Sign in to use this feature.

Years

Between: -

Subjects

remove_circle_outline
remove_circle_outline

Journals

Article Types

Countries / Regions

Search Results (7)

Search Parameters:
Keywords = EIT analogue

Order results
Result details
Results per page
Select all
Export citation of selected articles as:
10 pages, 1988 KB  
Article
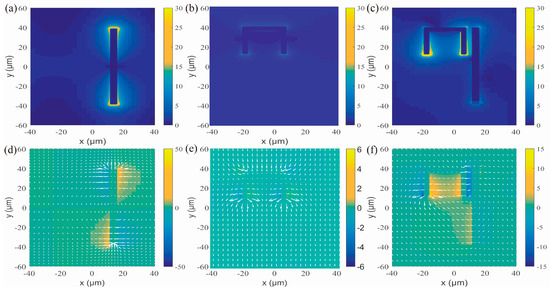
Active Control of Electromagnetically Induced Transparency Analogy in Spoof Surface Plasmon Polariton Waveguide
by Xiaoqiang Su, Lijuan Dong, Jiajun He, Yucong Huang, Fusheng Deng, Lifeng Liu, Yunlong Shi, Quan Xu and Yanfeng Li
Photonics 2022, 9(11), 833; https://doi.org/10.3390/photonics9110833 - 6 Nov 2022
Cited by 4 | Viewed by 3072
Abstract
Metamaterial analogues of electromagnetically induced transparency (EIT) enable a unique avenue to endow a coupled resonator system with quantum interference behavior, exhibiting remarkable properties in slow-wave and highly sensitive sensing. In particular, tunable and ultracompact-chip-integrated EIT-like effects reveal fantastic application prospects in plasmonic [...] Read more.
Metamaterial analogues of electromagnetically induced transparency (EIT) enable a unique avenue to endow a coupled resonator system with quantum interference behavior, exhibiting remarkable properties in slow-wave and highly sensitive sensing. In particular, tunable and ultracompact-chip-integrated EIT-like effects reveal fantastic application prospects in plasmonic circuits and networks. Here, we demonstrate an electrically tuned on-chip EIT analogue by means of dynamic EIT modules side-coupled to ultrathin corrugated metallic strips supporting spoof surface plasmon polaritons (SSPPs). By embedding PIN diodes into the subradiant mode, on-to-off control of the destructive coupling between the radiative and subradiant modes results in dynamic chip-scale EIT-like behavior under the change of the bias voltage, allowing for an electrically tunable group delay of the surface waves. The physical mechanism of the active modulation is elucidated with the coupled mode theory. In addition, the cascaded capacity performed by installing multiple EIT modules with an interval of equivalent wavelength are also characterized on a planar plasmonic waveguide. The proposed system will pave a versatile route toward dynamic control in chip-scale functional devices. Full article
(This article belongs to the Section Optoelectronics and Optical Materials)
Show Figures

Figure 1

12 pages, 24972 KB  
Article
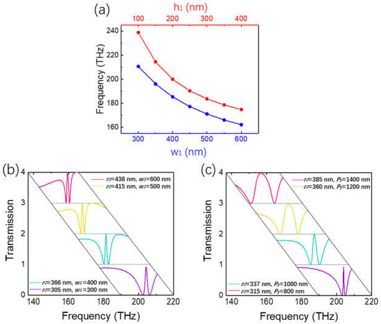
Multi-Band Analogue Electromagnetically Induced Transparency in DoubleTuned Metamaterials
by Wei Huang, Ningye He, Renxia Ning and Zhenhai Chen
Nanomaterials 2021, 11(11), 2793; https://doi.org/10.3390/nano11112793 - 21 Oct 2021
Cited by 6 | Viewed by 2423
Abstract
A multi-band analogue electromagnetically induced transparency (A-EIT) metamaterial is proposed. The structure is composed of liquid crystal (LC) layer and a graphene strips layer on both sides of silicon dioxide. The transmission spectrum and electric field distribution of only one graphene strip and [...] Read more.
A multi-band analogue electromagnetically induced transparency (A-EIT) metamaterial is proposed. The structure is composed of liquid crystal (LC) layer and a graphene strips layer on both sides of silicon dioxide. The transmission spectrum and electric field distribution of only one graphene strip and two graphene strips have been studied. As a bright mode, the graphene strip is coupled with adjacent graphene strip to realize the A-EIT effect. When multiple graphene strips are coupled with each other, the multi-band A-EIT is obtained due to the electric dipole resonances of the four strips. The results show that the multiband A-EIT effect can be tuned by voltage on LC and graphene layer, respectively. Moreover, changing the incident angle of the electromagnetic wave has had little influence on the transmission window in the low frequency band, it is meaning that the A-EIT effect with insensitive to the incident angle can be obtained. Each transmission window has a high maximum transmittance and figure of merit (FOM). The multi-band A-EIT effect can widen the application on sensor and optical storage devices. Full article
Show Figures

Figure 1

10 pages, 1539 KB  
Article
Analogue of Electromagnetically Induced Transparency in an All-Dielectric Double-Layer Metasurface Based on Bound States in the Continuum
by Fengyan He, Jianjun Liu, Guiming Pan, Fangzhou Shu, Xufeng Jing and Zhi Hong
Nanomaterials 2021, 11(9), 2343; https://doi.org/10.3390/nano11092343 - 9 Sep 2021
Cited by 26 | Viewed by 4524
Abstract
Bound states in the continuum (BICs) have attracted much attention due to their infinite Q factor. However, the realization of the analogue of electromagnetically induced transparency (EIT) by near-field coupling with a dark BIC in metasurfaces remains challenging. Here, we propose and numerically [...] Read more.
Bound states in the continuum (BICs) have attracted much attention due to their infinite Q factor. However, the realization of the analogue of electromagnetically induced transparency (EIT) by near-field coupling with a dark BIC in metasurfaces remains challenging. Here, we propose and numerically demonstrate the realization of a high-quality factor EIT by the coupling of a bright electric dipole resonance and a dark toroidal dipole BIC in an all-dielectric double-layer metasurface. Thanks to the designed unique one-dimensional (D)–two-dimensional (2D) combination of the double-layer metasurface, the sensitivity of the EIT to the relative displacement between the two layer-structures is greatly reduced. Moreover, several designs for widely tunable EIT are proposed and discussed. We believe the proposed double-layer metasurface opens a new avenue for implementing BIC-based EIT with potential applications in filtering, sensing and other photonic devices. Full article
(This article belongs to the Section Theory and Simulation of Nanostructures)
Show Figures

Figure 1

10 pages, 3425 KB  
Article
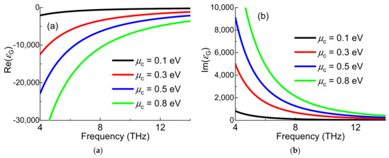
Broadband Filter and Adjustable Extinction Ratio Modulator Based on Metal-Graphene Hybrid Metamaterials
by Haoying Sun, Lin Zhao, Jinsong Dai, Yaoyao Liang, Jianping Guo, Hongyun Meng, Hongzhan Liu, Qiaofeng Dai and Zhongchao Wei
Nanomaterials 2020, 10(7), 1359; https://doi.org/10.3390/nano10071359 - 11 Jul 2020
Cited by 19 | Viewed by 2959
Abstract
A novel multifunctional device based on a hybrid metal–graphene Electromagnetically induced transparency (EIT) metamaterial at the terahertz band is proposed. It is composed of a parallel cut wire pair (PCWP) that serves as a dark mode resonator, a vertical cut wire pair (VCWP) [...] Read more.
A novel multifunctional device based on a hybrid metal–graphene Electromagnetically induced transparency (EIT) metamaterial at the terahertz band is proposed. It is composed of a parallel cut wire pair (PCWP) that serves as a dark mode resonator, a vertical cut wire pair (VCWP) that serves as a bright mode resonator and a graphene ribbon that serves as a modulator. An ultra-broadband transmission window with 1.23 THz bandwidth can be obtained. The spectral extinction ratio can be tuned from 26% to 98% by changing the Fermi level of the graphene. Compared with previous work, our work has superior performance in the adjustable bandwidth of the transmission window without changing the structure of the dark and bright mode resonators, and has a high extinction ratio and dynamic adjustability. Besides, we present the specific application of the device in filters and optical modules. Therefore, we believe that such a metamaterial structure provides a new way to actively control EIT-like, which has promising applications in broadband optical filters and photoelectric intensity modulators in terahertz communications. Full article
Show Figures

Figure 1

10 pages, 4465 KB  
Article
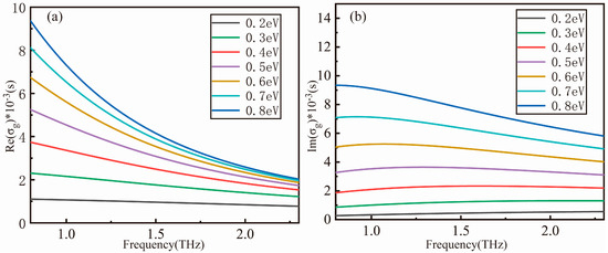
Dynamically Tunable Resonant Strength in Electromagnetically Induced Transparency (EIT) Analogue by Hybrid Metal-Graphene Metamaterials
by Chaode Lao, Yaoyao Liang, Xianjun Wang, Haihua Fan, Faqiang Wang, Hongyun Meng, Jianping Guo, Hongzhan Liu and Zhongchao Wei
Nanomaterials 2019, 9(2), 171; https://doi.org/10.3390/nano9020171 - 30 Jan 2019
Cited by 24 | Viewed by 4023
Abstract
In this paper, a novel method to realize a dynamically tunable analogue of EIT for the resonance strength rather than the resonance frequency is proposed in the terahertz spectrum. The introduced method is composed of a metal EIT-like structure, in which a distinct [...] Read more.
In this paper, a novel method to realize a dynamically tunable analogue of EIT for the resonance strength rather than the resonance frequency is proposed in the terahertz spectrum. The introduced method is composed of a metal EIT-like structure, in which a distinct EIT phenomenon resulting from the near field coupling between bright and dark mode resonators can be obtained, as well as an integrated monolayer graphene ribbon under the dark mode resonator that can continuously adjust the resonance strength of transparency peak by changing the Fermi level of the graphene. Comparing structures that need to be modulated individually for each unit cell of the metamaterials, the proposed modulation mechanism was convenient for achieving synchronous operations for all unit cells. This work demonstrates a new platform of modulating the EIT analogue and paves the way to design terahertz functional devices which meet the needs of optical networks and terahertz communications. Full article
Show Figures

Figure 1

12 pages, 2975 KB  
Article
Active Enhancement of Slow Light Based on Plasmon-Induced Transparency with Gain Materials
by Zhaojian Zhang, Junbo Yang, Xin He, Yunxin Han, Jingjing Zhang, Jie Huang, Dingbo Chen and Siyu Xu
Materials 2018, 11(6), 941; https://doi.org/10.3390/ma11060941 - 3 Jun 2018
Cited by 19 | Viewed by 4494
Abstract
As a plasmonic analogue of electromagnetically induced transparency (EIT), plasmon-induced transparency (PIT) has drawn more attention due to its potential of realizing on-chip sensing, slow light and nonlinear effect enhancement. However, the performance of a plasmonic system is always limited by the metal [...] Read more.
As a plasmonic analogue of electromagnetically induced transparency (EIT), plasmon-induced transparency (PIT) has drawn more attention due to its potential of realizing on-chip sensing, slow light and nonlinear effect enhancement. However, the performance of a plasmonic system is always limited by the metal ohmic loss. Here, we numerically report a PIT system with gain materials based on plasmonic metal-insulator-metal waveguide. The corresponding phenomenon can be theoretically analyzed by coupled mode theory (CMT). After filling gain material into a disk cavity, the system intrinsic loss can be compensated by external pump beam, and the PIT can be greatly fueled to achieve a dramatic enhancement of slow light performance. Finally, a double-channel enhanced slow light is introduced by adding a second gain disk cavity. This work paves way for a potential new high-performance slow light device, which can have significant applications for high-compact plasmonic circuits and optical communication. Full article
(This article belongs to the Special Issue New Horizon of Plasmonics and Metamaterials)
Show Figures

Figure 1

9 pages, 322 KB  
Article
Electromagnetically Induced Transparency in Symmetric Planar Metamaterial at THz Wavelengths
by Abdelwaheb Ourir, Bruno Gallas, Loic Becerra, Julien De Rosny and Pierre Richard Dahoo
Photonics 2015, 2(1), 308-316; https://doi.org/10.3390/photonics2010308 - 19 Mar 2015
Cited by 8 | Viewed by 7504
Abstract
We report the experimental observation and the evidence of the analogue of electromagnetically-induced transparency (EIT) in a symmetric planar metamaterial. This effect has been obtained in the THz range thanks to a destructive Fano-interference between the two first modes of an array of [...] Read more.
We report the experimental observation and the evidence of the analogue of electromagnetically-induced transparency (EIT) in a symmetric planar metamaterial. This effect has been obtained in the THz range thanks to a destructive Fano-interference between the two first modes of an array of multi-gap split ring resonators deposited on a silicon substrate. This structure is a planar thin film material with four-fold symmetry. Thanks to this property, a polarization-independent transmission has been achieved. The proposed metamaterial is well adapted to variety of slow-light applications in the infrared and optical range. Full article
(This article belongs to the Special Issue New Frontiers in Plasmonics and Metamaterials)
Show Figures

Figure 1

Back to TopTop