Sign in to use this feature.

Years

Between: -

Subjects

remove_circle_outline
remove_circle_outline
remove_circle_outline
remove_circle_outline
remove_circle_outline
remove_circle_outline
remove_circle_outline
remove_circle_outline

Journals

Article Types

Countries / Regions

Search Results (6)

Search Parameters:
Keywords = LSAP

Order results
Result details
Results per page
Select all
Export citation of selected articles as:
32 pages, 1190 KB  
Article
Experimental Evaluation of AGV Dispatching Methods in an Agent-Based Simulation Environment and a Digital Twin
by Fabian Maas genannt Bermpohl, Andreas Bresser and Malte Langosz
Appl. Sci. 2023, 13(10), 6171; https://doi.org/10.3390/app13106171 - 18 May 2023
Cited by 3 | Viewed by 2946
Abstract
A critical part of Automated Material Handling Systems (AMHS) is the task allocation and dispatching strategy employed. In order to better understand and investigate this component, we here present an extensive experimental evaluation of three different approaches with randomly generated, as well as [...] Read more.
A critical part of Automated Material Handling Systems (AMHS) is the task allocation and dispatching strategy employed. In order to better understand and investigate this component, we here present an extensive experimental evaluation of three different approaches with randomly generated, as well as custom designed, environment configurations. While previous studies typically focused on use cases based on highly constrained navigation capabilities (e.g., overhead hoist transport systems), our evaluation is built around highly mobile, free-ranging vehicles, i.e., Autonomous Mobile Robots (AMR) that are gaining popularity in a broad range of applications. Consequently, our experiments are conducted using a microscopic agent-based simulation, instead of the more common discrete-event simulation model. Dispatching methods often are built around the assumption of the asynchronous evaluation of an event-based model, i.e., vehicles trigger a cascade of individual dispatching decisions, e.g., when reaching intersections. We find that this does not translate very well to a fleet of highly mobile systems that can change direction at any time. With this in mind, we present formulations of well known dispatching approaches that are better suited for a synchronous evaluation of the dispatching decisions. The formulations are based on the Stable Marriage Problem (SMP) and the Linear Sum Assignment Problem (LSAP). We use matching and assignment algorithms to compute the actual dispatching decisions. The selected algorithms are evaluated in a multi-agent simulation environment. To integrate a centralised fleet management, a digital twin concept is proposed and implemented. By this approach, the fleet management is independent of the implementation of the specific agents, allowing to quickly adapt to other simulation-based or real application scenarios. For the experimental evaluation, two new performance measures related to the efficiency of a material handling system are proposed, Travel Efficiency and Throughput Effort. The experimental evaluation indicates that reassignment mechanisms in the dispatching method can help to increase the overall efficiency of the fleet. We did not find significant differences in absolute performance in terms of throughput rate. Additionally, the difference in performance between SMP- and LSAP-based dispatching with reassignment seems negligible. We conclude with a discussion, where we consider potential confounding factors and relate the findings to previously reported results found in the literature. Full article
Show Figures

Figure 1

10 pages, 2507 KB  
Communication
LSAP: A Machine Learning Method for Leaf-Senescence-Associated Genes Prediction
by Zhidong Li, Wei Tang, Xiong You and Xilin Hou
Life 2022, 12(7), 1095; https://doi.org/10.3390/life12071095 - 21 Jul 2022
Cited by 4 | Viewed by 2507
Abstract
Plant leaves, which convert light energy into chemical energy, serve as a major food source on Earth. The decrease in crop yield and quality is caused by plant leaf premature senescence. It is important to detect senescence-associated genes. In this study, we collected [...] Read more.
Plant leaves, which convert light energy into chemical energy, serve as a major food source on Earth. The decrease in crop yield and quality is caused by plant leaf premature senescence. It is important to detect senescence-associated genes. In this study, we collected 5853 genes from a leaf senescence database and developed a leaf-senescence-associated genes (SAGs) prediction model using the support vector machine (SVM) and XGBoost algorithms. This is the first computational approach for predicting SAGs with the sequence dataset. The SVM-PCA-Kmer-PC-PseAAC model achieved the best performance (F1score = 0.866, accuracy = 0.862 and receiver operating characteristic = 0.922), and based on this model, we developed a SAGs prediction tool called “SAGs_Anno”. We identified a total of 1,398,277 SAGs from 3,165,746 gene sequences from 83 species, including 12 lower plants and 71 higher plants. Interestingly, leafy species showed a higher percentage of SAGs, while leafless species showed a lower percentage of SAGs. Finally, we constructed the Leaf SAGs Annotation Platform using these available datasets and the SAGs_Anno tool, which helps users to easily predict, download, and search for plant leaf SAGs of all species. Our study will provide rich resources for plant leaf-senescence-associated genes research. Full article
(This article belongs to the Special Issue Genome Evolution Mechanism of Plant Polyploids)
Show Figures

Figure 1

20 pages, 5803 KB  
Article
Fire Scenario Zone Construction and Personnel Evacuation Planning Based on a Building Information Model and Geographical Information System
by Qiang Yang, Xu Zhang, Zhongren Zhang, Longjiang He, Xiaojie Yan and Jiaming Na
ISPRS Int. J. Geo-Inf. 2022, 11(2), 110; https://doi.org/10.3390/ijgi11020110 - 3 Feb 2022
Cited by 9 | Viewed by 4912
Abstract
The spatial–temporal simulation of fire disasters and evacuation route planning are important research fields for urban emergency responses and are primary tasks that answer complex questions after fires break out. The increasing demand for refined building information models will sharply increase the calculated [...] Read more.
The spatial–temporal simulation of fire disasters and evacuation route planning are important research fields for urban emergency responses and are primary tasks that answer complex questions after fires break out. The increasing demand for refined building information models will sharply increase the calculated and analyzed quantity. This demand presents a challenge for fire emergency responses based on massive building information. In this paper, the principle of the realistic worst case (RWC) is introduced into fire simulation and evacuation route planning. Taking the library of the Nanjing Forestry University as the study object, the spatial–temporal characteristics of the influential environmental factors of the fire are simulated, such as the meteorological elements, building structure, and building skin. The scenario zones that are relatively prone to fire are selected using an overlay analysis across the four seasons. Then, the risk threshold for evacuating personnel is analyzed in the fire zone according to international standards and firefighting criteria. Specific parameters are determined based on the analysis of the above. The growing trends for fires across the four seasons are simulated with scenario zones as the starting positions and incorporate factors such as temperature, carbon monoxide, and smoke. Lastly, a life safety assurance path (LSAP) for personnel evacuation is designed based on an indoor road network and path search algorithm. The evacuation planning result is compared with the traditional shortest-time path and shortest-distance path. Based on the study results, fire scenario zones can improve the speed and operating efficiency of spatial–temporal simulation models of fire and can also support path planning and design for emergency responses. Full article
(This article belongs to the Special Issue Processing BIM and GIS Models in Theory and Practice)
Show Figures

Figure 1

19 pages, 535 KB  
Article
Dynamic Impact of Unconventional Monetary Policy on International REITs
by Hardik A. Marfatia, Rangan Gupta and Keagile Lesame
J. Risk Financial Manag. 2021, 14(9), 429; https://doi.org/10.3390/jrfm14090429 - 8 Sep 2021
Cited by 14 | Viewed by 3681
Abstract
In this paper, we estimate the dynamic impact of unconventional monetary policy in the US on international REITs. Unlike existing studies which are limited to conventional policy tools and undertake a static approach, we use an event study approach and estimate a time-varying [...] Read more.
In this paper, we estimate the dynamic impact of unconventional monetary policy in the US on international REITs. Unlike existing studies which are limited to conventional policy tools and undertake a static approach, we use an event study approach and estimate a time-varying parameter model to investigate the dynamic impact of forward guidance (FG) and large-scale asset purchases (LSAP) shocks on the international REIT returns. We also compare the effects of these unconventional tools with the effects of conventional federal funds rate (FFR) shocks. The results show that the response of international REITs to unconventional policy shocks depends on the time under consideration. FG shocks have greater time-variation in the impact on REIT returns compared to LSAP shocks, particularly with Australia, Belgium, and the US REIT markets. Furthermore, FG shocks broadly have a negative impact on REITs while the results for LSAP effects are mixed. We also find that in most countries, REITs time-varying response of FG shocks is related to changes in gold prices and financial conditions. Full article
(This article belongs to the Special Issue Banking and the Economy)
Show Figures

Figure 1

15 pages, 3086 KB  
Article
Role of Chitin Deacetylase 1 in the Molting and Metamorphosis of the Cigarette Beetle Lasioderma serricorne
by Wen-Jia Yang, Kang-Kang Xu, Yi Yan, Can Li and Dao-Chao Jin
Int. J. Mol. Sci. 2020, 21(7), 2449; https://doi.org/10.3390/ijms21072449 - 1 Apr 2020
Cited by 34 | Viewed by 5353
Abstract
Chitin deacetylases (CDAs) are chitin-modifying enzymes known to play vital roles in insect metamorphosis and development. In this study, we identified and characterized a chitin deacetylase 1 gene (LsCDA1) from the cigarette beetle Lasioderma serricorne. LsCDA1 contains a 1614 bp [...] Read more.
Chitin deacetylases (CDAs) are chitin-modifying enzymes known to play vital roles in insect metamorphosis and development. In this study, we identified and characterized a chitin deacetylase 1 gene (LsCDA1) from the cigarette beetle Lasioderma serricorne. LsCDA1 contains a 1614 bp open reading frame encoding a protein of 537 amino acids that includes domain structures typical of CDAs. LsCDA1 was mainly expressed in the late larval and late pupal stages. In larval tissues, the highest level of LsCDA1 was detected in the integument. The expression of LsCDA1 was induced by 20-hydroxyecdysone (20E) in vivo, and it was significantly suppressed by knocking down the expression of ecdysteroidogenesis genes and 20E signaling genes. RNA interference (RNAi)-aided silencing of LsCDA1 in fifth-instar larvae prevented the larval–pupal molt and caused 75% larval mortality. In the late pupal stage, depletion of LsCDA1 resulted in the inhibition of pupal growth and wing abnormalities, and the expression levels of four wing development-related genes (LsDY, LsWG, LsVG, and LsAP) were dramatically decreased. Meanwhile, the chitin contents of LsCDA1 RNAi beetles were significantly reduced, and expressions of three chitin synthesis pathway genes (LsTRE1, LsUAP1, and LsCHS1) were greatly decreased. The results suggest that LsCDA1 is indispensable for larval–pupal and pupal–adult molts, and that it is a potential target for the RNAi-based control of L. serricorne. Full article
(This article belongs to the Special Issue Molecular Ecology, Physiology and Biochemistry of Insects 2.0)
Show Figures

Graphical abstract

8 pages, 840 KB  
Article
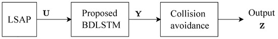
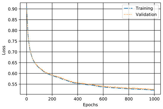
Bidirectional Long Short-Term Memory Neural Networks for Linear Sum Assignment Problems
by Nguyen Minh-Tuan and Yong-Hwa Kim
Appl. Sci. 2019, 9(17), 3470; https://doi.org/10.3390/app9173470 - 22 Aug 2019
Cited by 14 | Viewed by 4351
Abstract
Many resource allocation problems can be modeled as a linear sum assignment problem (LSAP) in wireless communications. Deep learning techniques such as the fully-connected neural network and convolutional neural network have been used to solve the LSAP. We herein propose a new deep [...] Read more.
Many resource allocation problems can be modeled as a linear sum assignment problem (LSAP) in wireless communications. Deep learning techniques such as the fully-connected neural network and convolutional neural network have been used to solve the LSAP. We herein propose a new deep learning model based on the bidirectional long short-term memory (BDLSTM) structure for the LSAP. In the proposed method, the LSAP is divided into sequential sub-assignment problems, and BDLSTM extracts the features from sequential data. Simulation results indicate that the proposed BDLSTM is more memory efficient and achieves a higher accuracy than conventional techniques. Full article
(This article belongs to the Section Electrical, Electronics and Communications Engineering)
Show Figures

Figure 1

Back to TopTop