Sign in to use this feature.

Years

Between: -

Subjects

remove_circle_outline
remove_circle_outline

Journals

Article Types

Countries / Regions

Search Results (1)

Search Parameters:
Keywords = DnaKJE-refolding

Order results
Result details
Results per page
Select all
Export citation of selected articles as:
20 pages, 5896 KB  
Article
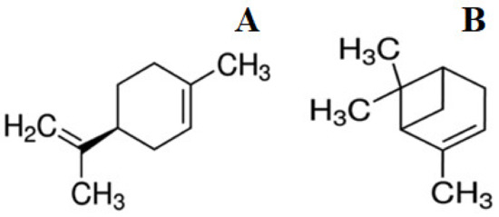
The Mode of Action of Cyclic Monoterpenes (−)-Limonene and (+)-α-Pinene on Bacterial Cells
by Olga E. Melkina, Vladimir A. Plyuta, Inessa A. Khmel and Gennadii B. Zavilgelsky
Biomolecules 2021, 11(6), 806; https://doi.org/10.3390/biom11060806 - 29 May 2021
Cited by 40 | Viewed by 4503
Abstract
A broad spectrum of volatile organic compounds’ (VOCs’) biological activities has attracted significant scientific interest, but their mechanisms of action remain little understood. The mechanism of action of two VOCs—the cyclic monoterpenes (−)-limonene and (+)-α-pinene—on bacteria was studied in this work. We used [...] Read more.
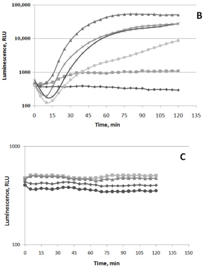
A broad spectrum of volatile organic compounds’ (VOCs’) biological activities has attracted significant scientific interest, but their mechanisms of action remain little understood. The mechanism of action of two VOCs—the cyclic monoterpenes (−)-limonene and (+)-α-pinene—on bacteria was studied in this work. We used genetically engineered Escherichia coli bioluminescent strains harboring stress-responsive promoters (responsive to oxidative stress, DNA damage, SOS response, protein damage, heatshock, membrane damage) fused to the luxCDABE genes of Photorhabdus luminescens. We showed that (−)-limonene induces the PkatG and PsoxS promoters due to the formation of reactive oxygen species and, as a result, causes damage to DNA (SOSresponse), proteins (heat shock), and membrane (increases its permeability). The experimental data indicate that the action of (−)-limonene at high concentrations and prolonged incubation time makes degrading processes in cells irreversible. The effect of (+)-α-pinene is much weaker: it induces only heat shock in the bacteria. Moreover, we showed for the first time that (−)-limonene completely inhibits the DnaKJE–ClpB bichaperone-dependent refolding of heat-inactivated bacterial luciferase in both E. coli wild type and mutant ΔibpB strains. (+)-α-Pinene partially inhibits refolding only in ΔibpB mutant strain. Full article
(This article belongs to the Section Natural and Bio-derived Molecules)
Show Figures

Figure 1

Back to TopTop