Sign in to use this feature.

Years

Between: -

Subjects

remove_circle_outline
remove_circle_outline

Journals

Article Types

Countries / Regions

Search Results (1)

Search Parameters:
Keywords = SSDDI

Order results
Result details
Results per page
Select all
Export citation of selected articles as:
11 pages, 964 KB  
Article
Adropin Serum Levels in Patients with Primary Sjögren’s Syndrome
by Marijana Janković Danolić, Dijana Perković, Marin Petrić, Igor Barišić, Katarina Gugo and Joško Božić
Biomolecules 2021, 11(9), 1296; https://doi.org/10.3390/biom11091296 - 31 Aug 2021
Cited by 8 | Viewed by 2593
Abstract
Primary Sjögren’s syndrome (pSS) patients have higher prevalence of endothelial dysfunction and premature atherosclerosis. Recent studies investigated adropin, a secretory protein that can regulate lipid metabolism and insulin resistance and protect endothelial cells’ function and that has an anti-inflammatory effect. The aim of [...] Read more.
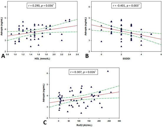
Primary Sjögren’s syndrome (pSS) patients have higher prevalence of endothelial dysfunction and premature atherosclerosis. Recent studies investigated adropin, a secretory protein that can regulate lipid metabolism and insulin resistance and protect endothelial cells’ function and that has an anti-inflammatory effect. The aim of this study was to determine adropin levels in pSS patients compared to healthy controls. Additional goals were exploring the correlation between adropin and several metabolic and immunological parameters in pSS, including disease specific antibodies, EULAR Sjögren’s Syndrome Disease Activity Index (ESSDAI), and Sjögren’s Syndrome Disease Damage Index (SSDDI). This research included 52 pSS patients and 52 healthy controls. pSS patients have significantly higher adropin levels compared to the control group (3.76 ± 0.68 vs. 3.14 ± 0.69 ng/mL, p < 0.001). Correlation analysis showed that adropin levels in pSS patients have positive correlation with high-density lipoprotein (HDL) (r = 0.290, p = 0.036) and anti SSA/Ro52 antibodies (r = 0.307, p = 0.026) and negative correlation with SSDDI (r = −0.401, p = 0.003). Multivariant linear regression showed that adropin levels are independently associated with HDL (β ± SE, 0.903 ± 0.283, p = 0.002) and SSDDI (β ± SE, −0.202 ± 0.073, p = 0.008). Our findings imply that adropin could be involved in the pathophysiology of pSS, yet it remains to be elucidated in future studies whether adropin has a protective or detrimental role in this setting. Full article
Show Figures

Figure 1

Back to TopTop