Sign in to use this feature.

Years

Between: -

Subjects

remove_circle_outline
remove_circle_outline

Journals

Article Types

Countries / Regions

Search Results (1)

Search Parameters:
Keywords = N-aminomorpholine

Order results
Result details
Results per page
Select all
Export citation of selected articles as:
14 pages, 4074 KB  
Article
Synthesis and Biological Activity of New Hydrazones Based on N-Aminomorpholine
by Oralgazy A. Nurkenov, Saule B. Zhautikova, Andrei I. Khlebnikov, Ardak K. Syzdykov, Serik D. Fazylov, Tulegen M. Seilkhanov, Saule K. Kabieva, Kobylandy M. Turdybekov, Anel Z. Mendibayeva and Gaziza M. Zhumanazarova
Molecules 2024, 29(15), 3606; https://doi.org/10.3390/molecules29153606 - 30 Jul 2024
Cited by 1 | Viewed by 1943
Abstract
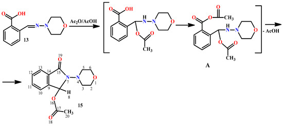
The data on the synthesis of N-aminomorpholine hydrazones are presented. It is shown that the interaction of N-aminomorpholine with functionally substituted benzaldehydes and 4-pyridinaldehyde in isopropyl alcohol leads to the formation of corresponding hydrazones. The structure of the synthesized compounds was studied by [...] Read more.
The data on the synthesis of N-aminomorpholine hydrazones are presented. It is shown that the interaction of N-aminomorpholine with functionally substituted benzaldehydes and 4-pyridinaldehyde in isopropyl alcohol leads to the formation of corresponding hydrazones. The structure of the synthesized compounds was studied by 1H and 13C NMR spectroscopy methods, including the COSY (1H-1H), HMQC (1H-13C) and HMBC (1H-13C) methodologies. The values of chemical shifts, multiplicity, and integral intensity of 1H and 13C signals in one-dimensional NMR spectra were determined. The COSY (1H-1H), HMQC (1H-13C), and HMBC (1H-13C) results revealed homo- and heteronuclear interactions, confirming the structure of the studied compounds. The antiviral, cytotoxic, and antimicrobial activity of some synthesized hydrazones were investigated. It is shown that 2-((morpholinoimino)methyl)benzoic acid has a pronounced viral inhibitory property, comparable in its activity to commercial drugs Tamiflu and Remantadine. A docking study was performed using the influenza virus protein models (1930 Swine H1 Hemagglutinin and Neuraminidase of 1918 H1N1 strain). The potential binding sites that are complementary with 2-((morpholinoimino)methyl)benzoic acid were found. Full article
Show Figures

Figure 1

Back to TopTop