Sign in to use this feature.

Years

Between: -

Subjects

remove_circle_outline
remove_circle_outline

Journals

Article Types

Countries / Regions

Search Results (1)

Search Parameters:
Keywords = EHDCS-Net

Order results
Result details
Results per page
Select all
Export citation of selected articles as:
22 pages, 8940 KB  
Article
An Efficient Deep Learning-Based High-Definition Image Compressed Sensing Framework for Large-Scene Construction Site Monitoring
by Tuocheng Zeng, Jiajun Wang, Xiaoling Wang, Yunuo Zhang and Bingyu Ren
Sensors 2023, 23(5), 2563; https://doi.org/10.3390/s23052563 - 25 Feb 2023
Cited by 1 | Viewed by 2276
Abstract
High-definition images covering entire large-scene construction sites are increasingly used for monitoring management. However, the transmission of high-definition images is a huge challenge for construction sites with harsh network conditions and scarce computing resources. Thus, an effective compressed sensing and reconstruction method for [...] Read more.
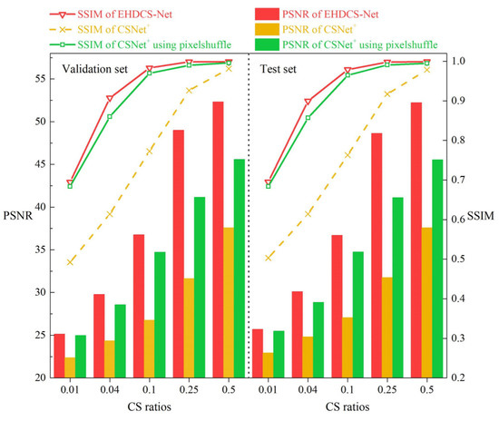
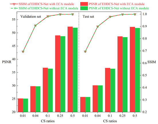
High-definition images covering entire large-scene construction sites are increasingly used for monitoring management. However, the transmission of high-definition images is a huge challenge for construction sites with harsh network conditions and scarce computing resources. Thus, an effective compressed sensing and reconstruction method for high-definition monitoring images is urgently needed. Although current deep learning-based image compressed sensing methods exhibit superior performance in recovering images from a reduced number of measurements, they still face difficulties in achieving efficient and accurate high-definition image compressed sensing with less memory usage and computational cost at large-scene construction sites. This paper investigated an efficient deep learning-based high-definition image compressed sensing framework (EHDCS-Net) for large-scene construction site monitoring, which consists of four parts, namely the sampling, initial recovery, deep recovery body, and recovery head subnets. This framework was exquisitely designed by rational organization of the convolutional, downsampling, and pixelshuffle layers based on the procedures of block-based compressed sensing. To effectively reduce memory occupation and computational cost, the framework utilized nonlinear transformations on downscaled feature maps in reconstructing images. Moreover, the efficient channel attention (ECA) module was introduced to further increase the nonlinear reconstruction capability on downscaled feature maps. The framework was tested on large-scene monitoring images from a real hydraulic engineering megaproject. Extensive experiments showed that the proposed EHDCS-Net framework not only used less memory and floating point operations (FLOPs), but it also achieved better reconstruction accuracy with faster recovery speed than other state-of-the-art deep learning-based image compressed sensing methods. Full article
(This article belongs to the Section Industrial Sensors)
Show Figures

Figure 1

Back to TopTop