Sign in to use this feature.

Years

Between: -

Subjects

remove_circle_outline
remove_circle_outline
remove_circle_outline
remove_circle_outline

Journals

Article Types

Countries / Regions

Search Results (3)

Search Parameters:
Keywords = Carpesium abrotanoides

Order results
Result details
Results per page
Select all
Export citation of selected articles as:
12 pages, 1325 KB  
Article
In Vitro Anti-Influenza A Virus H1N1 Effect of Sesquiterpene-Rich Extracts of Carpesium abrotanoides
by Li Li, Shenghui Yang, Dilu Chen, Zhihuang Wu, Meijun Zhang, Fang Yang, Li Qin and Xiaojiang Zhou
Molecules 2022, 27(23), 8313; https://doi.org/10.3390/molecules27238313 - 29 Nov 2022
Cited by 3 | Viewed by 2538
Abstract
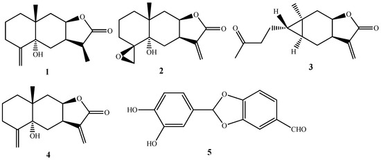
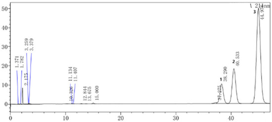
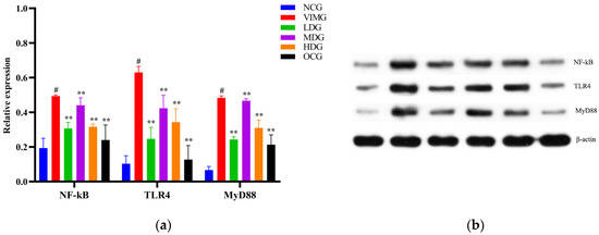
Due to a high content of sesquiterpenes, Carpesium abrotanoides has been investigated to fully explore its health-promoting properties. Therefore, this work aimed to assess, for the first time, the anti-influenza A virus H1N1 potential of sesquiterpene-targeted fractions of the herb derived from C. [...] Read more.
Due to a high content of sesquiterpenes, Carpesium abrotanoides has been investigated to fully explore its health-promoting properties. Therefore, this work aimed to assess, for the first time, the anti-influenza A virus H1N1 potential of sesquiterpene-targeted fractions of the herb derived from C. abrotanoides. Five compounds, including four sesquiterpenes and one aldehyde, were isolated and identified from the sesquiterpene-rich extracts of C. abrotanoides (SECA), and the contents of three main sesquiterpenes in the SECA were determined. Furthermore, SECA showed a significant protective effect in the MDCK cells infected with influenza A virus (H1N1) in three different conditions: premixed administration, prophylactic administration, and therapeutic administration. SECA can significantly decrease the mRNA expressions of TLR4, MyD88, NF-κB, TNF-α, and IL-6, as well as the protein expressions of TLR4, MyD88, and NF-κB. This result suggests that SECA can resist the influenza A virus H1N1 through the TLR4/MyD88/NF-κB signal pathway. Full article
(This article belongs to the Section Natural Products Chemistry)
Show Figures

Graphical abstract

44 pages, 12483 KB  
Review
Ethnobotanical Uses, Phytochemical Composition, Biosynthesis, and Pharmacological Activities of Carpesium abrotanoides L. (Asteraceae)
by Sabrin R. M. Ibrahim, Sana A. Fadil, Haifa A. Fadil, Rawan H. Hareeri, Hossam M. Abdallah and Gamal A. Mohamed
Plants 2022, 11(12), 1598; https://doi.org/10.3390/plants11121598 - 17 Jun 2022
Cited by 13 | Viewed by 3490
Abstract
Carpesium abrotanoides L. (Asteraceae) is a medicinal plant with immense therapeutic importance and bioactivities. It is commonly encountered in various Asian regions. It has numerous ethnomedicinal uses for curing diverse ailments such as toothache, stomach ulcer, boils, tonsillitis, bronchitis, bacterial infection, bruises, swelling, [...] Read more.
Carpesium abrotanoides L. (Asteraceae) is a medicinal plant with immense therapeutic importance and bioactivities. It is commonly encountered in various Asian regions. It has numerous ethnomedicinal uses for curing diverse ailments such as toothache, stomach ulcer, boils, tonsillitis, bronchitis, bacterial infection, bruises, swelling, virus infection, fever, and amygdalitis, as well as an anthelmintic versus round-, tape-, hook-, and pinworms. Different classes of phytoconstituents such as sesquiterpenes, sesquiterpene dimers, monoterpenes, and nitrogenous compounds have been reported from this plant. These phytoconstituents have proved to possess anti-inflammatory, cytotoxic, antimicrobial, and insecticidal capacities. The present review aims to summarize all published data on C. abrotanoides including traditional uses, phytoconstituents, bioactivities, and toxicological aspects, as well as the synthesis and biosynthesis of its metabolites through an extensive survey on various databases and various publishers. These reported data could draw the attention of various natural-metabolite-interested researchers and medicinal chemists towards the development of this plant and/or its metabolites into medicine for the prevention and treatment of certain illnesses. Despite the diverse traditional uses of C. abrotanoides, there is a need for scientific evidence to support these claims. Clinical trials are also required to further assure these data and validate this plant utilization in treating several diseases. Full article
(This article belongs to the Special Issue Biodiscoveries from Plants)
Show Figures

Figure 1

12 pages, 4440 KB  
Article
CLE-10 from Carpesium abrotanoides L. Suppresses the Growth of Human Breast Cancer Cells (MDA-MB-231) In Vitro by Inducing Apoptosis and Pro-Death Autophagy Via the PI3K/Akt/mTOR Signaling Pathway
by Li Tian, Fan Cheng, Lei Wang, Wen Qin, Kun Zou and Jianfeng Chen
Molecules 2019, 24(6), 1091; https://doi.org/10.3390/molecules24061091 - 20 Mar 2019
Cited by 23 | Viewed by 4600
Abstract
Background: The antitumor activity of CLE-10 (4-epi-isoinuviscolide), a sesquiterpene lactone compound, isolated from Carpesium abrotanoides L. has rarely been reported. The aim of this study is to investigate the antitumor activity of CLE-10 and give a greater explanation of its underlying mechanisms. Methods: [...] Read more.
Background: The antitumor activity of CLE-10 (4-epi-isoinuviscolide), a sesquiterpene lactone compound, isolated from Carpesium abrotanoides L. has rarely been reported. The aim of this study is to investigate the antitumor activity of CLE-10 and give a greater explanation of its underlying mechanisms. Methods: The cytotoxicity of CLE-10 was evaluated using MTT assay. Autophagy was detected by the formation of mRFP-GFP-LC3 fluorescence puncta and observed using transmission electron microscopy, while flow cytometry was employed to detect apoptosis. The protein expressions were detected through Western blotting. Results: CLE-10 induced pro-death autophagy and apoptosis in MDA-MB-231 cells by increasing the protein expression of LC3-II, p-ULK1, Bax, and Bad, as well as downregulating p-PI3K, p-Akt, p-mTOR, p62, LC3-I, Bcl-2, and Bcl-xl. CLE-10 that was pretreated with 3-methyladenine (3-MA) or chloroquine (CQ) weakened the upregulation of the protein expression of p-ULK1, or the downregulation of p62, p-mTOR, and decreased the level of cytotoxicity against MDA-MB-231 cells. Meanwhile, rapamycin enhanced the effect of CLE-10 on the expression of autophagy-related protein and its cytotoxicity, with the IC50 value of CLE-10 decreasing from 4.07 µM to 2.38 µM. Conclusion: CLE-10 induced pro-death autophagy and apoptosis in MDA-MB-231 cells by upregulating the protein expressions of LC3-II, p-ULK1, Bax, and Bad and downregulating p-PI3K, p-Akt, p-mTOR, p62, Bcl-2, and Bcl-xl. Full article
(This article belongs to the Special Issue Antitumoral Properties of Natural Products)
Show Figures

Graphical abstract

Back to TopTop