Respiratory Virus-Specific and Time-Dependent Interference of Adenovirus Type 2, SARS-CoV-2 and Influenza Virus H1N1pdm09 During Viral Dual Co-Infection and Superinfection In Vitro
Abstract
1. Introduction
2. Materials and Methods
2.1. Cells and Viruses
2.2. Infection Experiments
2.2.1. Co-Infections
2.2.2. Superinfections
2.3. RNA Extraction, Reverse Transcription and Real-Time PCR
2.4. DNA Extraction and Real-Time PCR
2.5. Cytokine mRNA Expression Studies
2.6. Statistical Analysis
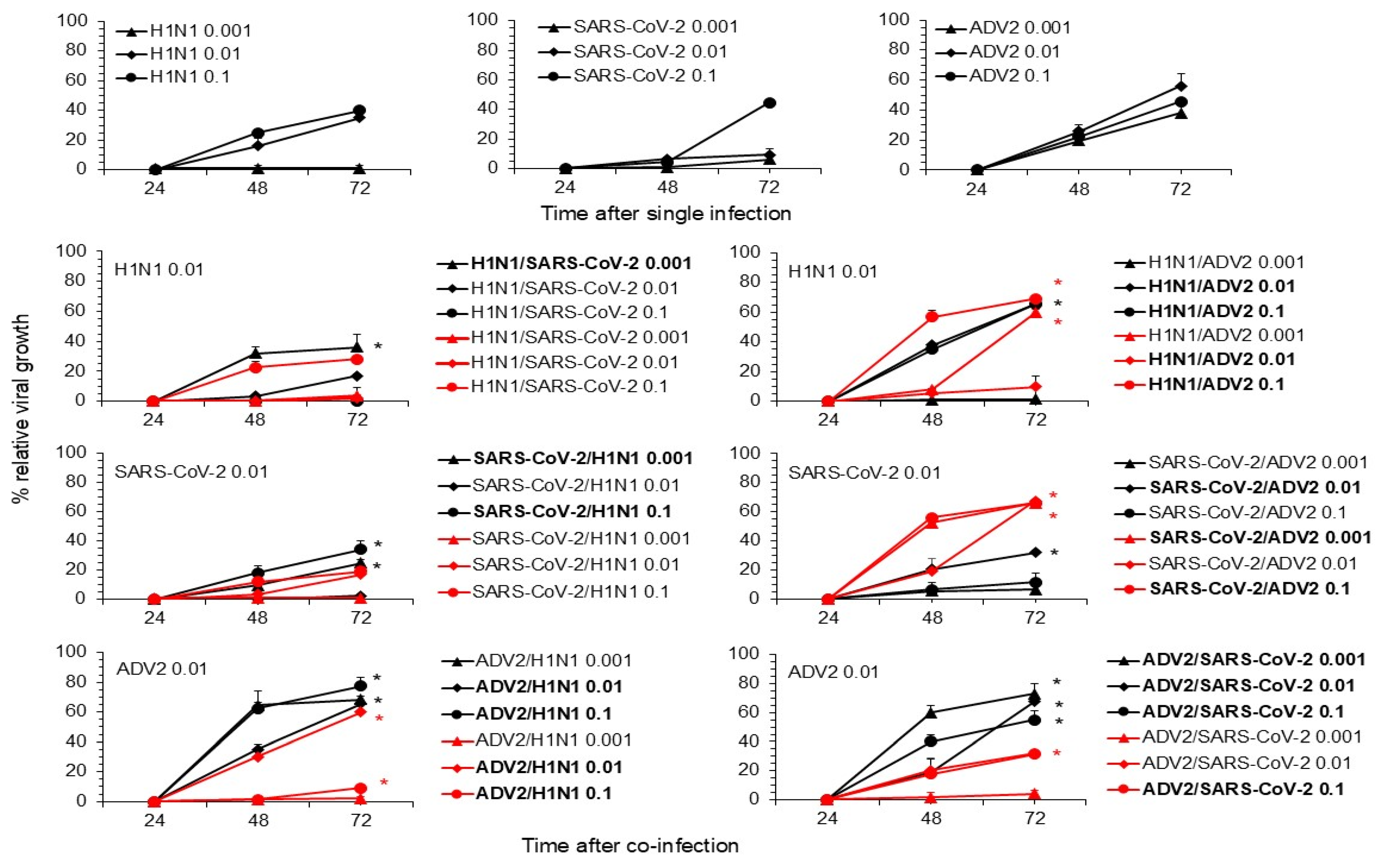
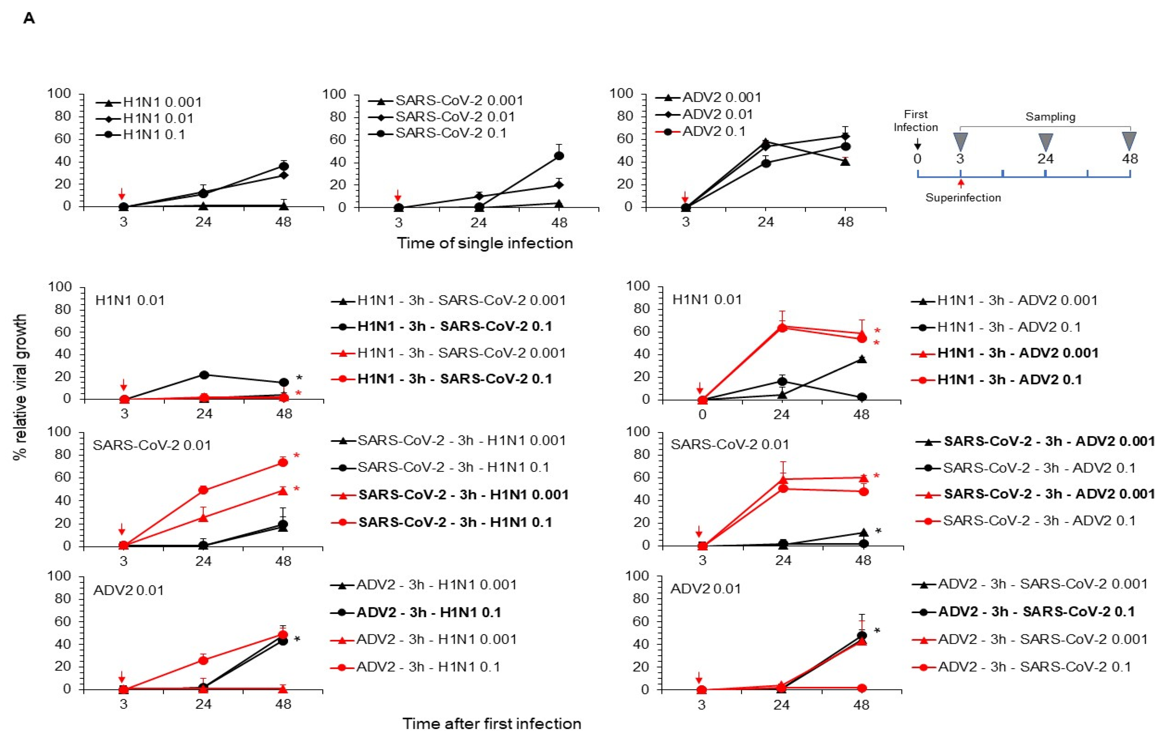
3. Results
3.1. Kinetic of Virus Replication in Co-Infection and Superinfection
3.2. Cytokine mRNA Expression Profiles During Co-Infection and Superinfection
4. Discussion
Author Contributions
Funding
Institutional Review Board Statement
Informed Consent Statement
Data Availability Statement
Acknowledgments
Conflicts of Interest
References
- Moriyama, M.; Hugentobler, W.J.; Iwasaki, A. Seasonality of respiratory viral infections. Annu. Rev. Virol. 2020, 7, 83–101. [Google Scholar] [CrossRef] [PubMed]
- Clementi, N.; Ghosh, S.; De Santis, M.; Castelli, M.; Criscuolo, E.; Zanoni, I.; Clementi, M.; Mancini, N. Viral respiratory pathogens and lung injury. Clin. Microbiol. Rev. 2021, 34, e00103-20. [Google Scholar] [CrossRef] [PubMed]
- Zhang, A.J.; Lee, A.C.; Chan, J.F.; Liu, F.; Li, C.; Chen, Y.; Chu, H.; Lau, S.Y.; Wang, P.; Chan, C.C.; et al. Coinfection by severe acute respiratory syndrome coronavirus 2 and influenza A(H1N1)pdm09 virus enhances the severity of pneumonia in golden syrian hamsters. Clin. Infect. Dis. 2021, 72, e978–e992. [Google Scholar] [CrossRef]
- Li, Z.; Chen, Z.M.; Chen, L.D.; Zhan, Y.Q.; Li, S.Q.; Cheng, J.; Zhu, A.R.; Chen, L.Y.; Zhong, N.S.; Li, S.Y.; et al. Coinfection with SARS-CoV-2 and other respiratory pathogens in patients with COVID-19 in Guangzhou, China. J. Med. Virol. 2020, 92, 2381–2383. [Google Scholar] [CrossRef]
- Maltezou, H.C.; Papanikolopoulou, A.; Vassiliu, S.; Theodoridou, K.; Nikolopoulou, G.; Sipsas, N.V. COVID-19 and respiratory virus co-infections: A systematic review of the literature. Viruses 2023, 15, 865. [Google Scholar] [CrossRef]
- Akdag, A.I.; Gupta, S.; Khan, N.; Upadhayay, A.; Ray, P. Epidemiology and clinical features of rotavirus, adenovirus, and astrovirus infections and coinfections in children with acute gastroenteritis prior to rotavirus vaccine introduction in Meerut, North India. J. Med. Virol. 2020, 92, 1102–1109. [Google Scholar] [CrossRef] [PubMed]
- Arguni, E.; Supriyati, E.; Hakim, M.S.; Daniwijaya, E.W.; Makrufardi, F.; Rahayu, A.; Rovik, A.; Saraswati, U.; Oktoviani, F.N.; Prastiwi, N.; et al. Co-infection of SARS-CoV-2 with other viral respiratory pathogens in Yogyakarta, Indonesia: A cross-sectional study. Ann. Med. Surg. 2022, 77, 103676. [Google Scholar] [CrossRef] [PubMed]
- Westbrook, A.; Wang, T.; Bhakta, K.; Sullivan, J.; Gonzalez, M.D.; Lam, W.; Rostad, C.A. Respiratory coinfections in children with SARS-CoV-2. Pediatr. Infect. Dis. J. 2023, 42, 774–780. [Google Scholar] [CrossRef] [PubMed]
- Zhu, X.; Ge, Y.; Wu, T.; Zhao, K.; Chen, Y.; Wu, B.; Zhu, F.; Zhu, B.; Cui, L. Co-infection with respiratory pathogens among COVID-2019 cases. Virus Res. 2020, 285, 198005. [Google Scholar] [CrossRef]
- Davido, B.; Lemarie, B.; Gault, E.; Pepin, M.; Jaffal, K.; Beaune, S.; Dahmane, L.; Dumoulin, J.; Greffe, S.; Annane, D.; et al. Superinfection is associated with short-term outcome and mortality in viral respiratory tract infections during the fall-winter seasons 2016–2018 in the Greater Paris area: The SUPERFLUOUS study: Outcomes of viral infections. Int. J. Infect. Dis. 2022, 119, 217–224. [Google Scholar] [CrossRef]
- Naranje, P.; Bhalla, A.S.; Jana, M.; Garg, M.; Nair, A.D.; Singh, S.K.; Banday, I. Imaging of pulmonary superinfections and co-infections in COVID-19. Curr. Probl. Diagn. Radiol. 2022, 51, 768–778. [Google Scholar] [CrossRef]
- Del Pozo, J.L. Respiratory co-and superinfections in COVID-19. Rev. Esp. Quimioter. 2021, 34 (Suppl. S1), 69–71. [Google Scholar] [CrossRef] [PubMed]
- Rezaee, D.; Bakhtiari, S.; Jalilian, F.A.; Doosti-Irani, A.; Asadi, F.T.; Ansari, N. Coinfection with severe acute respiratory syndrome coronavirus 2 (SARS-CoV-2) and influenza virus during the COVID-19 pandemic. Arch. Virol. 2023, 168, 53. [Google Scholar] [CrossRef]
- Alosaimi, B.; Naeem, A.; Hamed, M.E.; Alkadi, H.S.; Alanazi, T.; Al Rehily, S.S.; Almutairi, A.Z.; Zafar, A. Influenza co-infection associated with severity and mortality in COVID-19 patients. Virol. J. 2021, 18, 127. [Google Scholar] [CrossRef] [PubMed]
- Bai, L.; Zhao, Y.; Dong, J.; Liang, S.; Guo, M.; Liu, X.; Wang, X.; Huang, Z.; Sun, X.; Zhang, Z.; et al. Coinfection with influenza A virus enhances SARS-CoV-2 infectivity. Cell Res. 2021, 31, 395–403. [Google Scholar] [CrossRef]
- Kim, E.H.; Nguyen, T.Q.; Casel, M.A.B.; Rollon, R.; Kim, S.M.; Kim, Y.I.; Yu, K.M.; Jang, S.G.; Yang, J.; Poo, H.; et al. Coinfection with SARS-CoV-2 and influenza A virus increases disease severity and impairs neutralizing antibody and CD4+ T cell responses. J. Virol. 2022, 96, e0187321. [Google Scholar] [CrossRef]
- Fage, C.; Hénaut, M.; Carbonneau, J.; Piret, J.; Boivin, G. Influenza A(H1N1)pdm09 Virus but Not Respiratory Syncytial Virus Interferes with SARS-CoV-2 Replication during sequential infections in human nasal epithelial cells. Viruses 2022, 14, 395. [Google Scholar] [CrossRef] [PubMed]
- Reijnders, T.D.Y.; Schuurman, A.R.; van der Poll, T. The immune response to respiratory viruses: From start to memory. Semin. Respir. Crit. Care Med. 2021, 42, 759–770. [Google Scholar] [CrossRef]
- Gambadauro, A.; Galletta, F.; Li Pomi, A.; Manti, S.; Piedimonte, G. Immune response to respiratory viral Infections. Int. J. Mol. Sci. 2024, 25, 6178. [Google Scholar] [CrossRef]
- Heinonen, S.; Rodriguez-Fernandez, R.; Diaz, A.; Oliva Rodriguez-Pastor, S.; Ramilo, O.; Mejias, A. Infant immune response to respiratory viral infections. Immunol. Allergy Clin. N. Am. 2019, 39, 361–376. [Google Scholar] [CrossRef]
- Kikkert, M. Innate immune evasion by human respiratory RNA viruses. J. Innate Immun. 2020, 12, 4–20. [Google Scholar] [CrossRef] [PubMed]
- Barman, T.K.; Racine, R.; Bonin, J.L.; Califano, D.; Salmon, S.L.; Metzger, D.W. Sequential targeting of interferon pathways for increased host resistance to bacterial superinfection during influenza. PLoS Pathog. 2021, 17, e1009405. [Google Scholar] [CrossRef]
- Hartshorn, K.L. Innate immunity and influenza A virus pathogenesis: Lessons for COVID-19. Front. Cell. Infect. Microbiol. 2020, 10, 563850. [Google Scholar] [CrossRef] [PubMed]
- Gusev, E.; Sarapultsev, A.; Solomatina, L.; Chereshnev, V. SARS-CoV-2-Specific immune response and the pathogenesis of COVID-19. Int. J. Mol. Sci. 2022, 23, 1716. [Google Scholar] [CrossRef]
- Su, G.; Chen, Y.; Li, X.; Shao, J.W. Virus versus host: Influenza A virus circumvents the immune responses. Front. Microbiol. 2024, 15, 1394510. [Google Scholar] [CrossRef] [PubMed]
- Javanian, M.; Barary, M.; Ghebrehewet, S.; Koppolu, V.; Vasigala, V.; Ebrahimpour, S. A brief review of influenza virus infection. J. Med. Virol. 2021, 93, 4638–4646. [Google Scholar] [CrossRef]
- Kim, H.; Webster, R.G.; Webby, R.J. Influenza virus: Dealing with a drifting and shifting pathogen. Viral. Immunol. 2018, 31, 174–183. [Google Scholar] [CrossRef]
- Ison, M.G.; Hayden, R.T. Adenovirus. Microbiol. Spectr. 2016, 4, DMIH2-0020-2015. [Google Scholar] [CrossRef] [PubMed]
- Lynch, J.P., 3rd; Fishbein, M.; Echavarria, M. Adenovirus. Semin. Respir. Crit. Care Med. 2011, 32, 494–511. [Google Scholar] [CrossRef] [PubMed]
- Lynch, J.P., 3rd; Kajon, A.E. Adenovirus: Epidemiology, global spread of novel serotypes, and advances in treatment and prevention. Semin. Respir. Crit. Care Med. 2016, 37, 586–602. [Google Scholar] [CrossRef]
- Hu, B.; Guo, H.; Zhou, P.; Shi, Z.L. Characteristics of SARS-CoV-2 and COVID-19. Nat. Rev. Microbiol. 2021, 19, 141–154, Erratum in Nat. Rev. Microbiol. 2022, 20, 315. [Google Scholar] [CrossRef]
- V’kovski, P.; Kratzel, A.; Steiner, S.; Stalder, H.; Thiel, V. Coronavirus biology and replication: Implications for SARS-CoV-2. Nat. Rev. Microbiol. 2021, 19, 155–170. [Google Scholar] [CrossRef]
- Kirtipal, N.; Bharadwaj, S.; Kang, S.G. From SARS to SARS-CoV-2, insights on structure, pathogenicity and immunity aspects of pandemic human coronaviruses. Infect. Genet. Evol. 2020, 85, 104502. [Google Scholar] [CrossRef]
- Ishiguro, T.; Kobayashi, Y.; Shimizu, Y.; Uemura, Y.; Isono, T.; Takano, K.; Nishida, T.; Kobayashi, Y.; Hosoda, C.; Takaku, Y.; et al. Frequency and Significance of Coinfection in Patients with COVID-19 at Hospital Admission. Intern. Med. 2021, 60, 3709–3719. [Google Scholar] [CrossRef] [PubMed]
- Ma, L.; Wang, W.; Le Grange, J.M.; Wang, X.; Du, S.; Li, C.; Wei, J.; Zhang, J.N. Coinfection of SARS-CoV-2 and other respiratory Pathogens. Infect. Drug. Resist. 2020, 13, 3045–3053. [Google Scholar] [CrossRef] [PubMed]
- Boschi, C.; Hoang, V.T.; Giraud-Gatineau, A.; Ninove, L.; Lagier, J.C.; La Scola, B.; Gautret, P.; Raoult, D.; Colson, P. Coinfections with SARS-CoV-2 and other respiratory viruses in Southeastern France: A matter of sampling time. J. Med. Virol. 2021, 93, 1878–1881. [Google Scholar] [CrossRef]
- Uhteg, K.; Amadi, A.; Forman, M.; Mostafa, H.H. Circulation of Non-SARS-CoV-2 Respiratory pathogens and coinfection with SARS-CoV-2 amid the COVID-19 pandemic. Open Forum. Infect. Dis. 2022, 9, ofab618. [Google Scholar] [CrossRef]
- Cooksey, G.L.S.; Morales, C.; Linde, L.; Schildhauer, S.; Guevara, H.; Chan, E.; Gibb, K.; Wong, J.; Lin, W.; Bonin, B.J.; et al. Severe acute respiratory syndrome coronavirus 2 and respiratory virus sentinel surveillance, California, USA, May 10, 2020–June 12, 2021. Emerg. Infect. Dis. 2022, 28, 9–19. [Google Scholar] [CrossRef] [PubMed]
- Krumbein, H.; Kümmel, L.S.; Fragkou, P.C.; Thölken, C.; Hünerbein, B.L.; Reiter, R.; Papathanasiou, K.A.; Renz, H.; Skevaki, C. Respiratory viral co-infections in patients with COVID-19 and associated outcomes: A systematic review and meta-analysis. Rev. Med. Virol. 2023, 33, e2365. [Google Scholar] [CrossRef]
- Huang, Y.; Skarlupka, A.L.; Jang, H.; Blas-Machado, U.; Holladay, N.; Hogan, R.J.; Ross, T.M. SARS-CoV-2 and influenza A virus coinfections in ferrets. J. Virol. 2022, 96, e0179121. [Google Scholar] [CrossRef] [PubMed]
- Peng, J.Y.; Shin, D.L.; Li, G.; Wu, N.H.; Herrler, G. Time-dependent viral interference between influenza virus and coronavirus in the infection of differentiated porcine airway epithelial cells. Virulence 2021, 12, 1111–1121. [Google Scholar] [CrossRef]
- Motta, J.C.; Gómez, C.C. Adenovirus and novel coronavirus (SARS-CoV-2) coinfection: A case report. IDCases 2020, 22, e00936. [Google Scholar] [CrossRef] [PubMed]
- Qiu, S.; Zeng, G.; Li, P.; Li, X.; Liu, H.; Du, X.; Liu, H.; Zhang, H.; Xiang, X.; Wang, H.; et al. Pneumonia patients caused by co-infection with SARS-CoV-2 and human Adenovirus in china. Front. Med. 2021, 8, 735779. [Google Scholar] [CrossRef] [PubMed]
- Oishi, K.; Horiuchi, S.; Minkoff, J.M.; tenOever, B.R. The host response to influenza A virus interferes with SARS-CoV-2 replication during Coinfection. J. Virol. 2022, 96, e0076522. [Google Scholar] [CrossRef] [PubMed]
- Dai, Y.; Zhong, J.; Lan, Y.; Zhao, X. Virus-virus interactions of febrile respiratory syndrome among patients in china based on surveillance data from February 2011 to December 2020. J. Med. Virol. 2022, 94, 4369–4377. [Google Scholar] [CrossRef]
- Tran, Q.L.; Benitez, G.; Shehadeh, F.; Kaczynski, M.; Mylonakis, E. Clinical outcomes associated with SARS-CoV-2 co-infection with rhinovirus and adenovirus in adults-A retrospective matched cohort study. Int. J. Environ. Res. Public Health 2022, 20, 646. [Google Scholar] [CrossRef]
- Essaidi-Laziosi, M.; Geiser, J.; Huang, S.; Constant, S.; Kaiser, L.; Tapparel, C. Interferon-dependent and respiratory virus-specific interference in dual infections of airway epithelia. Sci. Rep. 2020, 10, 10246, Erratum in Sci. Rep. 2020, 10, 12523. https://doi.org/10.1038/s41598-020-69600-z. [Google Scholar] [CrossRef] [PubMed]
- Van Den Eeckhout, B.; Ballegeer, M.; De Clercq, J.; Burg, E.; Saelens, X.; Vandekerckhove, L.; Gerlo, S. Rethinking IL-1 Antagonism in respiratory viral Infections: A role for IL-1 signaling in the development of antiviral T Cell immunity. Int. J. Mol. Sci. 2023, 24, 15770. [Google Scholar] [CrossRef] [PubMed]
- Song, B.; Sheng, X.; Justice, J.L.; Lum, K.K.; Metzger, P.J.; Cook, K.C.; Kostas, J.C.; Cristea, I.M. Intercellular communication within the virus microenvironment affects the susceptibility of cells to secondary viral infections. Sci. Adv. 2023, 9, eadg3433. [Google Scholar] [CrossRef] [PubMed]
- Kohlmeier, J.E.; Woodland, D.L. Immunity to respiratory viruses. Annu. Rev. Immunol. 2009, 27, 61–82. [Google Scholar] [CrossRef] [PubMed]
- Svyatchenko, V.A.; Ternovoi, V.A.; Lutkovskiy, R.Y.; Protopopova, E.V.; Gudymo, A.S.; Danilchenko, N.V.; Susloparov, I.M.; Kolosova, N.P.; Ryzhikov, A.B.; Taranov, O.S.; et al. Human Adenovirus and influenza A virus exacerbate SARS-CoV-2 infection in animal models. Microorganisms 2023, 11, 180. [Google Scholar] [CrossRef] [PubMed]
- Piret, J.; Boivin, G. Viral interference between respiratory viruses. Emerg. Infect. Dis. 2022, 28, 273–281. [Google Scholar] [CrossRef] [PubMed]
- Tarasova, O.; Petrou, A.; Ivanov, S.M.; Geronikaki, A.; Poroikov, V. Viral factors in modulation of host immune response: A route to novel antiviral agents and new therapeutic approaches. Int. J. Mol. Sci. 2024, 25, 9408. [Google Scholar] [CrossRef]






| Type of Infection | Effect on Virus Replication a | Effect on Fold Changes b | ||
|---|---|---|---|---|
| IL-1α | IL-6 | INFα | ||
| Co-Infection | ||||
| H1N1-SARS-CoV-2 | H1N1 ↑/SARS-CoV-2↑ | ↓/↑ | ↓/↑ | ↓/None |
| H1N1-AdV2 | H1N1 ↑/AdV2 ↑ | ↑/↓ | ↑/None | ↑/↓ |
| AdV2-SARS-CoV-2 | AdV2 ↑/SARS-CoV-2↓ | ↓/↑(−0.95 p = 0.047) | ↓ (−0.97 p = 0.003)/↑ (−0.95 p = 0.047) | ↓ (−0.96 p = 0.003)/↑ |
| Superinfection at 3 h | ||||
| H1N1 3 h SARS-CoV-2 | H1N1 ↓ | ↓ (0.99 p = 0.002) | ↑ (−0.98 p = 0.001) | ↓ (0.99 p = 0.001) |
| H1N1 3 h AdV2 | None | Nd | Nd | Nd |
| SARS-CoV-2 3 h H1N1 | None | Nd | Nd | Nd |
| SARS-CoV-2 3 h AdV2 | SARS-CoV-2↓ | ↑ (−0.94 p = 0.05) | ↑ (−0.95 p = 0.04) | ↓ |
| AdV2 3 h H1N1 | AdV2 ↓ | ↓ | None | ↓ (0.99 p = 0.001) |
| AdV2 3 h SARS-CoV-2 | AdV2 ↓ | ↓ (0.99 p = 0.003) | ↓ (0.99 p = 0.001) | ↓ (0.99 p = 0.001) |
| Superinfection at 24 h | ||||
| H1N1 24 h SARS-CoV-2 | H1N1 ↑ | ↓ (−0.99 p = 0.008) | ↓ (−0.99 p = 0.005) | ↓ (0.99 p = 0.008) |
| H1N1 24 h AdV2 | H1N1 ↓ | ↑ (−0.99 p = 0.002) | ↓ (0.99 p = 0.005) | ↓ (0.99 p = 0.005) |
| SARS-CoV-2 24 h H1N1 | SARS-CoV-2 ↓ | ↑ (−0.98 p = 0.01) | None | ↓ |
| SARS-CoV-2 24 h AdV2 | SARS-CoV-2 ↓ | ↑ | ↑ | ↓ |
| AdV2 24 h H1N1 | AdV2 ↑ | ↑ | ↑ (0.99 p = 0.04) | ↑ |
| AdV2 24 h SARS-CoV-2 | AdV2 ↑ | ↑ (0.97 p = 0.02) | ↓ (−0.96 p = 0.003) | ↑ (0.97 p = 0.02) |
Disclaimer/Publisher’s Note: The statements, opinions and data contained in all publications are solely those of the individual author(s) and contributor(s) and not of MDPI and/or the editor(s). MDPI and/or the editor(s) disclaim responsibility for any injury to people or property resulting from any ideas, methods, instructions or products referred to in the content. |
© 2024 by the authors. Licensee MDPI, Basel, Switzerland. This article is an open access article distributed under the terms and conditions of the Creative Commons Attribution (CC BY) license (https://creativecommons.org/licenses/by/4.0/).
Share and Cite
Stincarelli, M.A.; Arvia, R.; Guidotti, B.; Giannecchini, S. Respiratory Virus-Specific and Time-Dependent Interference of Adenovirus Type 2, SARS-CoV-2 and Influenza Virus H1N1pdm09 During Viral Dual Co-Infection and Superinfection In Vitro. Viruses 2024, 16, 1947. https://doi.org/10.3390/v16121947
Stincarelli MA, Arvia R, Guidotti B, Giannecchini S. Respiratory Virus-Specific and Time-Dependent Interference of Adenovirus Type 2, SARS-CoV-2 and Influenza Virus H1N1pdm09 During Viral Dual Co-Infection and Superinfection In Vitro. Viruses. 2024; 16(12):1947. https://doi.org/10.3390/v16121947
Chicago/Turabian StyleStincarelli, Maria Alfreda, Rosaria Arvia, Bernardo Guidotti, and Simone Giannecchini. 2024. "Respiratory Virus-Specific and Time-Dependent Interference of Adenovirus Type 2, SARS-CoV-2 and Influenza Virus H1N1pdm09 During Viral Dual Co-Infection and Superinfection In Vitro" Viruses 16, no. 12: 1947. https://doi.org/10.3390/v16121947
APA StyleStincarelli, M. A., Arvia, R., Guidotti, B., & Giannecchini, S. (2024). Respiratory Virus-Specific and Time-Dependent Interference of Adenovirus Type 2, SARS-CoV-2 and Influenza Virus H1N1pdm09 During Viral Dual Co-Infection and Superinfection In Vitro. Viruses, 16(12), 1947. https://doi.org/10.3390/v16121947

