals. Dehydroepiandrosterone (DHEA) has proved to be an important molecule that could drive resistance against a variety of infections, including intracellular parasites such as Plasmodium falciparum and Trypanozoma cruzi, among others. However, to date, the role of DHEA on T. gondii has not been explored. Here, we demonstrated for the first time the toxoplasmicidal effect of DHEA on extracellular tachyzoites. Ultrastructural analysis of treated parasites showed that DHEA alters the cytoskeleton structures, leading to the loss of the organelle structure and organization as well as the loss of the cellular shape. In vitro treatment with DHEA reduces the viability of extracellular tachyzoites and the passive invasion process. Two-dimensional (2D) SDS-PAGE analysis revealed that in the presence of the hormone, a progesterone receptor membrane component (PGRMC) with a cytochrome b5 family heme/steroid binding domain-containing protein was expressed, while the expression of proteins that are essential for motility and virulence was highly reduced. Finally, in vivo DHEA treatment induced a reduction of parasitic load in male, but not in female mice. Full article
(This article belongs to the Section Parasitology)
Show Figures

Figure 1

16 pages, 5171 KB  
Article
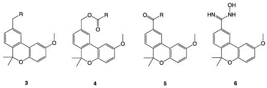
SAR:s for the Antiparasitic Plant Metabolite Pulchrol. 1. The Benzyl Alcohol Functionality
by Paola Terrazas, Efrain Salamanca, Marcelo Dávila, Sophie Manner, Alberto Giménez and Olov Sterner
Molecules 2020, 25(13), 3058; https://doi.org/10.3390/molecules25133058 - 4 Jul 2020
Cited by 8 | Viewed by 2999
Abstract
Pulchrol (1) is a natural benzochromene isolated from the roots of Bourreria pulchra, shown to possess potent antiparasitic activity towards both Leishmania and Trypanozoma species. As it is not understood which molecular features of 1 are important for the antiparasitic [...] Read more.
Pulchrol (1) is a natural benzochromene isolated from the roots of Bourreria pulchra, shown to possess potent antiparasitic activity towards both Leishmania and Trypanozoma species. As it is not understood which molecular features of 1 are important for the antiparasitic activity, several analogues were synthesized and assayed. The ultimate goal is to understand the structure–activity relationships (SAR:s) and create a QSAR model that can be used for the development of clinically useful antiparasitic agents. In this study, we have synthesized 25 2-methoxy-6,6-dimethyl-6H-benzo[c]chromen analogues of 1 and its co-metabolite pulchral (5a), by semi-synthetic procedures starting from the natural product pulchrol (1) itself. All 27 compounds, including the two natural products 1 and 5a, were subsequently assayed in vitro for antiparasitic activity against Trypanozoma cruzi, Leishmania brasiliensis and Leishmania amazoniensis. In addition, the cytotoxicity in RAW cells was assayed, and a selectivity index (SI) for each compound and each parasite was calculated. Several compounds are more potent or equi-potent compared with the positive controls Benznidazole (Trypanozoma) and Miltefosine (Leishmania). The compounds with the highest potencies as well as SI-values are esters of 1 with various carboxylic acids. Full article
(This article belongs to the Section Organic Chemistry)
Show Figures

Figure 1

Back to TopTop