Sign in to use this feature.

Years

Between: -

Subjects

remove_circle_outline
remove_circle_outline
remove_circle_outline

Journals

Article Types

Countries / Regions

Search Results (3)

Search Parameters:
Keywords = Ganoderma formosanum

Order results
Result details
Results per page
Select all
Export citation of selected articles as:
11 pages, 1087 KB  
Article
The Triterpenoid High-Performance Liquid Chromatography Analytical Profiles of the Mycelia of Ganoderma lucidum (lingzhi)
by Deng-Hai Chen, Jian-Yuan Wang, Mon-Tarng Chen, Yen-Chun Liu and Kuang-Dee Chen
Microbiol. Res. 2023, 14(3), 1353-1363; https://doi.org/10.3390/microbiolres14030092 - 14 Sep 2023
Cited by 3 | Viewed by 3919
Abstract
(1) Background: Ganoderic acids (GAs) are specific triterpenes of Ganoderma lucidum. The HPLC fingerprint profile of GAs of the fruiting body is well known, but their mycelial fingerprinting remains unclear. (2) Methods: An ethanol extract of the mycelium of G. lucidum (YK-0 [...] Read more.
(1) Background: Ganoderic acids (GAs) are specific triterpenes of Ganoderma lucidum. The HPLC fingerprint profile of GAs of the fruiting body is well known, but their mycelial fingerprinting remains unclear. (2) Methods: An ethanol extract of the mycelium of G. lucidum (YK-01) was further purified via preparative HPLC. The triterpenoid compositions for four strains of G. lucidum and one strain of G. formosanum (purple lingzhi) were analyzed using HPLC. (3) Results: Nineteen lanostane triterpenes, including five new triterpenes, GA-TP (1), ganodermic acid Jc (GmA-Jc) (2), GmA-Jd (3), GA-TQ1 (4), and ganoderal B1 (5), and fourteen known triterpenes 619 were isolated from the ethanol extract. Their structures were identified by mass and extensive NMR spectroscopy. A green chemical HPLC analytical method was developed using ethanol and acetic acid as a mobile phase, and all isolated compounds can be well separated. These triterpenes comprise a unique HPLC chromatograph of the G. lucidum mycelium. All four G. lucidum strains showed the same HPLC chromatographic pattern, whereas G. formosanum displayed a different pattern. Quantitation methods for ganoderic acid T (10) and S (12) were also validated. (4) Conclusions: The triterpenoid HPLC analytical method can be used to identify the G. lucidum species and to determine the contents of GA-T and GA-S. Full article
Show Figures

Figure 1

11 pages, 2232 KB  
Article
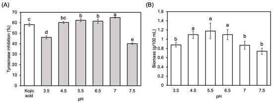
Optimal Production of Ganoderma formosanum Mycelium with Anti-Melanogenic Activity
by Yen-Wenn Liu, Chi-Mei Liu, Hung-Yueh Chen, Darin Khumsupan, Hsien-Yi Hsu, Hui-Wen Lin, Chang-Wei Hsieh and Kuan-Chen Cheng
Fermentation 2023, 9(4), 372; https://doi.org/10.3390/fermentation9040372 - 12 Apr 2023
Cited by 2 | Viewed by 2708
Abstract
Ganoderma formosanum is a medicinal mushroom endemic to Taiwan. The extraction of G. formosanum mycelium using ethyl acetate showed a significant reduction of melanin activity due to the inhibition of tyrosinase. To optimize the production of G. formosanum mycelium with anti-melanogenic activity, different [...] Read more.
Ganoderma formosanum is a medicinal mushroom endemic to Taiwan. The extraction of G. formosanum mycelium using ethyl acetate showed a significant reduction of melanin activity due to the inhibition of tyrosinase. To optimize the production of G. formosanum mycelium with anti-melanogenic activity, different variables (carbon sources and concentrations, initial pH value, and temperature) were investigated. According to the results, the optimal conditions included the utilization of 50 g/L lactose as the carbon source at pH 7 and 25 °C for 9 days. Afterward, the G. formosanum ethanolic extracts-optimized (GFE-O) was used to study the anti-melanogenic activity in vitro and in vivo. In B16-F10 melanoma cells treated with GFE-O (0.1 mg/mL), the intracellular melanin content was reduced to 76% compared to the control group. By applying GFE-O (0.05 mg/mL) in vivo on zebrafish embryo, hypopigmentation was observed, and the melanin content was reduced to 62% compared to the control with no toxicological effects. The results showed that the optimal inoculation conditions can provide the basis for future large-scale production of G. formosanum mycelium to maximize the extraction of anti-melanogenic ingredients. Full article
Show Figures

Figure 1

10 pages, 18444 KB  
Article
Ganoderma formosanum Exopolysaccharides Inhibit Tumor Growth via Immunomodulation
by Hsing-Chun Kuo, Yen-Wenn Liu, Chi-Chin Lum, Kai-Di Hsu, Shin-Ping Lin, Chang-Wei Hsieh, Hui-Wen Lin, Tze-Ying Lu and Kuan-Chen Cheng
Int. J. Mol. Sci. 2021, 22(20), 11251; https://doi.org/10.3390/ijms222011251 - 19 Oct 2021
Cited by 11 | Viewed by 3473
Abstract
Ganoderma formosanum (GF) is a medicinal mushroom endemic to Taiwan. Previous research established the optimal culture conditions to produce exopolysaccharide rich in β-glucan (GF-EPS) from submerged fermentation of GF. The present study investigated the antitumor effects of GF-EPS in a Lewis lung carcinoma [...] Read more.
Ganoderma formosanum (GF) is a medicinal mushroom endemic to Taiwan. Previous research established the optimal culture conditions to produce exopolysaccharide rich in β-glucan (GF-EPS) from submerged fermentation of GF. The present study investigated the antitumor effects of GF-EPS in a Lewis lung carcinoma cell (LLC1) tumor-bearing mice model. In the preventive model, GF-EPS was orally administered to mice before LLC1 injection. In the therapeutic model, GF-EPS oral administration was initiated five days after tumor cell injection. The tumor size and body weight of the mice were recorded. After sacrifice, the lymphocyte subpopulation was analyzed using flow cytometry. Spleen tissues were used to analyze cytokine mRNA expression. The results showed that GF-EPS (80 mg/kg) effectively suppressed LLC1 tumor growth in both the preventive and therapeutic models. GF-EPS administration increased the proportion of natural killer cells in the spleen and activated gene expression of several cytokines. Our results provide evidence that GF-EPS promotes tumor inhibition through immunomodulation in tumor-bearing mice. Full article
(This article belongs to the Section Molecular Oncology)
Show Figures

Figure 1

Back to TopTop