Sign in to use this feature.

Years

Between: -

Subjects

remove_circle_outline
remove_circle_outline
remove_circle_outline
remove_circle_outline

Journals

Article Types

Countries / Regions

Search Results (3)

Search Parameters:
Keywords = Enterobacter soli

Order results
Result details
Results per page
Select all
Export citation of selected articles as:
27 pages, 4553 KB  
Article
Enterobacter soli Strain AF-22b-4245: Study of the Genome and the Effect on Wheat Growth
by Ekaterina Alexeevna Sokolova, Olga Viktorovna Mishukova, Inna Viktorovna Khlistun, Irina Nikolaevna Tromenschleger, Evgeniya Vladimirovna Chumanova and Elena Nikolaevna Voronina
Microbiol. Res. 2025, 16(2), 34; https://doi.org/10.3390/microbiolres16020034 - 30 Jan 2025
Viewed by 1506
Abstract
Background: In this work the plant growth-promoting (PGP) qualities of the Enterobacter soli strain AF-22b-4245 were studied, including screening tests for PGP, whole genome sequencing (WGS) and genome annotation, and greenhouse experiments on wheat. A gene table was formed that allows us to [...] Read more.
Background: In this work the plant growth-promoting (PGP) qualities of the Enterobacter soli strain AF-22b-4245 were studied, including screening tests for PGP, whole genome sequencing (WGS) and genome annotation, and greenhouse experiments on wheat. A gene table was formed that allows us to evaluate the potential PGP properties of a microorganism based on the results of genome-wide sequencing. Results: Based on the results of screening tests and genome annotation, it can be concluded that the E. soli strain AF-22b-4245 strain may have PGP properties, which consist in the ability to survive in arid and saline soils contaminated with copper, arsenic, lead, and chromium soils, form biofilms, produce phytohormones, siderophores, and solubilize phosphorus. Based on the results of experiments on wheat, the E. soli strain AF-22b-4245 increases the efficiency of mineral fertilizers; this effect persists even in conditions of drought and excess salt. It has been shown that E. soli A F22b-4245 can compensate for the lack of soluble phosphorus in the mineral fertilizer, probably by solubilizing insoluble forms in the soil. Full article
Show Figures

Figure 1

13 pages, 2059 KB  
Article
Identification and Characterization of a Phosphate-Solubilizing Bacterium and Its Growth-Promoting Effect on Moso Bamboo Seedlings
by Yang Zhang, Songze Wan, Fuxi Shi, Xiangmin Fang and Chao Huang
Forests 2024, 15(2), 364; https://doi.org/10.3390/f15020364 - 14 Feb 2024
Cited by 6 | Viewed by 2865
Abstract
Phosphate-solubilizing bacteria (PSB) offer an eco-friendly approach to boost plant growth in soils low or deficient in phosphorus (P). In this study, we isolated 97 PSB strains from the soil around moso bamboo roots in Jiangxi Province, China. The RW37 strain was identified [...] Read more.
Phosphate-solubilizing bacteria (PSB) offer an eco-friendly approach to boost plant growth in soils low or deficient in phosphorus (P). In this study, we isolated 97 PSB strains from the soil around moso bamboo roots in Jiangxi Province, China. The RW37 strain was identified as Enterobacter soli through its physical characteristics and genetic sequencing. Our experiments revealed that RW37 could dissolve phosphate at levels exceeding 400 mg L−1 across a wide range of environmental conditions, including temperature (25–35 °C), pH levels (3.5–7.2), salinities (0–2.0%), and volumes of medium (1/5–3/5 of flask volume), showcasing its adaptability. Furthermore, RW37 showed remarkable phosphate-solubilizing abilities at various pH levels using different phosphate sources, with the highest capacity observed in a medium containing CaHPO4. This study also found a negative correlation between P-solubilizing capacity and fermentation broth pH, indicating that RW37 likely secretes organic acids to dissolve phosphate sources. Pot experiments demonstrated that applying RW37 significantly improved the plant height, biomass, root growth, and P uptake of moso bamboo seedlings in red soil. Our results highlight the potential of RW37 as an eco-friendly biofertilizer for subtropical bamboo forests. Full article
(This article belongs to the Special Issue Microbial Community Composition and Function in Forest Soil)
Show Figures

Figure 1

14 pages, 4225 KB  
Article
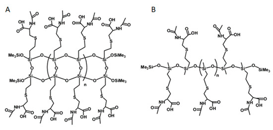
Antimicrobial and Antibiofilm N-acetyl-L-cysteine Grafted Siloxane Polymers with Potential for Use in Water Systems
by Dorota Kregiel, Anna Rygala, Beata Kolesinska, Maria Nowacka, Agata S. Herc and Anna Kowalewska
Int. J. Mol. Sci. 2019, 20(8), 2011; https://doi.org/10.3390/ijms20082011 - 24 Apr 2019
Cited by 30 | Viewed by 3861
Abstract
Antibiofilm strategies may be based on the prevention of initial bacterial adhesion, the inhibition of biofilm maturation or biofilm eradication. N-acetyl-L-cysteine (NAC), widely used in medical treatments, offers an interesting approach to biofilm destruction. However, many Eubacteria strains are able to enzymatically decompose [...] Read more.
Antibiofilm strategies may be based on the prevention of initial bacterial adhesion, the inhibition of biofilm maturation or biofilm eradication. N-acetyl-L-cysteine (NAC), widely used in medical treatments, offers an interesting approach to biofilm destruction. However, many Eubacteria strains are able to enzymatically decompose the NAC molecule. This is the first report on the action of two hybrid materials, NAC-Si-1 and NAC-Si-2, against bacteria isolated from a water environment: Agrobacterium tumefaciens, Aeromonas hydrophila, Citrobacter freundii, Enterobacter soli, Janthinobacterium lividum and Stenotrophomonas maltophilia. The NAC was grafted onto functional siloxane polymers to reduce its availability to bacterial enzymes. The results confirm the bioactivity of NAC. However, the final effect of its action was environment- and strain-dependent. Moreover, all the tested bacterial strains showed the ability to degrade NAC by various metabolic routes. The NAC polymers were less effective bacterial inhibitors than NAC, but more effective at eradicating mature bacterial biofilms. Full article
(This article belongs to the Section Molecular Microbiology)
Show Figures

Graphical abstract

Back to TopTop