Sign in to use this feature.

Years

Between: -

Subjects

remove_circle_outline
remove_circle_outline
remove_circle_outline

Journals

Article Types

Countries / Regions

Search Results (3)

Search Parameters:
Keywords = Stromateus

Order results
Result details
Results per page
Select all
Export citation of selected articles as:
14 pages, 5288 KB  
Article
The Complete Mitochondrial Genome of Stromateus stellatus (Scombriformes: Stromateidae): Organization, Gene Arrangement, and Phylogenetic Position Within the Suborder Stromateoidei
by Fernanda E. Angulo, Rodrigo Pedrero-Pacheco and José J. Nuñez
Genes 2025, 16(11), 1256; https://doi.org/10.3390/genes16111256 - 24 Oct 2025
Viewed by 464
Abstract
Background/Objectives: The butterfish Stromateus stellatus is undervalued and usually discarded as bycatch, leading to an inefficient and unsustainable use of marine biomass. Overall, although Stromateus is the type genus of the family Stromateidae, its species are less studied than more economically important fishes. [...] Read more.
Background/Objectives: The butterfish Stromateus stellatus is undervalued and usually discarded as bycatch, leading to an inefficient and unsustainable use of marine biomass. Overall, although Stromateus is the type genus of the family Stromateidae, its species are less studied than more economically important fishes. Methods: In this study, we determined and analyzed the complete mitochondrial genome sequence of S. stellatus. Furthermore, we performed maximum likelihood and Bayesian inference analyses to infer the phylogenetic relationships among 21 species of the order Scombriformes. Results: Using next-generation sequencing (NGS) and de novo assembly, a circular mitochondrial genome of 16,509 bp was obtained, exhibiting the typical vertebrate mitochondrial structure comprising 13 protein-coding genes, two ribosomal RNA genes, and 22 transfer RNA genes. Three intergenic regions were identified, including the control region and the origin of light-strand replication, along with several gene overlaps. The heavy strand nucleotide composition was determined to be 28.79% A, 27.84% C, 16.32% G, and 27.05% T, with a GC content of 44.16%. The three Peprilus and five Pampus species formed a clade together with S. stellatus, supported by high bootstrap and posterior probability values, confirming the monophyly of Stromateidae. Conclusions: The gene order and content are consistent with those reported for other Stromateidae species and correspond to the typical arrangement observed in most bony fishes. This mitochondrial genome represents the first one reported for the genus Stromateus, providing valuable insights into the genetic makeup of S. stellatus, contributing to a better understanding of marine biodiversity. Additionally, these data will support future research on pelagic fish evolution and assist in sustainable fisheries management. Full article
(This article belongs to the Special Issue Genetic Status and Perspectives of Fisheries Resources)
Show Figures

Figure 1

9 pages, 1669 KB  
Communication
The Diversity of Metazoan Parasites of South American Stromateidae (Pisces: Teleostei) Is Related to Marine Biogeography
by Marcelo E. Oliva, Luis A. Ñacari, Ruben Escribano and José L. Luque
Diversity 2024, 16(2), 108; https://doi.org/10.3390/d16020108 - 7 Feb 2024
Viewed by 2102
Abstract
The diversity of parasite communities is mainly driven by evolutionary history, as well as the ecology of the host species. To test whether the diversity of the parasite community of four related Stromateidae (Pisces: Scombriformes) is related to evolutionary history (the host phylogeny) [...] Read more.
The diversity of parasite communities is mainly driven by evolutionary history, as well as the ecology of the host species. To test whether the diversity of the parasite community of four related Stromateidae (Pisces: Scombriformes) is related to evolutionary history (the host phylogeny) or the host’s geographical distribution, we analyzed the metazoan parasite fauna of four species of fishes of this family, from the Pacific and Atlantic coasts of South America. Studied species were Peprilus snyderi (samples from Callao, Perú, and Antofagasta, Chile), Peprilus medius (Chorrillos, Perú), Peprilus paru (Rio de Janeiro, Brazil) and Stromateus stellatus (Talcahuano, Chile). Our multivariate analysis strongly suggests that the diversity of the parasite fauna of the studied fishes is driven mainly by the host’s geographical distribution and not the host phylogeny. Full article
(This article belongs to the Special Issue Diversity, Taxonomy and Systematics of Fish Parasites)
Show Figures

Graphical abstract

17 pages, 12069 KB  
Article
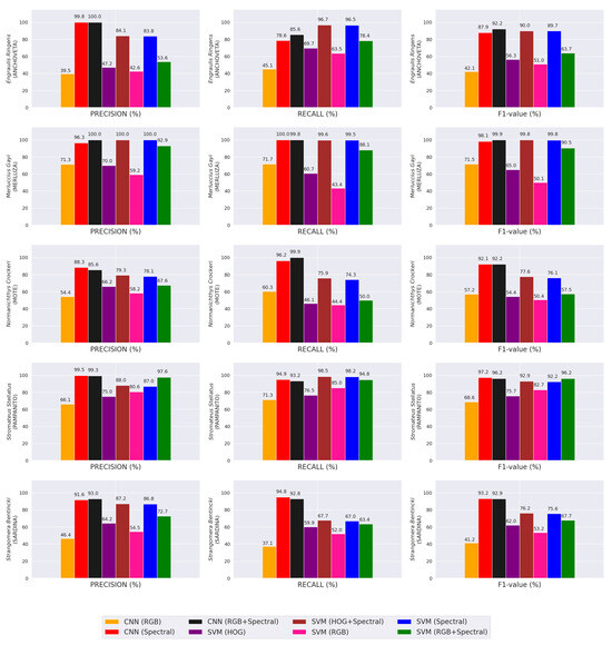
A Spatial-Spectral Classification Method Based on Deep Learning for Controlling Pelagic Fish Landings in Chile
by Jorge E. Pezoa, Diego A. Ramírez, Cristofher A. Godoy, María F. Saavedra, Silvia E. Restrepo, Pablo A. Coelho-Caro, Christopher A. Flores, Francisco G. Pérez, Sergio N. Torres and Mauricio A. Urbina
Sensors 2023, 23(21), 8909; https://doi.org/10.3390/s23218909 - 2 Nov 2023
Cited by 4 | Viewed by 2348
Abstract
Fishing has provided mankind with a protein-rich source of food and labor, allowing for the development of an important industry, which has led to the overexploitation of most targeted fish species. The sustainable management of these natural resources requires effective control of fish [...] Read more.
Fishing has provided mankind with a protein-rich source of food and labor, allowing for the development of an important industry, which has led to the overexploitation of most targeted fish species. The sustainable management of these natural resources requires effective control of fish landings and, therefore, an accurate calculation of fishing quotas. This work proposes a deep learning-based spatial-spectral method to classify five pelagic species of interest for the Chilean fishing industry, including the targeted Engraulis ringens, Merluccius gayi, and Strangomera bentincki and non-targeted Normanichthtys crockeri and Stromateus stellatus fish species. This proof-of-concept method is composed of two channels of a convolutional neural network (CNN) architecture that processes the Red–Green–Blue (RGB) images and the visible and near-infrared (VIS-NIR) reflectance spectra of each species. The classification results of the CNN model achieved over 94% in all performance metrics, outperforming other state-of-the-art techniques. These results support the potential use of the proposed method to automatically monitor fish landings and, therefore, ensure compliance with the established fishing quotas. Full article
(This article belongs to the Section Sensing and Imaging)
Show Figures

Graphical abstract

Back to TopTop