Sign in to use this feature.

Years

Between: -

Subjects

remove_circle_outline
remove_circle_outline

Journals

Article Types

Countries / Regions

Search Results (1)

Search Parameters:
Keywords = Ardisia lindleyana D. Dietr

Order results
Result details
Results per page
Select all
Export citation of selected articles as:
14 pages, 1229 KB  
Article
Absolute Configuration and Biological Evaluation of Novel Triterpenes as Possible Anti-Inflammatory or Anti-Tumor Agents
by Zhenzhen Wei, Tiqiang Zhou, Ziming Xia, Sifan Liu, Min Li, Guangjie Zhang, Ying Tian, Bin Li, Lin Wang and Shuchen Liu
Molecules 2022, 27(19), 6641; https://doi.org/10.3390/molecules27196641 - 6 Oct 2022
Cited by 4 | Viewed by 2206
Abstract
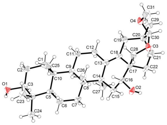
Two new compounds, ardisiapunine B (1) and ardisiapunine C (2), were isolated from Ardisia lindleyana D. Dietr. Their structures were examined using HR–ESI–MS, IR, (1D, 2D) NMR spectroscopic analyses, single–crystal X–ray diffraction, and ECD calculation. It was found that [...] Read more.
Two new compounds, ardisiapunine B (1) and ardisiapunine C (2), were isolated from Ardisia lindleyana D. Dietr. Their structures were examined using HR–ESI–MS, IR, (1D, 2D) NMR spectroscopic analyses, single–crystal X–ray diffraction, and ECD calculation. It was found that the two new compounds belong to unusual oleanane-type triterpenes, with compound 1 bearing an acetal unit and a C–13–C–18 double bond, and compound 2 bearing a C–28 aldehyde group and a C–18–C–19 double bond. The anti-inflammatory properties of compounds 1 and 2 were tested on NO production and cellular morphology using RAW264.7 cells, and their anti-tumor properties were tested on cytotoxic activities, cellular morphology, cell apoptosis, and cell cycle. The results showed that compound 1 exhibited a potent cytotoxicity against HepG2 cell lines with an IC50 of 12.40 μM. Furthermore, it is possible that compound 1 inhibits cell proliferation by blocking the cell G2/M phase and promoting cell apoptosis. Compound 2 exhibited a potential anti-inflammatory activity by decreasing the production of NO in LPS–stimulated RAW264.7 cells. Comparative analysis of the structures of compounds 1 and 2 revealed that the acetal structure and double bond positions were the main differences between them, and these are presumed to be the main reasons for the extreme differences in their cytotoxicity and anti-inflammatory activities. From these new findings, two promising lead compounds were identified for the future development of potential anti–inflammatory or anti–tumor agents. Full article
Show Figures

Figure 1

Back to TopTop