Sign in to use this feature.

Years

Between: -

Subjects

remove_circle_outline
remove_circle_outline

Journals

Article Types

Countries / Regions

Search Results (5)

Search Parameters:
Keywords = Fields and Backofen

Order results
Result details
Results per page
Select all
Export citation of selected articles as:
32 pages, 7308 KB  
Article
Assessment and Comparison of Phenomenological and Physical Constitutive Models for Predicting the Hot Deformation Behavior of Metallic Materials: A Pathway for Sustainable Metal Forming in Al-Kharj Governorate
by Ali Abd El-Aty and Abdallah Shokry
Materials 2025, 18(9), 2061; https://doi.org/10.3390/ma18092061 - 30 Apr 2025
Cited by 2 | Viewed by 573
Abstract
In the context of Al-Kharj city, which is steadily advancing as an industrial and manufacturing hub within Saudi Arabia, this study has significant relevance. The city’s focus on metal forming, fabrication, and materials engineering makes it crucial to optimize processes such as hot [...] Read more.
In the context of Al-Kharj city, which is steadily advancing as an industrial and manufacturing hub within Saudi Arabia, this study has significant relevance. The city’s focus on metal forming, fabrication, and materials engineering makes it crucial to optimize processes such as hot deformation of metallic alloys for various sectors, including aerospace, automotive, oil and gas, and structural applications. By assessing and comparing phenomenological and physical material models for nickel, aluminum, titanium, and iron-based alloys, this study aids Al-Kharj industries in advancing their process simulation and predictive performance. Thus, this study aims to evaluate the proposed phenomenological and physically based constitutive models for Ni-, Al-, Ti-, and Fe-based alloys to enhance the accuracy of high-temperature deformation simulations. Phenomenological models investigated include the Johnson–Cook (JC), Fields and Backofen (FB), and Khan–Huang–Liang (KHL) formulations, while the Zerilli–Armstrong (ZA) model represents the physical category. Additionally, various modifications to these models are explored. Model parameters are calibrated using the Levenberg–Marquardt algorithm to minimize mean square error. Performance is assessed through key statistical metrics, including the correlation coefficient (R), average absolute relative error (AARE), and root mean square error (RMSE). Of the 32 models analyzed, a modified version of the JC model delivers the highest accuracy across all alloys. Furthermore, four other modifications, one each for the JC and ZA models and two for the FB model, exhibit superior predictive capability for specific alloys. This makes this study valuable not just academically, but also as a practical resource to boost Al-Kharj’s industrial competitiveness and innovation capacity. Full article
Show Figures

Graphical abstract

22 pages, 7269 KB  
Article
An Inverse Piecewise Flow Curve Determination Method for Torsion Tests at Elevated Temperature
by Aditya Vuppala, Holger Brüggemann, David Bailly and Emad Scharifi
Metals 2025, 15(2), 219; https://doi.org/10.3390/met15020219 - 18 Feb 2025
Cited by 2 | Viewed by 773
Abstract
This paper presents an extended method for determining flow curves under shear loading using torsion tests, a technique often used to characterize plastic behavior in metal forming. Torsion tests are advantageous due to their ability to achieve flow curves up to large strains [...] Read more.
This paper presents an extended method for determining flow curves under shear loading using torsion tests, a technique often used to characterize plastic behavior in metal forming. Torsion tests are advantageous due to their ability to achieve flow curves up to large strains (~3) while maintaining stable specimen geometry during deformation. However, the strain and strain rate distribution across the specimen are non-uniform, increasing radially from the rotation axis. Traditional analytical methods, such as the Fields and Backofen approach, address this non-uniformity by considering average strain and strain rates. Conversely, inverse approaches, which rely on fitting constitutive equations through iterative procedures, are more sensitive to the choice of empirical equations and can be computationally expensive. To address these issues, this study adapts an inverse piecewise flow curve determination method from compression tests for use in torsion tests. A stepwise methodology is proposed to calculate constant strain rates and isothermal flow curves, where flow curves for the lowest strain rates are first determined and subsequently used to derive flow curves at higher strain rates. The proposed approach was applied to the case-hardened steel 16MnCrS5, with tests conducted at temperatures ranging from 900 °C to 1100 °C and strain rates from 0.01 s−1 to 1 s−1. The experimental data obtained were successfully replicated by the flow curves with a maximum deviation of only 1%. The results demonstrate the efficiency and accuracy of the stepwise inverse approach for determining flow curves in torsion tests, making it appropriate for characterizing material behavior for metal-forming applications. Full article
Show Figures

Figure 1

16 pages, 4197 KB  
Article
Phenomenological Constitutive Models for Hot Deformation Behavior of Ti6Al4V Alloy Manufactured by Directed Energy Deposition Laser
by Yong Niu, Zhonggang Sun, Yaoqi Wang and Jiawei Niu
Metals 2020, 10(11), 1496; https://doi.org/10.3390/met10111496 - 10 Nov 2020
Cited by 14 | Viewed by 2535
Abstract
This work focuses on the hot deformation behavior and constitutive models of Ti6Al4V alloy manufactured by directed energy deposition laser (DEDL). The hot compression tests of DEDL Ti6Al4V alloy at deformation temperature of 700–950 °C and strain rate range of 0.001–1 s−1 [...] Read more.
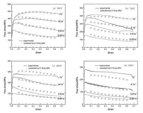
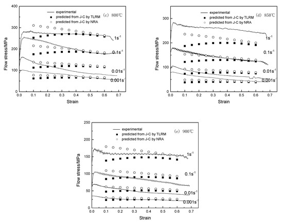
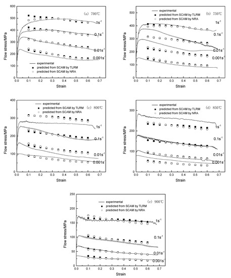
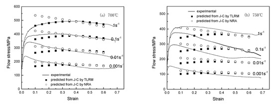
This work focuses on the hot deformation behavior and constitutive models of Ti6Al4V alloy manufactured by directed energy deposition laser (DEDL). The hot compression tests of DEDL Ti6Al4V alloy at deformation temperature of 700–950 °C and strain rate range of 0.001–1 s−1 were carried out. Three phenomenological models including modified Johnson–Cook model, modified Fields–Backofen model, and strain-compensated Arrhenius model were introduced to predict the flow stresses during uniaxial compression. The predictability of the three models is evaluated according to correlation coefficient, average absolute relative error, and average root mean square error. Traditional linear regression method (TLRM) and nonlinear regression analysis (NRA) were used to solve the constants of modified Johnson–Cook model and strain-compensated Arrhenius model, NRA was used to solve the constants of modified Fields–Backofen model. Compared with the TLRM, the NRA improves the accuracy of modified Johnson-Cook model, while has limited effect on that of strain-compensated Arrhenius model. The accuracy of modified Fields–Backofen model and strain-compensated Arrhenius model is higher than that of modified Johnson–Cook model. Full article
(This article belongs to the Section Metal Casting, Forming and Heat Treatment)
Show Figures

Figure 1

13 pages, 3002 KB  
Article
Hot Deformation Behavior of a 2024 Aluminum Alloy Sheet and its Modeling by Fields-Backofen Model Considering Strain Rate Evolution
by Zhubin He, Zhibiao Wang, Yanli Lin and Xiaobo Fan
Metals 2019, 9(2), 243; https://doi.org/10.3390/met9020243 - 18 Feb 2019
Cited by 22 | Viewed by 5087
Abstract
The deformation behavior of a 2024 aluminum alloy sheet at elevated temperatures was studied by uniaxial hot tensile tests over the nominal initial strain rate range of 0.001–0.1 s−1 and temperature range of 375–450 °C. In order to analyze the deformation behavior [...] Read more.
The deformation behavior of a 2024 aluminum alloy sheet at elevated temperatures was studied by uniaxial hot tensile tests over the nominal initial strain rate range of 0.001–0.1 s−1 and temperature range of 375–450 °C. In order to analyze the deformation behavior with higher accuracy, a digital image correlation (DIC) system was applied to determine the strain distribution during hot tensile tests. Local stress-strain curves for different local points on the specimens were calculated. The strain rate evolution of each point during the tensile tests was investigated under different deformation conditions. Then, an improved Fields–Backofen (FB) model, taking into account the local strain rate evolution instead of the fixed strain rate, was proposed to describe the constitutive behaviors. It has been found that obvious non-uniform strain distribution occurred when the true strain was larger than 0.3 during hot tensile tests. The strain rate distribution during deformation was also non-uniform. It showed increasing, steady, and decreasing variation tendencies for different points with the increasing of strain, which led to the local flow stress being different at different local points. The flow stresses predicted by the improved FB model showed good agreement with experimental results when the strain rate evolutions of local points during tensile tests were considered. The prediction accuracy was higher than that of traditional FB models. Full article
(This article belongs to the Special Issue Constitutive Modelling for Metals)
Show Figures

Graphical abstract

15 pages, 9361 KB  
Article
The Effects of Prestrain and Subsequent Annealing on Tensile Properties of CP-Ti
by Le Chang, Chang-Yu Zhou and Xiao-Hua He
Metals 2017, 7(3), 99; https://doi.org/10.3390/met7030099 - 17 Mar 2017
Cited by 21 | Viewed by 7453
Abstract
The aim of the present work is to investigate the effects of prestrain and subsequent annealing on tensile properties of commercial pure titanium (CP-Ti). According to tensile test results, yield strength and ultimate tensile strength increase with the increase of prestrain. Elongation and [...] Read more.
The aim of the present work is to investigate the effects of prestrain and subsequent annealing on tensile properties of commercial pure titanium (CP-Ti). According to tensile test results, yield strength and ultimate tensile strength increase with the increase of prestrain. Elongation and uniform strain decrease linearly with prestrain. In the case of prestrain that is higher than 3.5%, the macro-yield of specimens changes from gradual yielding to discontinuous yielding. It is supposed that considerable numbers of dislocations introduced into the material lead to the appearance of yield plateau. The quantitative analysis of the contribution of dislocation hardening to the strain hardening shows that dislocation-associated mechanisms play an important role in strain hardening. Moreover, a modified Fields-Backofen model is proposed to predict the flow stress of prestrained CP-Ti at different strain rates. Both strain rate sensitivity and strain hardening exponent decrease with prestrain. Fracture surfaces of the specimens show that fracture mechanism of all tested specimens is dimple fracture. The more ductile deformation in prestrained CP-Ti after annealing indicates that its ductility is improved by annealing. Full article
(This article belongs to the Special Issue Titanium Alloys 2017)
Show Figures

Figure 1

Back to TopTop