Sign in to use this feature.

Years

Between: -

Subjects

remove_circle_outline
remove_circle_outline
remove_circle_outline

Journals

Article Types

Countries / Regions

Search Results (1)

Search Parameters:
Keywords = Sarconema filiforme

Order results
Result details
Results per page
Select all
Export citation of selected articles as:
26 pages, 6099 KB  
Article
Carrageenans from the Red Seaweed Sarconema filiforme Attenuate Symptoms of Diet-Induced Metabolic Syndrome in Rats
by Ryan du Preez, Nicholas Paul, Peter Mouatt, Marwan E. Majzoub, Torsten Thomas, Sunil K. Panchal and Lindsay Brown
Mar. Drugs 2020, 18(2), 97; https://doi.org/10.3390/md18020097 - 31 Jan 2020
Cited by 68 | Viewed by 7899
Abstract
Carrageenans are thickening and gelling agents that may provide health benefits. Iota (ι)-carrageenan, a linear sulfated polysaccharide, is produced by the red seaweed, Sarconema filiforme. This study investigated the potential of this seaweed as a functional food for the reversal of metabolic [...] Read more.
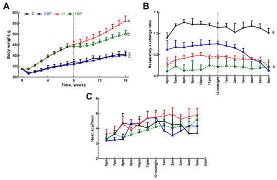
Carrageenans are thickening and gelling agents that may provide health benefits. Iota (ι)-carrageenan, a linear sulfated polysaccharide, is produced by the red seaweed, Sarconema filiforme. This study investigated the potential of this seaweed as a functional food for the reversal of metabolic syndrome and possible mechanisms. Male Wistar rats were divided into four groups in a 16-week protocol: corn starch diet-fed rats (C); C rats supplemented with 5% S. filiforme for the last 8 weeks (CSF); high-carbohydrate, high-fat diet-fed rats (H); and H rats supplemented with 5% S. filiforme for the last 8 weeks (HSF). S. filiforme was produced in tank-based aquaculture yielding 27 g dry weight/day/m2 of culture area. H rats developed obesity, hypertension, dyslipidaemia, glucose intolerance, fatty liver and increased left ventricular collagen deposition. S. filiforme supplementation decreased body weight, abdominal and liver fat, systolic blood pressure, plasma total cholesterol concentrations, and plasma activities of alanine transaminase and aspartate transaminase. S. filiforme supplementation modulated gut microbiota without changing the Firmicutes to Bacteroidetes ratio. S. filiforme improved symptoms of high-carbohydrate, high-fat diet-induced metabolic syndrome in rats. Possible mechanisms include a reduced infiltration of inflammatory cells into organs as well as prebiotic actions in the gastrointestinal tract. Full article
Show Figures

Figure 1

Back to TopTop