Sign in to use this feature.

Years

Between: -

Subjects

remove_circle_outline
remove_circle_outline
remove_circle_outline
remove_circle_outline
remove_circle_outline
remove_circle_outline

Journals

Article Types

Countries / Regions

Search Results (7)

Search Parameters:
Keywords = Lolium multiflorum/Festuca arundinacea

Order results
Result details
Results per page
Select all
Export citation of selected articles as:
16 pages, 1662 KB  
Article
Identifying Root-Associated Endophytic Fungi and Bacteria in Festuca and Lolium Grasses from a Site in Lithuania
by Violeta Stakelienė, Izolda Pašakinskienė, Saulė Matijošiūtė, Justas Martūnas and Gitana Štukėnienė
Microorganisms 2025, 13(4), 799; https://doi.org/10.3390/microorganisms13040799 - 31 Mar 2025
Viewed by 1482
Abstract
This study investigates the diversity and distribution of root endophyte fungi and bacteria across Festuca and Lolium grasses, including open-grassland and forest species. The species examined include perennials such as Festuca arundinacea, F. gigantea, F. pratensis, Lolium perenne, and [...] Read more.
This study investigates the diversity and distribution of root endophyte fungi and bacteria across Festuca and Lolium grasses, including open-grassland and forest species. The species examined include perennials such as Festuca arundinacea, F. gigantea, F. pratensis, Lolium perenne, and L. perenne × F. gigantea hybrids and the annuals L. temulentum and L. multiflorum. A total of 21 fungal species (60 isolates) and 26 bacterial taxa (59 isolates) were recovered in the culture (PDA medium for fungi and LB for bacteria) from the root cuttings of these grasses. Microdochium bolleyi fungi and Bacillus sp. bacteria were the most prevalent endophytes, with each being identified in five of the seven plant species examined. The annuals L. multiflorum and L. temulentum exhibited a higher abundance of endophytes than that in their perennial relatives, suggesting the benefits of microbial associations in supporting their short life cycles. The woodland F. gigantea demonstrated the highest fungal endophyte diversity, with six species identified. In contrast, the open-grassland perennials F. arundinacea, F. pratensis, and L. perenne hosted only one to two species. Two Basidiomycota, Coprinellus disseminatus and Sistotrema brinkmannii, were exclusively obtained from the roots of the forest grass F. gigantea. Notably, the open-grassland perennial F. arundinacea exhibited the highest bacterial diversity, with nine species present. However, it showed the lowest fungal diversity, with only one species detected. Overall, our study reveals distinct patterns of fungal and bacterial endophyte diversity in the roots of Festuca and Lolium grasses, with variations linked to host species, growth type traits, and ecological adaptations. Among the root-derived endophytes isolated, several fungi and bacteria are potential candidates for plant growth promotion and biocontrol. Therefore, the findings of this study provide potential implications for improved grassland management and crop breeding strategies aimed at specific climate and/or soil conditions. Full article
(This article belongs to the Special Issue Rhizosphere Bacteria and Fungi That Promote Plant Growth)
Show Figures

Figure 1

29 pages, 5166 KB  
Article
Effect of Biochar Application and Mineral Fertilization on Biomass Production and Structural Carbohydrate Content in Forage Plant Mixture
by Wojciech Stopa, Barbara Wróbel, Anna Paszkiewicz-Jasińska and Maria Strzelczyk
Sustainability 2023, 15(19), 14333; https://doi.org/10.3390/su151914333 - 28 Sep 2023
Cited by 2 | Viewed by 2618
Abstract
Biochar, a fine-grained porous material, exhibits properties that improve soil quality on agricultural land. Biochar, in combination with mineral fertilizers in perennial mixed crops, has so far not been studied for its effect on biomass production and feed value. The study, conducted in [...] Read more.
Biochar, a fine-grained porous material, exhibits properties that improve soil quality on agricultural land. Biochar, in combination with mineral fertilizers in perennial mixed crops, has so far not been studied for its effect on biomass production and feed value. The study, conducted in 2021 and 2022, aims to investigate the impact of different biochar application rates (alone and in combination with high and low NPK (nitrogen, phosphorus, potassium) fertilizer dosages) on the yield and structural carbohydrate content in grass–legume mixtures. Thus, a two-factorial pot study consisting of 36 pots was established in 2021. The study was set up in a randomized block design with nine fertilization treatments in four replicates. The factors studied were the rate of biochar (0, 5, and 10 Mg ha−1) and the rate of NPK mineral fertilizer application (0, 105, and 185 kg ha−1). First, biochar was applied and then the grass–legume mixture was sown, consisting of Lolium perenne L., Festuca arundinacea Schreb., Dectylis glomerata L., Lolium multiflorum Lam., Phleum pratense L., Festuca rubra L., Festuca ovina L., Poa pratensis L., Trifolium repens L., and Medicago sativa L. In both years of the study, during the growing season, plant biomass was harvested three times to assess biomass production and structural carbohydrate content. In the collected samples, neutral detergent fiber (NDF), acid detergent fiber (ADF), and acid detergent lignin (ADL) were examined, and, based on these, dry matter digestibility (DDM), dry matter intake (DMI), and relative feed value (RFV) were calculated. Compared to the control, the biochar addition increased the biomass production by 6.7–14.4% in the first year and by 49–59% in the second year after application. The addition of biochar in combination with NPK fertilization caused an increase in biomass production—22–45% in the first year and 71–136% in the second year after application. The structural carbohydrate content in the mixture depended neither on the biochar dose nor on fertilization. On the other hand, the most significant differences for the studied parameters were observed due to different harvest dates. Full article
Show Figures

Figure 1

18 pages, 26783 KB  
Article
Festuca pratensis-like Subgenome Reassembly from a “Chromosomal Cocktail” in the Intergeneric Festulolium (Poaceae) Hybrid: A Rare Chromoanagenesis Event in Grasses
by Izolda Pašakinskienė
Plants 2023, 12(5), 984; https://doi.org/10.3390/plants12050984 - 21 Feb 2023
Cited by 1 | Viewed by 2290
Abstract
Festuca and Lolium grass species are used for Festulolium hybrid variety production where they display trait complementarities. However, at the genome level, they show antagonisms and a broad scale of rearrangements. A rare case of an unstable hybrid, a donor plant manifesting pronounced [...] Read more.
Festuca and Lolium grass species are used for Festulolium hybrid variety production where they display trait complementarities. However, at the genome level, they show antagonisms and a broad scale of rearrangements. A rare case of an unstable hybrid, a donor plant manifesting pronounced variability of its clonal parts, was discovered in the F2 group of 682 plants of Lolium multiflorum × Festuca arundinacea (2n = 6x = 42). Five phenotypically distinct clonal plants were determined to be diploids, having only 14 chromosomes out of the 42 in the donor. GISH defined the diploids as having the basic genome from F. pratensis (2n = 2x = 14), one of the progenitors of F. arundinacea (2n = 6x = 42), with minor components from L. multiflorum and another subgenome, F. glaucescens. The 45S rDNA position on two chromosomes also corresponded to the variant of F. pratensis in the F. arundinacea parent. In the highly unbalanced donor genome, F. pratensis was the least represented, but the most involved in numerous recombinant chromosomes. Specifically, FISH highlighted 45S rDNA-containing clusters involved in the formation of unusual chromosomal associations in the donor plant, suggesting their active role in karyotype realignment. The results of this study show that F. pratensis chromosomes have a particular fundamental drive for restructuring, which prompts the disassembly/reassembly processes. The finding of F. pratensis “escaping” and rebuilding itself from the chaotic “chromosomal cocktail” of the donor plant points to a rare chromoanagenesis event and extends the view of plant genome plasticity. Full article
(This article belongs to the Special Issue Beyond Mendel's Laws)
Show Figures

Figure 1

19 pages, 1895 KB  
Article
Do Crop Rotations in Rice Reduce Weed and Echinochloa spp. Infestations? Recommendations for Integrated Weed Control
by Gabriel Pardo, Ana Isabel Marí, Joaquín Aibar and Alicia Cirujeda
Agronomy 2021, 11(3), 454; https://doi.org/10.3390/agronomy11030454 - 28 Feb 2021
Cited by 8 | Viewed by 3280
Abstract
The species belonging to the genus Echinochloa represent the main weeds in rice fields worldwide. Heavy soils are especially appropriate for this crop that is often grown in monoculture. A drought period in 2012 impeded farmers from sowing rice in some parts of [...] Read more.
The species belonging to the genus Echinochloa represent the main weeds in rice fields worldwide. Heavy soils are especially appropriate for this crop that is often grown in monoculture. A drought period in 2012 impeded farmers from sowing rice in some parts of the region of Aragon (northeastern Spain) and, unusually, they seeded alternative crops such as winter cereal, fescue (Festuca arundinacea), ryegrass (Lolium multiflorum) and lucerne (Medicago sativa). A total of 20 fields were selected, in which rice had been grown in monocrop until 2011 and several crop sequences were established afterwards; weed vegetation was recorded in spring, summer and autumn 2014-16 to find out if the crop rotations reduced weed infestations. Winter cereal and fescue were the crops with the highest soil cover; ryegrass and lucerne had difficulties in installation probably due to the heavy soil textures. Echinochloa spp. plants were found in the winter cereal stubble after having grown fescue for the previous two years and rice before that; in the forage fields, small plants of earing Echinochloa spp. adapted to mowing were detected. Recommendations for Integrated Weed Management that arise from the observations are ploughing the winter cereal stubble before seed shed of the emerged Echinochloa plants, assuring a high density of the forage crops, and efficient herbicide control in rice fields. Full article
(This article belongs to the Special Issue Biology and Integrated Management of Rice Weeds)
Show Figures

Figure 1

15 pages, 1227 KB  
Article
Effects of Straw and Biochar Amendments on Grassland Productivity and Root Morphology
by Tomasz Głąb, Krzysztof Gondek, Monika Mierzwa-Hersztek and Wojciech Szewczyk
Agronomy 2020, 10(11), 1794; https://doi.org/10.3390/agronomy10111794 - 16 Nov 2020
Cited by 8 | Viewed by 3619
Abstract
The objective of this research was to determine the effect of straw and biochar amendment on the root system morphology and aboveground biomass of a red clover/grass mixture (Lolium. perenne L., Phleum pratense L., Festuca pratensis Huds., F. arundinacea Schreb., L. multiflorum [...] Read more.
The objective of this research was to determine the effect of straw and biochar amendment on the root system morphology and aboveground biomass of a red clover/grass mixture (Lolium. perenne L., Phleum pratense L., Festuca pratensis Huds., F. arundinacea Schreb., L. multiflorum L., L. westerwoldicum Breakw., Trifolium pratense L.). A grassland experiment was conducted from 2014 to 2018. Straw was collected from miscanthus (Miscanthus × giganteus), winter wheat (Triticum aestivum L.), and biochar was produced from the biomass of those species. The following treatments were applied: wheat straw at a rate of 5 t ha−1 (WS), miscanthus straw at a rate of 5 t ha−1 (MS), wheat biochar at a rate of 5 t ha−1 (WBH), wheat biochar at a rate of 2.25 t ha−1 (WBL), miscanthus biochar at a rate of 5 t ha−1 (MBH), and miscanthus biochar at a rate of 2.25 t ha−1 (MBL). A treatment with mineral fertilizer but without organic amendments (MCTR) was used, and a control treatment (CTR) without mineral fertilizer and without any amendments was also tested. The botanical composition and the aboveground yields were determined. The roots were sampled in 2018, and the root morphology parameters were determined using an image analysis system. The applied soil amendments resulted in increased root lengths, surface areas, volumes, and mean root diameters. There were no differences between the treatments with different feedstock types (miscanthus vs. wheat), materials (straw vs. biochar), or amendment rates (5 vs. 2.25 t ha−1). The resulting root system characteristics were reflected in the aboveground biomass productivity. The soil amendments, i.e., the straw and biochar, significantly increased the productivity in comparison to that of the control treatment. However, these differences were noticed only during the first and second cuts. Recommended practice in grassland management is to improve soil with straw. The conversion of straw into biochar does not provide a better effect on grassland productivity. Full article
(This article belongs to the Special Issue Impact of Biochar and Compost on Soil Quality and Crop Yield)
Show Figures

Figure 1

29 pages, 5901 KB  
Article
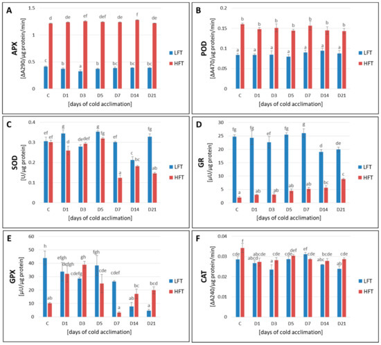
Freezing Tolerance of Lolium multiflorum/Festuca arundinacea Introgression Forms is Associated with the High Activity of Antioxidant System and Adjustment of Photosynthetic Activity under Cold Acclimation
by Adam Augustyniak, Izabela Pawłowicz, Katarzyna Lechowicz, Karolina Izbiańska-Jankowska, Magdalena Arasimowicz-Jelonek, Marcin Rapacz, Dawid Perlikowski and Arkadiusz Kosmala
Int. J. Mol. Sci. 2020, 21(16), 5899; https://doi.org/10.3390/ijms21165899 - 17 Aug 2020
Cited by 10 | Viewed by 3650
Abstract
Though winter-hardiness is a complex trait, freezing tolerance was proved to be its main component. Species from temperate regions acquire tolerance to freezing in a process of cold acclimation, which is associated with the exposure of plants to low but non-freezing temperatures. However, [...] Read more.
Though winter-hardiness is a complex trait, freezing tolerance was proved to be its main component. Species from temperate regions acquire tolerance to freezing in a process of cold acclimation, which is associated with the exposure of plants to low but non-freezing temperatures. However, mechanisms of cold acclimation in Lolium-Festuca grasses, important for forage production in Europe, have not been fully recognized. Thus, two L. multiflorum/F. arundinacea introgression forms with distinct freezing tolerance were used herein as models in the comprehensive research to dissect these mechanisms in that group of plants. The work was focused on: (i) analysis of cellular membranes’ integrity; (ii) analysis of plant photosynthetic capacity (chlorophyll fluorescence; gas exchange; gene expression, protein accumulation, and activity of selected enzymes of the Calvin cycle); (iii) analysis of plant antioxidant capacity (reactive oxygen species generation; gene expression, protein accumulation, and activity of selected enzymes); and (iv) analysis of Cor14b accumulation, under cold acclimation. The more freezing tolerant introgression form revealed a higher integrity of membranes, an ability to cold acclimate its photosynthetic apparatus and higher water use efficiency after three weeks of cold acclimation, as well as a higher capacity of the antioxidant system and a lower content of reactive oxygen species in low temperature. Full article
(This article belongs to the Section Molecular Plant Sciences)
Show Figures

Figure 1

26 pages, 5359 KB  
Article
Adjustment of Photosynthetic and Antioxidant Activities to Water Deficit Is Crucial in the Drought Tolerance of Lolium multiflorum/Festuca arundinacea Introgression Forms
by Katarzyna Lechowicz, Izabela Pawłowicz, Dawid Perlikowski, Magdalena Arasimowicz-Jelonek, Sara Blicharz, Aleksandra Skirycz, Adam Augustyniak, Robert Malinowski, Marcin Rapacz and Arkadiusz Kosmala
Int. J. Mol. Sci. 2020, 21(16), 5639; https://doi.org/10.3390/ijms21165639 - 6 Aug 2020
Cited by 8 | Viewed by 3947
Abstract
Lolium multiflorum/Festuca arundinacea introgression forms have been proved several times to be good models to identify key components of grass metabolism involved in the mechanisms of tolerance to water deficit. Here, for the first time, a relationship between photosynthetic and antioxidant capacities with [...] Read more.
Lolium multiflorum/Festuca arundinacea introgression forms have been proved several times to be good models to identify key components of grass metabolism involved in the mechanisms of tolerance to water deficit. Here, for the first time, a relationship between photosynthetic and antioxidant capacities with respect to drought tolerance of these forms was analyzed in detail. Two closely related L. multiflorum/F. arundinacea introgression forms distinct in their ability to re-grow after cessation of prolonged water deficit in the field were selected and subjected to short-term drought in pots to dissect precisely mechanisms of drought tolerance in this group of plants. The studies revealed that the form with higher drought tolerance was characterized by earlier and higher accumulation of abscisic acid, more stable cellular membranes, and more balanced reactive oxygen species metabolism associated with a higher capacity of the antioxidant system under drought conditions. On the other hand, both introgression forms revealed the same levels of stomatal conductance, CO2 assimilation, and consequently, intrinsic water use efficiency under drought and recovery conditions. However, simultaneous higher adjustment of the Calvin cycle to water deficit and reduced CO2 availability, with respect to the accumulation and activity of plastid fructose-1,6-bisphosphate aldolase, were clearly visible in the form with higher drought tolerance. Full article
(This article belongs to the Special Issue Drought Stress Tolerance in Plants)
Show Figures

Figure 1

Back to TopTop