Precision in Tear Fluid Biomarker Discovery: Quantitative Proteomic Profiling of Small-Volume, Individual Samples Using Capillary Tube Collection
Abstract
1. Introduction
2. Materials and Methods
2.1. Sample Collection
2.2. In-Solution Protein Digestion
2.3. LC-MS/MS
2.4. Protein Identification and Analysis
2.5. Statistical Analysis
2.6. Selection of Optimal Protocol
3. Results
3.1. Protein and Peptide Yield
3.2. Unique Protein Identification
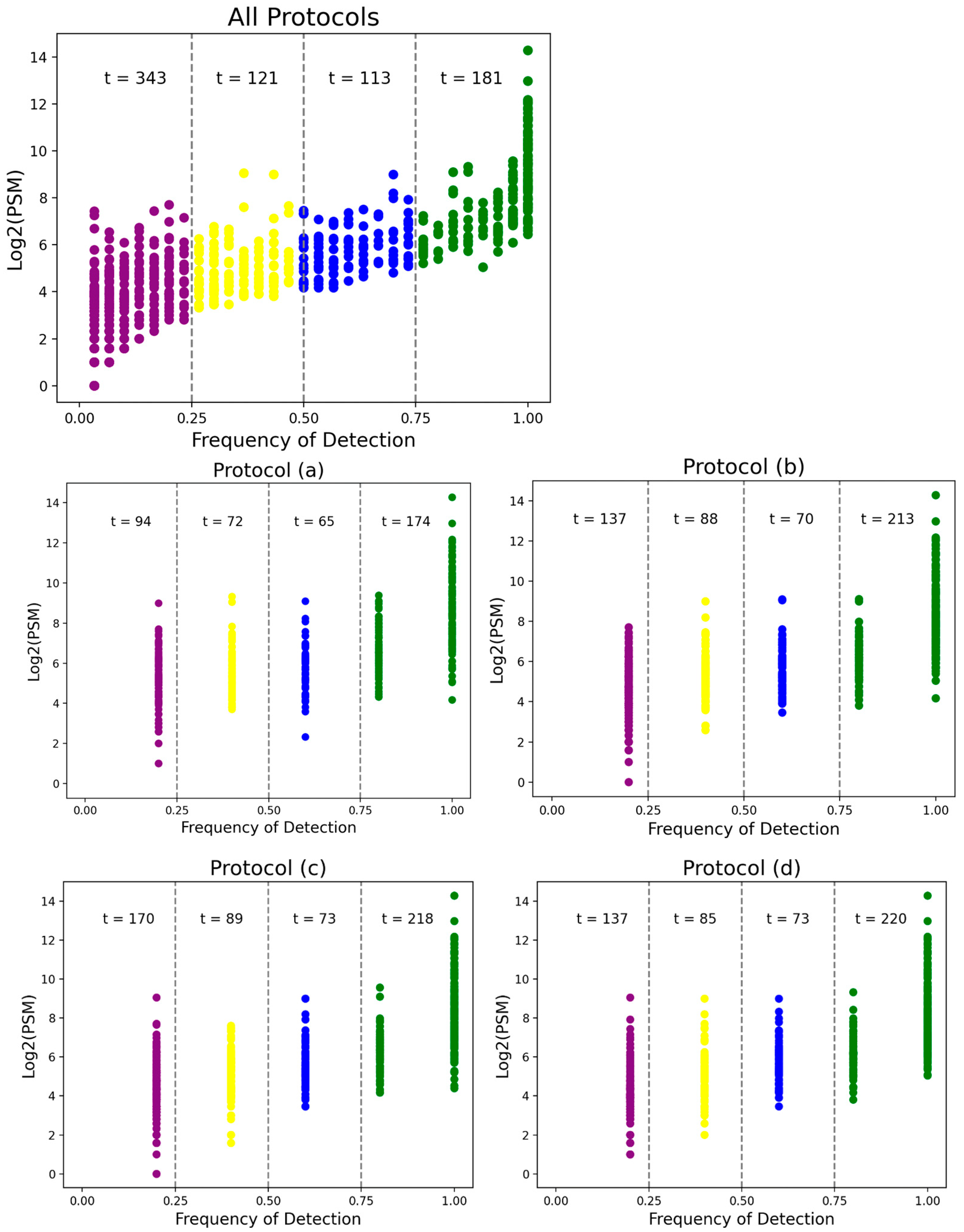
3.3. Frequency of Detection
3.4. Protocol Variance
3.5. Protocol Selection
3.6. Comparison of Pooled and Individual Samples
3.7. Gene Ontology (GO) Enrichment Analysis and Tear Protein Classification
4. Discussion
Supplementary Materials
Author Contributions
Funding
Institutional Review Board Statement
Informed Consent Statement
Data Availability Statement
Acknowledgments
Conflicts of Interest
References
- Li, N.; Wang, N.; Zheng, J.; Liu, X.M.; Lever, O.W.; Erickson, P.M.; Li, L. Characterization of Human Tear Proteome Using Multiple Proteomic Analysis Techniques. J. Proteome Res. 2005, 4, 2052–2061. [Google Scholar] [CrossRef]
- Hagan, S.; Martin, E.; Enríquez-de-Salamanca, A. Tear fluid biomarkers in ocular and systemic disease: Potential use for predictive, preventive and personalized medicine. EPMA J. 2016, 7, 15. [Google Scholar] [CrossRef]
- Murube, J. Basal, Reflex, and Psycho-emotional Tears. Ocul. Surf. 2009, 7, 60–66. [Google Scholar] [CrossRef] [PubMed]
- Bron, A.J.; Tomlinson, A.; Foulks, G.N.; Pepose, J.S.; Baudouin, C.; Geerling, G.; Nichols, K.K.; Lemp, M.A. Rethinking dry eye disease: A perspective on clinical implications. Ocul. Surf. 2014, 12 (Suppl. S2), S1–S31. [Google Scholar] [CrossRef]
- Dartt, D.A.; Hodges, R.R.; Zoukhri, D. Tears and Their Secretion. In Advances in Organ Biology; Fischbarg, J., Ed.; Elsevier: Amsterdam, The Netherlands, 2005; Volume 10, pp. 21–82. [Google Scholar] [CrossRef]
- Aluru, S.V.; Agarwal, S.; Srinivasan, B.; Iyer, G.K.; Rajappa, S.M.; Tatu, U.; Padmanabhan, P.; Subramanian, N.; Narayanasamy, A. Lacrimal Proline Rich 4 (LPRR4) Protein in the Tear Fluid Is a Potential Biomarker of Dry Eye Syndrome. PLoS ONE 2012, 7, e51979. [Google Scholar] [CrossRef] [PubMed]
- Srinivasan, S.; Thangavelu, M.; Zhang, L.; Green, K.B.; Nichols, K.K. iTRAQ Quantitative Proteomics in the Analysis of Tears in Dry Eye Patients. Investig. Ophthalmol. Vis. Sci. 2012, 53, 5052–5059. [Google Scholar] [CrossRef]
- Csősz, É.; Boross, P.; Csutak, A.; Berta, A.; Tóth, F.; Póliska, S.; Török, Z.; Tőzsér, J. Quantitative analysis of proteins in the tear fluid of patients with diabetic retinopathy. J. Proteom. 2012, 75, 2196–2204. [Google Scholar] [CrossRef] [PubMed]
- Kim, H.-J.; Kim, P.-K.; Yoo, H.-S.; Kim, C.-W. Comparison of tear proteins between healthy and early diabetic retinopathy patients. Clin. Biochem. 2012, 45, 60–67. [Google Scholar] [CrossRef]
- Boerger, M.; Funke, S.; Leha, A.; Roser, A.-E.; Wuestemann, A.-K.; Maass, F.; Bähr, M.; Grus, F.; Lingor, P. Proteomic analysis of tear fluid reveals disease-specific patterns in patients with Parkinson’s disease—A pilot study. Parkinsonism Relat. Disord. 2019, 63, 3–9. [Google Scholar] [CrossRef] [PubMed]
- Rentka, A.; Koroskenyi, K.; Harsfalvi, J.; Szekanecz, Z.; Szucs, G.; Szodoray, P.; Kemeny-Beke, A. Evaluation of Commonly Used Tear Sampling Methods and Their Relevance in Subsequent Biochemical Analysis. Ann. Clin. Biochem. 2017, 54, 521–529. [Google Scholar] [CrossRef]
- Zhan, X.; Li, J.; Guo, Y.; Golubnitschaja, O. Mass spectrometry analysis of human tear fluid biomarkers specific for ocular and systemic diseases in the context of 3P medicine. EPMA J. 2021, 12, 449–475. [Google Scholar] [CrossRef]
- Fullard, R.J.; Tucker, D.L. Changes in human tear protein levels with progressively increasing stimulus. Investig. Ophthalmol. Vis. Sci. 1991, 32, 2290–2301. [Google Scholar]
- Nättinen, J.; Aapola, U.; Nukareddy, P.; Uusitalo, H. Clinical Tear Fluid Proteomics—A Novel Tool in Glaucoma Research. Int. J. Mol. Sci. 2022, 23, 8136. [Google Scholar] [CrossRef] [PubMed]
- Jones, G.; Lee, T.J.; Glass, J.; Rountree, G.; Ulrich, L.; Estes, A.; Sezer, M.; Zhi, W.; Sharma, S.; Sharma, A. Comparison of Different Mass Spectrometrs for the Proteomic Analysis of Tear Fluid. Int. J. Mol. Sci. 2022, 23, 2307. [Google Scholar] [CrossRef]
- Krajčíková, K.; Glinská, G.; Tomečková, V. Effect of tear fluid sampling and processing on total protein quantity and electrophoretic pattern. Taiwan J. Ophthalmol. 2021, 12, 88–92. [Google Scholar] [CrossRef] [PubMed]
- Tham, M.L.; Mahmud, A.; Abdullah, M.; Saleh, R.M.; Razali, A.M.; Cheah, Y.K.; Taib, N.M.; Ho, K.L.; Mahmud, M.; Isa, M.M. Tear Samples for Protein Extraction: Comparative Analysis of Schirmer’s Test Strip and Microcapillary Tube Methods. Cureus 2023, 15, e50972. [Google Scholar] [CrossRef]
- Fullard, R.J.; Snyder, C. Protein levels in nonstimulated and stimulated tears of normal human subjects. Investig. Ophthalmol. Vis. Sci. 1990, 31, 1119–1126. [Google Scholar]
- Vergouwen, D.P.C.; Schotting, A.J.; Endermann, T.; van de Werken, H.J.G.; Grashof, D.G.B.; Arumugam, S.; Nuijts, R.M.M.A.; Berge, J.C.T.; Rothova, A.; Schreurs, M.W.J.; et al. Evaluation of pre-processing methods for tear fluid proteomics using proximity extension assays. Sci. Rep. 2023, 13, 4433. [Google Scholar] [CrossRef] [PubMed]
- Xiao, J.; Frenia, K.; Garwood, K.C.; Kimmel, J.; Labriola, L.T. High-throughput tear proteomics via in-capillary digestion for biomarker discovery. Int. J. Mol. Sci. 2024, 25, 12239. [Google Scholar] [CrossRef] [PubMed]
- Xiao, J.; Fu, Y.; Frenia, K.; Sikora, J.; Mental, R.; Labriola, L. Tear fluid proteomic analysis with improved LC-MS/MS protocol. Investig. Ophthalmol. Vis. Sci. 2024, 65, 6557. [Google Scholar]
- Zhou, L.; Zhao, S.Z.; Koh, S.K.; Chen, L.; Vaz, C.; Tanavde, V.; Li, X.R.; Beuerman, R.W. In-depth analysis of the human tear proteome. J. Proteom. 2012, 75, 3877–3885. [Google Scholar] [CrossRef]
- Ananthi, S.; Chitra, T.; Bini, R.; Prajna, N.V.; Lalitha, P.; Dharmalingam, K. Comparative analysis of the tear protein profile in mycotic keratitis patients. Mol. Vis. 2008, 14, 500–507. [Google Scholar]
- Burton, M.J.; Ramke, J.; Marques, A.P.; Bourne, R.R.A.; Congdon, N.; Jones, I.; Tong, B.A.M.A.; Arunga, S.; Bachani, D.; Bascaran, C.; et al. The Lancet Global Health Commission on Global Eye Health: Vision beyond 2020. Lancet Glob. Health 2021, 9, e489–e551. [Google Scholar] [CrossRef] [PubMed]
- Luib, E.; Demleitner, A.F.; Cordts, I.; Westenberg, E.; Rau, P.; Pürner, D.; Haller, B.; Lingor, P. Reduced Tear Fluid Production in Neurological Diseases: A Cohort Study in 708 Patients. J. Neurol. 2024, 271, 1824–1836. [Google Scholar] [CrossRef] [PubMed]
- Perez-Riverol, Y.; Bandla, C.; Kundu, D.J.; Kamatchinathan, S.; Bai, J.; Hewapathirana, S.; John, N.S.; Prakash, A.; Walzer, M.; Wang, S.; et al. The PRIDE database at 20 years: 2025 update. Nucleic Acids Res. 2025, 53, D543–D553. [Google Scholar] [CrossRef] [PubMed]
- Bolaños-Jiménez, R.; Navas, A.; López-Lizárraga, E.P.; de Ribot, F.M.; Peña, A.; Graue-Hernández, E.O.; Garfias, Y. Ocular Surface as Barrier of Innate Immunity. Open Ophthalmol. J. 2015, 9, 49–55. [Google Scholar] [CrossRef]
- Green-Church, K.B.; Nichols, K.K.; Kleinholz, N.M.; Zhang, L.; Nichols, J.J. Investigation of the human tear film proteome using multiple proteomic approaches. Mol. Vis. 2008, 14, 456–470. [Google Scholar]
- Huang, Z.; Du, C.-X.; Pan, X.-D. The use of in-strip digestion for fast proteomic analysis on tear fluid from dry eye patients. PLoS ONE 2018, 13, e0200702. [Google Scholar] [CrossRef] [PubMed]
- Lépine, M.; Zambito, O.; Sleno, L. Targeted Workflow Investigating Variations in the Tear Proteome by Liquid Chromatography Tandem Mass Spectrometry. ACS Omega 2023, 8, 31168–31177. [Google Scholar] [CrossRef]
- Ponzini, E.; Santambrogio, C.; De Palma, A.; Mauri, P.; Tavazzi, S.; Grandori, R. Mass spectrometry-based tear proteomics for noninvasive biomarker discovery. Mass Spectrom. Rev. 2022, 41, 842–860. [Google Scholar] [CrossRef] [PubMed]
- Rossi, C.; Cicalini, I.; Cufaro, M.C.; Agnifili, L.; Mastropasqua, L.; Lanuti, P.; Marchisio, M.; De Laurenzi, V.; Del Boccio, P.; Pieragostino, D. Multi-Omics Approach for Studying Tears in Treatment-Naïve Glaucoma Patients. Int. J. Mol. Sci. 2019, 20, 4029. [Google Scholar] [CrossRef]
- Tong, L.; Zhou, X.Y.; Jylha, A.; Aapola, U.; Liu, D.N.; Koh, S.K.; Tian, D.; Quah, J.; Uusitalo, H.; Beuerman, R.W.; et al. Quantitation of 47 human tear proteins using high resolution multiple reaction monitoring (HR-MRM) based-mass spectrometry. J. Proteom. 2015, 115, 36–48. [Google Scholar] [CrossRef]
- Nättinen, J.; Jylhä, A.; Aapola, U.; Parkkari, M.; Mikhailova, A.; Beuerman, R.W.; Uusitalo, H. Patient stratification in clinical glaucoma trials using the individual tear proteome. Sci. Rep. 2018, 8, 12038. [Google Scholar] [CrossRef] [PubMed]
- Gerber-Hollbach, N.; Plattner, K.; O’Leary, O.E.; Jenoe, P.; Moes, S.; Drexler, B.; Schoetzau, A.; Halter, J.P.; Goldblum, D. Tear Film Proteomics Reveal Important Differences Between Patients With and Without Ocular GvHD After Allogeneic Hematopoietic Cell Transplantation. Investig. Ophthalmol. Vis. Sci. 2018, 59, 3521–3530. [Google Scholar] [CrossRef]
- Pieragostino, D.; Agnifili, L.; Fasanella, V.; D’Aguanno, S.; Mastropasqua, R.; Di Ilio, C.; Sacchetta, P.; Urbani, A.; Del Boccio, P. Shotgun proteomics reveals specific modulated protein patterns in tears of patients with primary open angle glaucoma naïve to therapy. Mol. Biosyst. 2013, 9, 1108–1116. [Google Scholar] [CrossRef]
- Böhm, D.; Keller, K.; Pieter, J.; Boehm, N.; Wolters, D.; Siggelkow, W.; Lebrecht, A.; Schmidt, M.; Kölbl, H.; Pfeiffer, N.; et al. Comparison of tear protein levels in breast cancer patients and healthy controls using a de novo proteomic approach. Oncol. Rep. 2012, 28, 429–438. [Google Scholar] [CrossRef]
- López-López, M.; Regueiro, U.; Bravo, S.B.; Chantada-Vázquez, M.d.P.; Varela-Fernández, R.; Ávila-Gómez, P.; Hervella, P.; Lema, I. Tear Proteomics in Keratoconus: A Quantitative SWATH-MS Analysis. Investig. Ophthalmol. Vis. Sci. 2021, 62, 30. [Google Scholar] [CrossRef]
- Li, B.; Sheng, M.; Li, J.; Yan, G.; Lin, A.; Li, M.; Wang, W.; Chen, Y. Tear proteomic analysis of Sjögren syndrome patients with dry eye syndrome by two-dimensional-nano-liquid chromatography coupled with tandem mass spectrometry. Sci. Rep. 2014, 4, 5772. [Google Scholar] [CrossRef]
- Kishazi, E.; Dor, M.; Eperon, S.; Oberic, A.; Hamedani, M.; Turck, N. Thyroid-associated orbitopathy and tears: A proteomics study. J. Proteom. 2018, 170, 110–116. [Google Scholar] [CrossRef] [PubMed]
- Angeles-Han, S.T.; Yeh, S.; Patel, P.; Duong, D.; Jenkins, K.; Rouster-Stevens, K.A.; Altaye, M.; Fall, N.; Thornton, S.; Prahalad, S.; et al. Discovery of tear biomarkers in children with chronic non-infectious anterior uveitis: A pilot study. J. Ophthalmic Inflamm. Infect. 2018, 8, 17. [Google Scholar] [CrossRef]
- Liang, A.; Qin, W.; Zhang, M.; Gao, F.; Zhao, C.; Gao, Y. Profiling tear proteomes of patients with unilateral relapsed Behcet’s disease-associated uveitis using data-independent acquisition proteomics. PeerJ 2020, 8, e9250. [Google Scholar] [CrossRef] [PubMed]
- Pieragostino, D.; Bucci, S.; Agnifili, L.; Fasanella, V.; D’Aguanno, S.; Mastropasqua, A.; Ciancaglini, M.; Mastropasqua, L.; Di Ilio, C.; Sacchetta, P.; et al. Differential protein expression in tears of patients with primary open angle and pseudoexfoliative glaucoma. Mol. Biosyst. 2012, 8, 1017–1028. [Google Scholar] [CrossRef]
- Dor, M.; Eperon, S.; Lalive, P.H.; Guex-Crosier, Y.; Hamedani, M.; Salvisberg, C.; Turck, N. Investigation of the global protein content from healthy human tears. Exp. Eye Res. 2019, 179, 64–74. [Google Scholar] [CrossRef] [PubMed]
- O’Leary, O.E.; Schoetzau, A.; Amruthalingam, L.; Geber-Hollbach, N.; Plattner, K.; Jenoe, P.; Schmidt, A.; Ullmer, C.; Drawnel, F.M.; Fauser, S.; et al. Tear Proteomic Predictive Biomarker Model for Ocular Graft Versus Host Disease Classification. Transl. Vis. Sci. Technol. 2020, 9, 3. [Google Scholar] [CrossRef]
- Zhou, L.; Beuerman, R.W.; Chan, C.M.; Zhao, S.Z.; Li, X.R.; Yang, H.; Tong, L.; Liu, S.; Stern, M.E.; Tan, D. Identification of Tear Fluid Biomarkers in Dry Eye Syndrome Using iTRAQ Quantitative Proteomics. J. Proteome Res. 2009, 8, 4889–4905. [Google Scholar] [CrossRef]
- Aluru, S.V.; Shweta, A.; Bhaskar, S.; Geetha, K.; Sivakumar, R.M.; Utpal, T.; Padmanabhan, P.; Angayarkanni, N. Tear Fluid Protein Changes in Dry Eye Syndrome Associated with Rheumatoid Arthritis: A Proteomic Approach. Ocul. Surf. 2017, 15, 112–129. [Google Scholar] [CrossRef]
- Aass, C.; Norheim, I.; Eriksen, E.F.; Thorsby, P.M.; Pepaj, M. Single unit filter-aided method for fast proteomic analysis of tear fluid. Anal. Biochem. 2015, 480, 1–5. [Google Scholar] [CrossRef] [PubMed]
- López-López, M.; Regueiro, U.; Bravo, S.B.; Chantada-Vázquez, M.d.P.; Pena, C.; Díez-Feijoo, E.; Hervella, P.; Lema, I. Shotgun Proteomics for the Identification and Profiling of the Tear Proteome of Keratoconus Patients. Investig. Ophthalmol. Vis. Sci. 2022, 63, 12. [Google Scholar] [CrossRef] [PubMed]
- Winiarczyk, M.; Kaarniranta, K.; Winiarczyk, S.; Adaszek, Ł.; Winiarczyk, D.; Mackiewicz, J. Tear film proteome in age-related macular degeneration. Graefes Arch. Clin. Exp. Ophthalmol. 2018, 256, 1127–1139. [Google Scholar] [CrossRef]
- Grus, F.H.; Podust, V.N.; Bruns, K.; Lackner, K.; Fu, S.; Dalmasso, E.A.; Wirthlin, A.; Pfeiffer, N. SELDI-TOF-MS ProteinChip array profiling of tears from patients with dry eye. Investig. Ophthalmol. Vis. Sci. 2005, 46, 863–876. [Google Scholar] [CrossRef] [PubMed]
- Liu, Y.-C.; Yam, G.H.-F.; Lin, M.T.-Y.; Teo, E.; Koh, S.-K.; Deng, L.; Zhou, L.; Tong, L.; Mehta, J.S. Comparison of tear proteomic and neuromediator profiles changes between small incision lenticule extraction (SMILE) and femtosecond laser-assisted in-situ keratomileusis (LASIK). J. Adv. Res. 2020, 29, 67–81. [Google Scholar] [CrossRef]
- Perumal, N.; Funke, S.; Wolters, D.; Pfeiffer, N.; Grus, F.H. Characterization of Human Reflex Tear Proteome Reveals High Expression of Lacrimal Proline-Rich Protein 4 (PRR4). Proteomics 2015, 15, 3370–3381. [Google Scholar] [CrossRef]
- D’Souza, S.; Petznick, A.; Tong, L.; Hall, R.C.; Rosman, M.; Chan, C.; Koh, S.K.; Beuerman, R.W.; Zhou, L.; Mehta, J.S. Comparative Analysis of Two Femtosecond LASIK Platforms Using iTRAQ Quantitative Proteomics. Investig. Ophthalmol. Vis. Sci. 2014, 55, 3396–3402. [Google Scholar] [CrossRef]
- Vaajanen, A.; Nättinen, J.; Aapola, U.; Gielen, F.; Uusitalo, H. The effect of successful trabeculectomy on the ocular surface and tear proteomics—A prospective cohort study with 1-year follow-up. Acta Ophthalmol. 2021, 99, 160–170. [Google Scholar] [CrossRef]
- Funke, S.; Beck, S.; Lorenz, K.; Kotterer, M.; Wolters, D.; Perumal, N.; Pfeiffer, N.; Grus, F.H. Analysis of the effects of preservative-free tafluprost on the tear proteome. Am. J. Transl. Res. 2016, 8, 4025–4039. [Google Scholar] [PubMed]
- Balasubramanian, S.A.; Wasinger, V.C.; Pye, D.C.; Willcox, M.D.P. Preliminary identification of differentially expressed tear proteins in keratoconus. Mol. Vis. 2013, 19, 2124–2134. [Google Scholar]
- Acera, A.; Vecino, E.; Rodríguez-Agirretxe, I.; Aloria, K.; Arizmendi, J.M.; Morales, C.; Durán, J.A. Changes in tear protein profile in keratoconus disease. Eye 2011, 25, 1225–1233. [Google Scholar] [CrossRef] [PubMed]
- Ananthi, S.; Prajna, N.V.; Lalitha, P.; Valarnila, M.; Dharmalingam, K. Pathogen Induced Changes in the Protein Profile of Human Tears from Fusarium Keratitis Patients. PLoS ONE 2013, 8, e53018. [Google Scholar] [CrossRef] [PubMed]
- Soria, J.; Acera, A.; Merayo-Lloves, J.; Durán, J.A.; González, N.; Rodriguez, S.; Bistolas, N.; Schumacher, S.; Bier, F.F.; Peter, H.; et al. Tear proteome analysis in ocular surface diseases using label-free LC-MS/MS and multiplexed-microarray biomarker validation. Sci. Rep. 2017, 7, 17478. [Google Scholar] [CrossRef]
- Lee, S.H.; Park, M.-Y.; Kim, K.W.; Wee, S.W.; Kim, J.C. Zinc finger protein in severe dry eye syndrome. Curr. Eye Res. 2014, 39, 431–438. [Google Scholar] [CrossRef]
- Funke, S.; Azimi, D.; Wolters, D.; Grus, F.H.; Pfeiffer, N. Longitudinal analysis of taurine induced effects on the tear proteome of contact lens wearers and dry eye patients using a RP-RP-Capillary-HPLC-MALDI TOF/TOF MS approach. J. Proteom. 2012, 75, 3177–3190. [Google Scholar] [CrossRef] [PubMed]
- de Souza, G.A.; Godoy, L.M.; Mann, M. Identification of 491 proteins in the tear fluid proteome reveals a large number of proteases and protease inhibitors. Genome Biol. 2006, 7, R72. [Google Scholar] [CrossRef]
- Ponzini, E.; Ami, D.; Duse, A.; Santambrogio, C.; De Palma, A.; Di Silvestre, D.; Mauri, P.; Pezzoli, F.; Natalello, A.; Tavazzi, S.; et al. Single-Tear Proteomics: A Feasible Approach to Precision Medicine. Int. J. Mol. Sci. 2021, 22, 10750. [Google Scholar] [CrossRef]
- Nichols, J.J.; Green-Church, K.B. Mass spectrometry-based proteomic analyses in contact lens-related dry eye. Cornea 2009, 28, 1109–1117. [Google Scholar] [CrossRef]
- Kalló, G.; Emri, M.; Varga, Z.; Ujhelyi, B.; Tőzsér, J.; Csutak, A.; Csősz, É. Changes in the Chemical Barrier Composition of Tears in Alzheimer’s Disease Reveal Potential Tear Diagnostic Biomarkers. PLoS ONE 2016, 11, e0158000. [Google Scholar] [CrossRef]
- Chen, X.; Rao, J.; Zheng, Z.; Yu, Y.; Lou, S.; Liu, L.; He, Q.; Wu, L.; Sun, X. Integrated Tear Proteome and Metabolome Reveal Panels of Inflammatory-Related Molecules via Key Regulatory Pathways in Dry Eye Syndrome. J. Proteome Res. 2019, 18, 2321–2330. [Google Scholar] [CrossRef]
- Technology Overview|TearLab Osmolarity System for Diagnosing Dry Eye Disease|Advice|NICE. Available online: https://www.nice.org.uk/advice/mib47/chapter/technology-overview (accessed on 17 September 2024).
- Ritorto, M.S.; Borlak, J. A simple and reliable protocol for mouse serum proteome profiling studies by use of two-dimensional electrophoresis and MALDI TOF/TOF mass spectrometry. Proteome Sci. 2008, 6, 25. [Google Scholar] [CrossRef]
- Millioni, R.; Tolin, S.; Puricelli, L.; Sbrignadello, S.; Fadini, G.P.; Tessari, P.; Arrigoni, G. High Abundance Proteins Depletion vs Low Abundance Proteins Enrichment: Comparison of Methods to Reduce the Plasma Proteome Complexity. PLoS ONE 2011, 6, e19603. [Google Scholar] [CrossRef]









| Group | Pooled | Individual |
|---|---|---|
| Demographics | ||
| Age (years) | 63.36 ± 18.7 (20–92) | 53 ± 23.2 (23–89) |
| Gender (male) * | 19/35 | 2/14 |
| Ocular Health | ||
| Diabetic Retinopathy | 2/35 | |
| Cataract | 6/35 | |
| Dry Eye | 1/35 | |
| Glaucoma | 5/35 | |
| Age-Related Macular Degeneration | 7/35 | |
| Collection Time | ||
| Morning (9:30 a.m.–12:00 p.m.) | 21/35 | 11/14 |
| Afternoon (12:00 p.m.–5:00 p.m.) | 14/35 | 3/14 |
| Protocol | Peptides | Proteins | ||
|---|---|---|---|---|
| Average | STD | Average | STD | |
| (a) | 835 | 181 | 293 | 35 |
| (b) | 1088 | 381 | 352 | 28 |
| (c) | 1095 | 400 | 365 | 76 |
| (d) | 1085 | 253 | 360 | 57 |
| (e) | 1017 | 160 | 363 | 14 |
| (f) | 1270 | 314 | 418 | 95 |
| Unique Proteins Identified | Protocol | |||||
|---|---|---|---|---|---|---|
| (a) | (b) | (c) | (d) | (e) | (f) | |
| High Abundance (>75%) | 174 | 213 | 218 | 220 | 242 | 244 |
| Medium Abundance (50–75%) | 65 | 70 | 73 | 73 | 74 | 90 |
| Low Abundance (25–49%) | 72 | 88 | 89 | 85 | 80 | 133 |
| Rare (<25%) | 95 | 137 | 170 | 138 | 138 | 162 |
| Total | 406 | 508 | 550 | 516 | 534 | 629 |
| Protein Name | (a) | (b) | (c) | (d) | (e) | (f) |
|---|---|---|---|---|---|---|
| Lactotransferrin | 1.09 | 1.83 | 1.96 | 1.68 | 1.04 | 1.67 |
| Lysozyme C | 2.08 | 1.91 | 2.55 | 2.79 | 1.95 | 2.29 |
| Basement membrane-specific heparan sulfate proteoglycan core protein | 2.05 | 1.35 | 3.56 | 2.30 | 1.45 | 2.25 |
| Albumin | 1.84 | 2.06 | 3.25 | 2.28 | 1.44 | 2.47 |
| Mammaglobin-B | 2.51 | 6.04 | 5.44 | 7.53 | 3.68 | 3.22 |
| Cystatin-S | 4.37 | 5.36 | 6.37 | 3.61 | 3.64 | 4.91 |
| Proline-rich protein 4 | 3.25 | 4.55 | 4.31 | 5.81 | 1.39 | 2.70 |
| Cystatin-C | 5.08 | 5.29 | 8.15 | 5.04 | 7.96 | 6.04 |
| Average | 4.56 | 4.06 | 5.20 | 4.19 | 3.96 | 4.36 |
| STD | 3.47 | 2.64 | 2.52 | 2.12 | 3.15 | 3.26 |
Disclaimer/Publisher’s Note: The statements, opinions and data contained in all publications are solely those of the individual author(s) and contributor(s) and not of MDPI and/or the editor(s). MDPI and/or the editor(s) disclaim responsibility for any injury to people or property resulting from any ideas, methods, instructions or products referred to in the content. |
© 2025 by the authors. Licensee MDPI, Basel, Switzerland. This article is an open access article distributed under the terms and conditions of the Creative Commons Attribution (CC BY) license (https://creativecommons.org/licenses/by/4.0/).
Share and Cite
Frenia, K.; Fu, Y.; Beatty, M.A.; Garwood, K.C.; Kimmel, J.; Raiji, V.; Pan, D.; Bartlett, D.; Labriola, L.T.; Xiao, K. Precision in Tear Fluid Biomarker Discovery: Quantitative Proteomic Profiling of Small-Volume, Individual Samples Using Capillary Tube Collection. Biomedicines 2025, 13, 386. https://doi.org/10.3390/biomedicines13020386
Frenia K, Fu Y, Beatty MA, Garwood KC, Kimmel J, Raiji V, Pan D, Bartlett D, Labriola LT, Xiao K. Precision in Tear Fluid Biomarker Discovery: Quantitative Proteomic Profiling of Small-Volume, Individual Samples Using Capillary Tube Collection. Biomedicines. 2025; 13(2):386. https://doi.org/10.3390/biomedicines13020386
Chicago/Turabian StyleFrenia, Kyla, Yunxiang Fu, Maria A. Beatty, Kathleen C. Garwood, Jeremy Kimmel, Veena Raiji, Dipanjan Pan, David Bartlett, Leanne T. Labriola, and Kunhong Xiao. 2025. "Precision in Tear Fluid Biomarker Discovery: Quantitative Proteomic Profiling of Small-Volume, Individual Samples Using Capillary Tube Collection" Biomedicines 13, no. 2: 386. https://doi.org/10.3390/biomedicines13020386
APA StyleFrenia, K., Fu, Y., Beatty, M. A., Garwood, K. C., Kimmel, J., Raiji, V., Pan, D., Bartlett, D., Labriola, L. T., & Xiao, K. (2025). Precision in Tear Fluid Biomarker Discovery: Quantitative Proteomic Profiling of Small-Volume, Individual Samples Using Capillary Tube Collection. Biomedicines, 13(2), 386. https://doi.org/10.3390/biomedicines13020386

