You are currently viewing a new version of our website. To view the old version click .
Wild
  • Article
  • Open Access

22 August 2024

Quantifying the Potential of the Tropical Dry Region of the Gulf of Mexico to Provide Tree Species with Traditional Uses for Forest-Reliant Communities

,
and
1
Instituto Tecnológico y de Estudios Superiores de Occidente, Centro Interdisciplinario Para la Formación y Vinculación Social, Periférico Sur Manuel Gómez Morín 8585, Tlaquepaque 45604, Jalisco, Mexico
2
Gnosis-Naturaleza con Ciencia, A.C., Guadalajara 45239, Jalisco, Mexico
3
Red de Ecología Funcional, Instituto de Ecología, A.C., Carretera Antigua a Coatepec 351, Xalapa 91070, Veracruz, Mexico
4
Global Science, WWF, 131 Steuart St., San Francisco, CA 94105, USA

Simple Summary

The tropical dry regions in the Neotropics face significant anthropogenic pressures, impacting local communities’ life patterns and wellbeing. In a study of the Gulf of Mexico’s tropical dry region, we evaluated traditional uses of tree species in vegetation patches. Notably, Acacia cochliacantha, Cedrela odorata, Enterolobium cyclocarpum, Gliricidia sepium, and Guazuma ulmifolia were the most commonly used species. Firewood and pasture management were widespread uses, while reforestation was less common. Proximity to human settlements influenced inhabitants’ use and recognition of plant species. Despite reduced forest cover, local communities still recognize multiple uses for vegetation patches. This research provides essential baseline information for conservation efforts.

Abstract

The tropical dry regions in the Neotropics are under intense anthropogenic pressures, resulting in changes for local communities related with their life patterns, wellbeing, and their relationship with ecosystems. The region has a history of human occupation that has shaped the traditional use of resources. We evaluated the richness, redundancy, and divergence of traditional uses of tree species present in vegetation patches of the tropical dry region of the Gulf of Mexico using functional diversity indices. The most used species are Acacia cochliacantha, Cedrela odorata, Enterolobium cyclocarpum, Gliricidia sepium, and Guazuma ulmifolia, and the uses with the broadest distributions across the region are firewood and pasture management, while reforestation is the least common use. While distance to the nearest patch of the closest human settlement is the most predictive variable associated with inhabitants’ different uses or recognitions of the value of different plant species, the most recognized and valued species are widely distributed in Mexico. Even when the forest cover is greatly reduced, the inhabitants recognize numerous uses that can be obtained from the vegetation patches. The approach used in this work provides important baseline information, as well as a methodology that facilitates the identification of priority areas for conservation.

1. Introduction

The tropical dry regions in the Neotropics are under intense anthropogenic pressures, such as increasing rates of land cover changes, increase in the number of human settlements, and loss of vegetation area, among others [1,2]. All of these have brought ecological consequences like biotic homogenization (i.e., loss of primary species and dominance of few secondary species), loss of ecological functions (e.g., natural regeneration), harsher droughts, and stronger impacts of natural phenomena like hurricanes [3,4,5,6,7]. As a result, local communities have suffered the effects of these highly modified landscapes in their life patterns (e.g., economic activities, migration), wellbeing, and their relationships with their environment [8,9,10] and have adapted and learned to make use of these changes. The dependence of human rural communities on natural resources has been described in many different contexts [11,12,13], but this relationship is often not well understood and can even be mischaracterized as a cause of the high deterioration of ecosystems.
As a result of such misperception, conservation interests often ignore social and economic circumstances, such as intensification of migration, which leads to abandonment of rural activities; public policies that promote agriculture and cattle ranching activities, like the Idle Lands Law enacted in 1920 in Mexico, which stated that all those lands that did not host an economic activity (e.g., forests) were considered unproductive; and effects of land tenure, which, in the case of Mexico, is mostly community property or Ejidal [5,14,15,16]. However, most tropical dry regions around the world have already been affected by anthropogenic activities, often for millennia, and conservation strategies should include a holistic approach that recognizes the contributions that forests make to overall livelihood strategies of local people [17,18]. In Mexico, these regions have been inhabited by various Mesoamerican cultures using resources intensively. Human-modified landscapes dominate much of the tropics, and sound management must recognize the different elements (e.g., ecosystems, human settlements, economic activities) interacting in order to develop plans that not only focus on preserving remnant vegetation to maintain ecological functions and biodiversity, but to ensure the wellbeing of local communities with sustainable activities and ecosystem services supply [5,19,20]. Conservation policy makers need basic biological and socioeconomic information, as well as understanding of local people’s perceptions of their environment, to formulate effective management plans [21,22].
Although an awareness of the importance of integrating the local communities as part of landscapes’ conservation has been growing, the way communities interact with their environment is context-dependent and highly variable. One method of understanding and assessing this relationship is through the acknowledgement and appraisal of traditional knowledge, which offers valuable information of the uses and traditional values that dwellers identify in wild species [21,23,24,25]. For plants in particular, wild species within forests supply people with a range of material services, such as firewood, timber for construction, and numerous non-timber forest products (e.g., food, medicines, shade, beauty appreciation) [13,26,27]. Access to these resources is also necessary for non-material benefits: sustaining ways of life and identity around livelihoods and preserving important cultural, commercial, and spiritual activities. Some studies have identified variables that may help to predict the impact of the activities of local communities, including distance to forests patches, accessibility to fair trade conditions, level of education, age, and ecological knowledge [12,20,28,29]. Conservation spending could be more efficient and effective if practitioners had an effective method for rapidly identifying the stakeholders who have the greatest potential impact on key resources, to ensure that all stakeholders can be well informed and committed with inclusive and fair conservation initiatives that take into account their needs and values [21].
For the specific case of the tropical dry region of the Gulf of Mexico, there are two periods of human occupation scenarios that must be considered: (i) human presence dating back to pre-Hispanic times when the Totonaca communities initiated the development of social and economic activities [30,31]; and (ii) more recent colonization dating back 90–100 years to different areas of the territory, which has resulted in much more different types of traditional knowledge, which usually comes from an inheritance from other places. The above is reflected in the use of species that have a wide distribution in Mexico such as Acacia cochliacantha, Cedrela odorata, Enterolobium cyclocarpum, Gliricidia sepium, and Guazuma ulmifolia. The Totonaca culture still alive in northern Veracruz has maintained traditional use of species, such as the use of the trunk of the tree Casearia laetioides for ceremonies of Voladores de Papantla [32], Bursera simaruba for physical illness [33], Randia monantha to reduce the effects of snake bite, among others. Research efforts to identify the relationship between ecosystems and the local communities embedded in them have summarized the information on the values and uses of the species in the tropical dry region of the Gulf of Mexico [27,34,35,36,37].
Despite these highly valued traditional uses of ecosystems, the Veracruz region has been heavily transformed by high-impact economic activities such as extensive sugarcane crop-fields, cattle-ranching pastures, and quarries for stone extraction, among others. The extension of these activities has increased in the last decade from around 50% to almost 70% of the entire region [15]. This has also generated consequences between the traditional uses of the communities and these large-scale activities, since, coupled with the increase in the costs of agricultural inputs and the impossibility of having competitive prices, small producers abandon their activities and give up their lands to extensive activities [38,39,40]. Examples have also been observed in which communities rent their lands for high-impact activities, which prevents them from conducting productive activities on their lands, as well as accessing goods and services from forest species.
There is a lack of a quantitative assessment of the distribution of the uses and potential availability of resources in the remnant vegetation across the region. To fill this gap, in this study, we (1) appraise the diversity of uses of the tree species present in the remaining vegetation patches of the tropical dry region of the Gulf of Mexico and (2) evaluate the variables associated with human-use patterns (e.g., distance to human settlements). Through a robust evaluation of the importance of forests (and their different secondary stages) in the tropical dry region of the Gulf of Mexico for local communities, this work provides a foundation of understanding for stakeholders (e.g., local resource managers, state policy makers, local leaders) and decision-makers to promote more integrative and holistic government programs that ensure conservation efficiency.

2. Materials and Methods

2.1. Study Area

This study was conducted in the seasonally dry tropical region of the Gulf of Mexico, located at the central part of the state of Veracruz (between 19°16′55″–19°48′16″ N and 96°19′13″–96°48′48″ W), in a range of elevation between 20 and 1000 m a.s.l. The mean annual temperature varies between 22 and 26 °C, and the mean annual rainfall between 1200 and 1500 mm/year [41]. The dry season is characterized by five to eight months of drought. The main occupation of the inhabitants is livestock farming, the cultivation of mango and papaya, the planting of sugar cane on irrigated lands, self-consumption crops on rainfed lands (corn, beans, pumpkin, chili), fishing, aquaculture, and cattle ranching [36]. Veracruz livestock farming is characterized by being extensive, with dual-purpose livestock (milk and meat), in small-scale units, with a low productive and technological level and with a high dependence on pasture [42].
Ten different types of soil have been found in the region [27], including obrist histosols, cambid aridisols, and mollic gleysols (FAO/UNESCO classification). The soils in the region have a high variation in their fertility, as well as in their capacity to retain moisture. Based on an analysis of the information recorded in the vegetation sampling (see Figure 1 and [36]), six types of vegetation were recognized in this study, taking into account their stand age, structure, and species composition: tropical oak forest (TOF), low-statured deciduous forest (LWF), semi-deciduous forest (SDF), late secondary forest (LSF), intermediate secondary forest (ISF), and early secondary forest (ESF). The first 3 are different types of old-growth forest (TOF; LWF; SDF), while the other 3 are different types of secondary forest (LSF; ISF; ESF) that differed in age, i.e., the time elapsed since agricultural practices were stopped [27]. The SDF was the richest forest type and the one with the highest species equitability, while the TOF was dominated by just two oak (Quercus) species recorded exclusively in this forest type [27]. The three types of secondary forest were highly dominated by pioneer or early successional species that are widespread in anthropic landscapes in the Neotropics, such as Leucaena leucocephala, Guazuma ulmifolia, and Vachia pennatula.
Figure 1. Study area in the seasonally dry tropical region of the Gulf of Mexico, Veracruz, Mexico. Location of the 10 sampling sites (AJ) are specified, and vegetation types of each sampled patch are shown (each sampled patch is numbered from 1 to 29) within the subfigures to the left.

2.2. Vegetation Sampling

A total of 29 patches of different vegetation types distributed across the region were sampled based in their accessibility, local permissions, stand age of minimum 5 years, and an area equal or greater than 1 ha within the study area (Figure 1). Inside each sampled patch, three transects measuring 50 × 20 m were randomly placed at least 20 m apart from each other (87 in total; and 8.7 ha of sampling area). In each transect, all rooted individuals of woody plants with a diameter at breast height (DBH) ≥ 5 cm were identified. For more details on the methodology used in the field and the analyzes used to define the types of vegetation, see [42].

2.3. Traditional Uses Determination

The traditional uses of the species registered in the sampled patches were determined by two methods: (i) interviews to reflect local knowledge and (ii) review of ethnobotany literature of the region. For the first source of information, no formal surveys were carried out, only personal communications with some of the local people that assisted the field work during vegetation sampling and worked in the area or owned the sampled patches. The information registered through this method was mainly focused on common names and basic explanations of some uses. People that assisted in the field work are considered key informants, as they were chosen for their knowledge of the site and of local plants, which were invaluable for the field work. In total, information was obtained from ten people; they were eight men and two women, from seven locations (i.e., Mozomboa, La Mancha, Amelco, Espuma Blanca, Dos Rios, Actopan, and Rancho el Niño). Each person was well informed on how their knowledge was going to be recorded, and their authorization was secured. For the second source, we reviewed the utilitarian data of plant species of the tropical dry region of the Gulf of Mexico published by different researchers who had studied the relationship of communities with forests across the region [27,30,34,35,36,43,44]. For the purposes of this study, the uses and values of the plant species that had been described across the region were assigned to the species registered in the sampled patches regardless of whether the nearest local community recognized them as part of its ecological knowledge. The traditional uses were summarized in seven categories: firewood, consumption, pasture management, medicinal, construction, reforestation, and others (Table 1).
Table 1. Traditional uses for tropical dry forest plant species found in the Veracruz region.
The number of uses per species given by informants and the number found in the literature were used to build a table that compiles information on the tropical dry forest species for which traditional uses and values are reported. Subsequently, a general map that represents the patches with the highest number of traditional uses was made in order to identify zones where forests have more value to the inhabitants.

2.4. Utilitarian Diversity Calculations

In this study, functional diversity (FD) is defined according to Mason et al. [45] as the value and range of the traits of the organisms in a given ecosystem. We considered the uses as the attributes (i.e., traits) of each species in order to estimate the indices of richness (i.e., number of uses per vegetation type), evenness (i.e., distribution of the relative abundance of the species with a certain use per vegetation type), and divergence (i.e., uses similarity among dominant species per vegetation type). In this way, the FD represents the Utilitarian Diversity (UD), following Brown et al. [23]. These indices were estimated with the function dbFD of the package FD [46] in the statistical programming language R (version 2.14.10; [47]).
Additionally, each utilitarian index among the six vegetation types was compared using generalized linear models (GLMs) with the glm function in the statistical programming language R (version 2.14.10; [47]), with a quasi-poisson error type due to the overly dispersed nature of our data. When significant differences were found, a post hoc contrast test (Tukey) was used to determine among which types were the differences. Finally, the correlation between the three utilitarian indices was evaluated with the species richness using a Spearman correlation analysis.

3. Results

3.1. The Traditional Uses of the Region

In the vegetation inventories, a total of 160 species and 113 genera were recorded. From this total pool of species, 65% (104 species) have at least one traditional use (Table S1). The use with the highest frequency is firewood, with 58 species, followed by consumption, with 49, and pasture management, with 37 species. Only five species have a reforestation use in the study area. The species with the highest number of uses was Gliricidia sepium, with five identified uses, including firewood, pasture management, consumption, medicinal, which was documented in the semi-deciduous forest and early and intermediate secondary forests (Table S1). Other examples of species with at least four uses were Acacia cochliacantha, Calophyllum Brasiliense, Cedrela odorata, Cochlospermum vitifolium, Enterolobium cyclocarpum, Guazuma ulmifolia, Leucaena leucocephala, Maclura tinctoria, and Spondias mombin (Table S2), which are mainly used for firewood, pasture management, construction, and consumption, and are primarily found in semi-deciduous forests.
Many species are used by local people across the study region, showing that these communities have traditional knowledge pertaining to the forests they live in (Table S2 and Figure 2). Throughout the region, inhabitants near the different types of vegetation identify species to cover all categories of uses and cover basic needs, such as firewood. The highest number of forest uses are found in the semi-deciduous forest and in late secondary forest, and the lowest are found in the tropical oak forest (Table S2). The greatest number of uses documented in a single forest patch are located in the mountain system called Sierra Manuel Díaz (sampling locations I and J, Figure 2), which is considered one of the hot spots of biodiversity in the region. The types of vegetation located in these areas correspond to patches of semi-deciduous forest and late secondary forest vegetation types, with high number of species for firewood, consumption, and pasture management uses. The tropical oak forest patches have the lowest values of uses in the study area (sampling spot F, Figure 2), with a higher proportion of firewood species than other locations, and no species with medicinal use.
Figure 2. Distribution of traditional uses at each sampled site (See Figure 1). The number of species per use category is specified.

3.2. Utilitarian Diversity

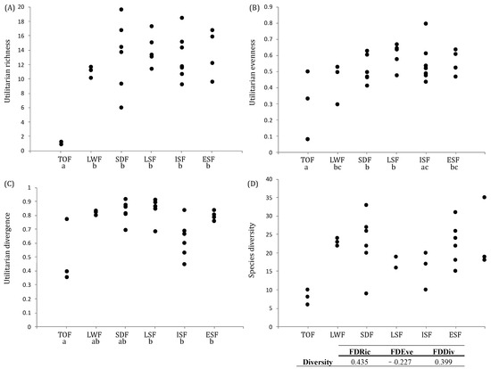
The utilitarian richness varied significantly (χ2 = 73.53, DF = 5, p < 0.001) among the six vegetation types. The semi-deciduous forest had the highest richness and the highest internal variance, followed by the intermediate secondary forest, while the tropical oak forest had significantly lower richness in comparison to all other vegetation types (Tukey test, p < 0.05) (Figure 3A). Significant differences were also found among vegetation types in utilitarian evenness (χ2 = 0.56, DF = 5, p < 0.001), and tropical oak forest again had significantly (Tukey test, p < 0.05) higher differences than all the other types of vegetation, except intermediate secondary forest (Figure 3B). The utilitarian divergence index, which measures the distribution of the species abundances in the utilitarian properties, also showed differences (χ2 = 0.81, DF = 5, test, p < 0.001) among the vegetation types (Figure 3C). The tropical oak forest was significantly lower than the secondary vegetation types again, although with relatively high variability in divergence within tropical oak forest patches. Of the utilitarian diversity variables, utilitarian richness was positively correlated with species diversity (0.435; Figure 3D), while utilitarian evenness was negatively correlated (−0.227). None of the correlations were above 50%, likely because one (often particularly widely distributed) species can have multiple uses, increasing its utilitarian values.
Figure 3. Scatter plots of functional richness (A), functional evenness (B), functional divergence (C), and species diversity profile (D) of plant species in six vegetation types. TOF: tropical oak forest, LWF: low-statured deciduous forest, SDF: semi-deciduous forest, LSF: late secondary forest, ISF: intermediate secondary forest, and ESF: early secondary forest. Different letters indicate significant differences (Tukey test p < 0.05). The correlation values between the utilitarian indices and the diversity are shown in the table within the figure.
In addition to the utilitarian diversity indices, it is noticeable that in some vegetation types, there are several species with similar uses, thus showing an apparently high redundancy within each type (Figure 4); although, this does not necessarily mean that they are interchangeable. The medicinal use has a high redundancy in both preserved forest (i.e., low-statured deciduous forest and semi-deciduous forest) and secondary forests, but each species has particular medicinal uses (Figure 4). The vegetation type with the lowest redundancy is the tropical oak forest, which has few species with uses, and some of them are provided only by one species (Figure 4). Nevertheless, oak wood is recognized as very valuable by local inhabitants. On the other hand, semi-deciduous forest is the type with the highest redundancy, due to the large number of uses provided by a high number of species (e.g., firewood, pasture management). The secondary forests have high redundancy in their firewood use category, as well as in consumption and pasture management.
Figure 4. Number of species providing each use category for each type of vegetation. The total number of species with traditional uses in each type of vegetation is specified in parentheses. TOF: tropical oak forest, LWF: low-statured deciduous forest, SDF: semi-deciduous forest, LSF: late secondary forest, ISF: intermediate secondary forest, and ESF: early secondary forest.

4. Discussion

As previously noted, originating from the economic activities of the pre-Hispanic Totonaca communities and the development of their settlements [30,31], this culture still has settlements and towns in northern Veracruz, where traditional knowledge forms part of everyday life [48]. Additionally, there is important heritage from ‘mestizo’ knowledge in the region, which corresponds to people that came from other parts of the country generations ago and brought with them different kinds of traditional information [36]. Today, the forest cover of the region is less than 25%, and its matrix is dominated by human activities (e.g., intensive livestock, sugarcane crops). Likewise, there has been an increase in population density and urbanization, which means a higher demand for resources, and a rise in the number of high-impact tourism infrastructure, all of which have resulted in ecosystem degradation (e.g., depletion of natural resources, loss of natural processes, pollution increase) and the consequent reduction in the capacity for climate change mitigation and ecosystem services provision [15]. Related to the current context of tropical dry region in central Veracruz, numerous negative impacts on the quality of life of the inhabitants of the region might be expected, such as (i) increase in the duration of droughts, (ii) reduction or loss of crops, (iii) increase in living costs (e.g., food, domestic gas), and (iv) greater vulnerability to natural phenomena, such as hurricanes [49,50], which will be worsened by the loss of forest resources for subsistence and adaptability to face these harsh conditions.
The findings presented here suggest that, at least in Veracruz, the inhabitants recognize numerous uses and traditional values that can be obtained from the vegetation patches of different ages, even when the forest cover is greatly reduced. The traditional uses that were identified allow local inhabitants to cover basic needs such as food, fuel, medicine, and construction material while maintaining different successional patches, which means understanding how the forest recovers from both natural and anthropogenic disturbances. The methodology followed in our study did not involve direct dialog with all local communities, which may lead to an overestimation of the number of traditional uses assigned to each vegetation patch (see Methods section). Even though these needs can be met by residents through other means, recent economic changes (e.g., increase in the price of gasoline and natural gas for domestic use) make forest products an especially important resource for local communities, showing a strong dependence on their environment [51,52,53]. Under today’s economic situation, these rural areas will depend more and more on forest resources in the near future. The potential deterioration of human wellbeing resulting from forest degradation highlights the need to recognize that, for decades, there has been a disconnect between the socio-economic needs of local communities, the development of high-impact activities, and the conservation priorities in the governmental management and conservation programs and policies. Many have suggested that incorporating the local communities’ values for ecosystems in government programs increases the probability of their success [9,11,21,22,53,54,55].

4.1. Humans as a Shaper of Their Environment

The intensity of the use of the forest properties is given by different factors, such as the proximity and accessibility to a resource and the time required for its extraction, among others. As found by previous studies [20,23,29,56], distance to the nearest road, population density of the closest settlement, distance to other vegetation patches, as well as species composition of the patch are variously related to the number of tree species that are used by the inhabitants of the region. However, it is important to highlight the difficulty in predicting human decisions and the complex group of socioeconomic variables that should be evaluated to understand the patterns of forest use. Generational changes, coupled with an increase in economic pressures, will also likely drive changes in lifestyle and patterns of use of ecosystems. Such variables may include higher levels of education, transition to labor activities in the private industry, migration from rural to more urbanized areas (leading to abandonment of family properties), and loss of traditional ecological knowledge (e.g., uses of plants) [10,12,57,58]. Due to data constraints, this study was unable to evaluate these additional variables that may prove key to understanding the current social situation of the region and the relationship of inhabitants with their environment. A broader investigation of possible social drivers of forest uses and change in those uses is needed.
It is important to recognize that human decisions have shaped landscapes not only through high-impact economic activities (e.g., extensive crops) but also at a local scale, based on how inhabitants select and manage the species of the vegetation patches from which they extract resources [23,27,58,59,60]. Even though it has been suggested that this type of human process can promote the homogenization of the species composition [61,62], previous studies of the vegetation in this region have shown that a high alpha and beta diversity is recorded in the landscape, which has allowed identifying forests with different physiognomic and floristic characteristics [7]. This study identified how forests differ in terms of the number of traditional uses, with relatively more species being used in certain forests (e.g., intermediate secondary forest) and relatively fewer in others (i.e., tropical oak forest). This type of differentiation, a product of human decisions, can lead to an increase in the options that can enhance local benefits. For example, some species are preferred for cooking due to the temperature at which the wood burns or the amount of ashes it produces. In some vegetation types of the tropical dry region of the Gulf of Mexico (i.e., semi-deciduous forest and secondary forests), the high utilitarian redundancy recorded is given by secondary species of wide distribution such as Guazuma ulmifolia, Leucaena leucocephala, and Gliricidia sepium. Although there are unarguably ecological variables involved (e.g., dispersal syndrome, growth speed), several human factors can also contribute to this type of distribution, such as the management (e.g., pruning or elimination of other species) of the vegetation patches for the proliferation of desired species [60], movement of human populations (i.e., immigration and emigration), and cultural exchange and creation of new ecological knowledge [13,23,57]. A species with desirable characteristics and several uses will be favored over others, making it seems more redundant. Another example is species used for pasture management, which have been widely planted at the pastures or preserved after logging. While these species may be easily exchangeable with any other species in this use category, there are important differences among them (e.g., L. leucocephala and G. sepium are legumes with nodules that enrich the soil and are also commonly used as live fences, they grow quickly, flowers of G. sepium are consumed by people, and cattle eagerly eat the fruits of G. ulmifolia), which influence the selection people make of them. Species widely distributed among the different types of patches, which, at the same time, have several uses, help local people manage secondary vegetation. Thus, the different stages through which tropical forest regenerates are used by local people.
A contrasting scenario was registered in the less-used patches of tropical oak forests, where socio-economic factors (e.g., low population density) converge along with ecological variables like a low species richness and slow growth rates (these patches are Pleistocene relics of tropical oaks forests), resulting in patches of vegetation with low values of utilitarian richness, evenness and divergence. A low utilitarian redundancy carries conservation risks since the loss of any species can generate the total loss of a use, destabilizing not only the functions of the ecosystem but also reducing the possibility of covering basic needs of local communities (e.g., food, firewood) [23,26]. The tropical oak forest is not very widely distributed in this tropical region, and people know less about it and use it less, but a highly appreciated use, such as firewood, still makes it valuable to people. Traditional knowledge also recognizes its slow growth, as well as greater difficulty in cutting it due to the hardness of the wood, and this makes it a scarce resource over others that are more abundant and easier to obtain. The loss of species may affect the capacity of local communities to cope with socio-economic pressures and changes. From the ecological perspective, oaks are very slow-growing, compared to many of the useful species of the tropical forest and the secondary forests. It is important to clarify that the term use should not be interpreted as value or valuable. For example, even though it could be implied that high diversity is more valuable than lower diversity for local inhabitants, if a diverse forest patch has less-valuable uses in contrast with a low diverse patch with high-valuable uses, the calculus changes. This must be flagged as an area where further work is needed.

4.2. The Challenges That the Tropical Dry Region of the Gulf of Mexico Faces

For the specific case of the tropical dry region of the Gulf of Mexico, there is an urgent need for new programs and management policies reflecting its high rates of land use change [15] and numerous consequences for local inhabitants—constant change in economic activities bringing local economic uncertainties, rising cost of living, negative impacts on basic needs and wellbeing, and increase in emigration rates, among others. In this region, local inhabitants do not have adequate social or economic security over the future of land use [14], which in many cases forces local inhabitants and small landowners to consolidate or intensify (e.g., rent their land to large producers, increase the number of livestock per hectare, and intensify extraction of forest resources) or abandon their properties, leading to a proliferation of secondary vegetation patches [10,56,63]. Thus, at a local scale, clearing of forests can be expected to continue unless local communities receive better incentives to preserve forests, in the form of payments for ecosystem services programs, better market conditions to trade (sustainably harvested) forests products, better plans for private conservation initiatives, or promotion of the ecological knowledge of forest resources, among others [9,11,12,64,65]. The recognition of the forest goods as an alternative income or source of subsistence products, as well as an emergency cash flow for local communities, may promote a greater interest in the conservation of ecosystems.
Rural communities throughout the tropics need to balance the income generated by forest conversion into cropland or cattle pastures against the goods and services that preserved forests provide. In addition, stakeholders must promote the development of plans and projects that aim not only for reforestation, which seeks the mitigation and adaptation to climate change in human communities but also for forest management that promotes the recovery of goods and services from the traditional uses. A clear example evidenced in this study would be species such as Bursera simaruba, Guazuma ulmifolia, Leucaena leucocephala, Piscidia piscipula, and Senna atomaria, which have the potential to establish themselves in the different types of vegetation in the region, with important ecosystem functions, which, at the same time, favored a considerable number of uses to local inhabitants. This society–conservation conflict has intensified for decades, and to begin addressing it, it is necessary to identify the points of synergy that could help in developing inclusive programs. This is why there is an urgency to analyze the cost–benefits from different stakeholder perspectives, to assess the impacts on biodiversity, ecosystem functions, and local livelihoods [24,28,53,66]. Challenges remain in informing conservation and management plans, the vast majority of ecosystem service assessments are leaving out these critical values to local communities [24,28,67,68,69]. It is imperative that conservation and government decision-making recognize and reflect these values, or they will not produce sustainable, just outcomes.

5. Conclusions

The quantitative method presented here integrated ecological, social, and cultural systems in order to evaluate the provision of ecosystem services in different forest types in the tropical dry region of the Gulf of Mexico. This methodology allowed the identification of seven use categories of tree species and the quantification of the utilitarian richness, redundancy, and divergence that exists in the region. In order for this methodology to be more widely used, we consider that the basic steps are (1) having detailed floristic information, either through sampling or review of biological collections; (2) collecting information on the traditional uses of the species in the area of interest; and (3) generating the databases that will be used with the statistical packages. This methodology and the information it offers can be useful for decision-makers, local communities, and international funds, since the analyses carried out with this approach would allow informed decisions to be made both in the diversity of a vegetation patch, as well as its importance for local human communities. The literature review undertaken here can provide important baseline information without a major sampling effort, and thus can be undertaken fairly rapidly; although, in a less well-studied region, the replicability of the methodology for incorporating traditional knowledge of local communities may be reduced. The strength of this approach is in enabling the identification of priority areas for conservation, using not only ecological and taxonomical information but also the inherent uses of ecosystems for local communities, which will help to ensure the maintenance of the diversity of species groups that also provide services to local inhabitants. For conservation of forests to succeed, maintaining these ecosystems must be considered vital for the survival and wellbeing of rural communities due to the array of important goods and services they provide.

Supplementary Materials

The following supporting information can be downloaded at: https://www.mdpi.com/article/10.3390/wild1010001/s1, Table S1: Traditional uses of each species registered in this study; Table S2: Number of species for each use category at each sampled patch.

Author Contributions

All authors contributed to the study conceptualization and design. Formal Analysis, N.M.-S.; investigation, N.M.-S., P.M.-C. and R.C.-K.; data curation, N.M.-S.; writing—original draft preparation, N.M.-S.; writing—review and editing, N.M.-S., P.M.-C. and R.C.-K.; supervision, P.M.-C. and R.C.-K.; funding acquisition, N.M.-S. All authors have read and agreed to the published version of the manuscript.

Funding

This study was funded by The Rufford Foundation (Rufford small grant #206761, to NMS); the Instituto de Ecología, A. C. (project INECOL 20030-10281); and the Consejo Nacional de Ciencia y Tecnología (CONACYT, Scholarship #263474, to NMS).

Institutional Review Board Statement

Not applicable.

Data Availability Statement

The original contributions presented in the study are included in the article/Supplementary Material, further inquiries can be directed to the corresponding author.

Acknowledgments

We are grateful to Victor Vazquez, Noé Cardona, Miguel Ramirez, Evodio Martínez, Tomás Higueredo, and Enrique Romero for their help during the field work and to those in charge of the Amelco UMA; also, to René Altamirano, Noé Cardona, and the Higueredo Family for granting us permission to work on their properties.

Conflicts of Interest

The authors declare no conflicts of interest.

References

  1. Banda, K.; Delgado-Salinas, A.; Dexter, K.G.; Linares-Palomino, R.; Oliveira-Filho, A.; Prado, D.; Pullan, M.; Quintana, C.; Riina, R.; Rodríguez, G.M. Plant Diversity Patterns in Neotropical Dry Forests and Their Conservation Implications. Science 2016, 353, 1383–1387. [Google Scholar]
  2. Sánchez-Azofeifa, G.A.; Portillo-Quintero, C. Extent and Drivers of Change of Neotropical Seasonally Dry Tropical Forests. In Seasonally Dry Tropical Forests; Springer: Berlin/Heidelberg, Germany, 2011; pp. 45–57. [Google Scholar]
  3. Balvanera, P.; Castillo, A.; MartÍnez-Harms, M.J. Ecosystem Services in Seasonally Dry Tropical Forests. In Seasonally Dry Tropical Forests; Dirzo, R., Young, H.S., Mooney, H.A., Ceballos, G., Eds.; Island Press: Washington, DC, USA, 2011; pp. 259–277. ISBN 978-1-61091-021-7. [Google Scholar]
  4. McKinney, M.L.; Lockwood, J.L. Biotic Homogenization: A Few Winners Replacing Many Losers in the next Mass Extinction. Trends Ecol. Evol. 1999, 14, 450–453. [Google Scholar] [CrossRef]
  5. Melo, F.P.L.; Arroyo-Rodríguez, V.; Fahrig, L.; Martínez-Ramos, M.; Tabarelli, M. On the Hope for Biodiversity-Friendly Tropical Landscapes. Trends Ecol. Evol. 2013, 28, 462–468. [Google Scholar] [CrossRef]
  6. Maass, M.; Ahedo-Hernández, R.; Araiza, S.; Verduzco, A.; Martínez-Yrízar, A.; Jaramillo, V.J.; Parker, G.; Pascual, F.; García-Méndez, G.; Sarukhán, J. Long-Term (33 Years) Rainfall and Runoff Dynamics in a Tropical Dry Forest Ecosystem in Western Mexico: Management Implications under Extreme Hydrometeorological Events. For. Ecol. Manag. 2018, 426, 7–17. [Google Scholar] [CrossRef]
  7. Mesa-Sierra, N.; Laborde, J.; Escobar, F. Seasonally Dry Tropical Forests of the Gulf of Mexico: A Degraded Landscape Undergoing Homogenization or a Promising, Resilient Reservoir? Acta Oecologica 2020, 106, 103583. [Google Scholar] [CrossRef]
  8. Albuquerque, U.P.; de Lima Araújo, E.; de Castro, C.C.; Alves, R.R.N. People and Natural Resources in the Caatinga. In Caatinga; Springer: Berlin/Heidelberg, Germany, 2017; pp. 303–333. [Google Scholar]
  9. Bremer, L.L.; Mandle, L.; Trauernicht, C.; Pascua, P.; McMillen, H.L.; Burnett, K.; Wada, C.A.; Kurashima, N.; Quazi, S.A.; Giambelluca, T.; et al. Bringing Multiple Values to the Table: Assessing Future Land-Use and Climate Change in North Kona, Hawaii. E&S 2018, 23, 33. [Google Scholar] [CrossRef]
  10. Milcu, A.I.; Hanspach, J.; Abson, D.; Fischer, J. Cultural Ecosystem Services: A Literature Review and Prospects for Future Research. E&S 2013, 18, 44. [Google Scholar] [CrossRef]
  11. Burnett, K.M.; Ticktin, T.; Bremer, L.L.; Quazi, S.A.; Geslani, C.; Wada, C.A.; Kurashima, N.; Mandle, L.; Pascua, P.; Depraetere, T.; et al. Restoring to the Future: Environmental, Cultural, and Management Trade-Offs in Historical versus Hybrid Restoration of a Highly Modified Ecosystem. Conserv. Lett. 2019, 12, e12606. [Google Scholar] [CrossRef]
  12. Gavin, M.C.; Anderson, G.J. Socioeconomic Predictors of Forest Use Values in the Peruvian Amazon: A Potential Tool for Biodiversity Conservation. Ecol. Econ. 2007, 60, 752–762. [Google Scholar] [CrossRef]
  13. Tabuti, J.R.S.; Dhillion, S.S.; Lye, K.A. Firewood Use in Bulamogi County, Uganda: Species Selection, Harvesting and Consumption Patterns. Biomass Bioenergy 2003, 25, 581–596. [Google Scholar] [CrossRef]
  14. González-Montagut, R. Factors That Contributed to the Expansion of Cattle Ranching in Veracruz, Mexico. Mex. Stud./Estud. Mex. 1999, 15, 101–130. [Google Scholar] [CrossRef]
  15. López-Barrera, F.; Manson, R.H.; Landgrave, R. Identifying Deforestation Attractors and Patterns of Fragmentation for Seasonally Dry Tropical Forest in Central Veracruz, Mexico. Land Use Policy 2014, 41, 274–283. [Google Scholar] [CrossRef]
  16. Martínez-Ramos, M.; Ortiz-Rodríguez, I.A.; Piñero, D.; Dirzo, R.; Sarukhán, J. Anthropogenic Disturbances Jeopardize Biodiversity Conservation within Tropical Rainforest Reserves. Proc. Natl. Acad. Sci. USA 2016, 113, 5323–5328. [Google Scholar] [CrossRef]
  17. Miles, L.; Newton, A.C.; DeFries, R.S.; Ravilious, C.; May, I.; Blyth, S.; Kapos, V.; Gordon, J.E. A Global Overview of the Conservation Status of Tropical Dry Forests. J. Biogeogr. 2006, 33, 491–505. [Google Scholar] [CrossRef]
  18. Portillo-Quintero, C.; Sanchez-Azofeifa, A.; Calvo-Alvarado, J.; Quesada, M.; do Espirito Santo, M.M. The Role of Tropical Dry Forests for Biodiversity, Carbon and Water Conservation in the Neotropics: Lessons Learned and Opportunities for Its Sustainable Management. Reg. Environ. Chang. 2015, 15, 1039–1049. [Google Scholar] [CrossRef]
  19. Halffter, G. Reservas archipiélago: Un nuevo tipo de área protegida. In Hacia una Cultura de Conservación de la Diversidad Biológica; m3m: Monografías Tercer Milenio, España, 2007; pp. 281–286. [Google Scholar]
  20. Ridding, L.E.; Redhead, J.W.; Oliver, T.H.; Schmucki, R.; McGinlay, J.; Graves, A.R.; Morris, J.; Bradbury, R.B.; King, H.; Bullock, J.M. The Importance of Landscape Characteristics for the Delivery of Cultural Ecosystem Services. J. Environ. Manag. 2018, 206, 1145–1154. [Google Scholar] [CrossRef]
  21. Barton, D.N.; Chaplin-Kramer, R.; Lazos, E.; Van Noordwijk, M.; Engel, S.; Girvan, A.; Hahn, T.; Leimona, B.; Lele, S.; Niamir, A. Chapter 4. Value Expression in Decision-Making. In Methodological Assessment Report on the Diverse Values and Valuation of Nature of the Intergovernmental Science-Policy Platform on Biodiversity and Ecosystem Services; IPBES Secretariat: Bonn, Germany, 2022. [Google Scholar]
  22. Pascual, U.; Balvanera, P.; Anderson, C.B.; Chaplin-Kramer, R.; Christie, M.; González-Jiménez, D.; Martin, A.; Raymond, C.M.; Termansen, M.; Vatn, A. Diverse Values of Nature for Sustainability. Nature 2023, 620, 813–823. [Google Scholar] [CrossRef]
  23. Brown, K.A.; Flynn, D.F.B.; Abram, N.K.; Ingram, J.C.; Johnson, S.E.; Wright, P. Assessing Natural Resource Use by Forest-Reliant Communities in Madagascar Using Functional Diversity and Functional Redundancy Metrics. PLoS ONE 2011, 6, e24107. [Google Scholar] [CrossRef]
  24. Gavin, M.C.; Anderson, G.J. Testing a Rapid Quantitative Ethnobiological Technique: First Steps towards Developing a Critical Conservation Tool. Econ. Bot. 2005, 59, 112–121. [Google Scholar] [CrossRef]
  25. Lhoest, S.; Dufrêne, M.; Vermeulen, C.; Oszwald, J.; Doucet, J.-L.; Fayolle, A. Perceptions of Ecosystem Services Provided by Tropical Forests to Local Populations in Cameroon. Ecosyst. Serv. 2019, 38, 100956. [Google Scholar] [CrossRef]
  26. Hegde, R.; Enters, T. Forest Products and Household Economy: A Case Study from Mudumalai Wildlife Sanctuary, Southern India. Envir. Conserv. 2000, 27, 250–259. [Google Scholar] [CrossRef]
  27. Lazos-Ruíz, A.; Moreno-Casasola, P.; Guevara, S.S.; Gallardo, C.; Galante, E. El uso de los árboles en Jamapa, tradiciones en un territorio deforestado. MYB 2016, 22, 17–36. [Google Scholar] [CrossRef]
  28. Gould, R.K.; Klain, S.C.; Ardoin, N.M.; Satterfield, T.; Woodside, U.; Hannahs, N.; Daily, G.C.; Chan, K.M. A Protocol for Eliciting Nonmaterial Values through a Cultural Ecosystem Services Frame: Analyzing Cultural Ecosystem Services. Conserv. Biol. 2015, 29, 575–586. [Google Scholar] [CrossRef]
  29. Johnson, J. Geospatial Economics; University of Minnesota: Minneapolis, MN, USA, 2014. [Google Scholar]
  30. de Veracruz, Y.Z.; Puebla, L.C. Exploraciones Botánicas En Veracruz y Estados Circunvecinos I. Pisos Altitudinales de Vegetación En El Centro de Veracruz y Zonas Limítrofes Con Puebla. La Cienc. Y El Hombre 1992, 10, 67–115. [Google Scholar]
  31. Sluyter, A. The Making of the Myth in Postcolonial Development: Material-Conceptual Landscape Transformation in Sixteenth-Century Veracruz. Ann. Assoc. Am. Geogr. 1999, 89, 377–401. [Google Scholar] [CrossRef]
  32. INEGI. Catálogo Técnico de Nombres Comunes de las Especies Forestales Maderables; INEGI: Mexico, 2001; p. 128. [Google Scholar]
  33. Noguera, B.; Díaz, E.; García, M.; San Feliciano, A.; López-Perez, J.; Israel, A. Anti-Inflammatory Activity of Leaf Extract and Fractions of Bursera simaruba (L.) Sarg (Burseraceae). J. Ethnopharmacol. 2004, 92, 129–133. [Google Scholar] [CrossRef]
  34. Escamilla Peréz, B.; Moreno Casasola, P. Plantas Medicinales de La Matamba y El Piñonal, Municipio de Jamapa; Instituto Literario de Veracruz: Veracruz Mexico, Mexico, 2015. [Google Scholar]
  35. Lascurain, M.; del Amo, R.S.; Lascurain, M. Guía de Frutos Silvestres Comestibles en Veracruz; Fondo Conacyt Conafor: Instituto de Ecología A.C., INECOL: Mexico, 2010; ISBN 978-607-7579-19-9. [Google Scholar]
  36. Moreno-Casasola, P.; Paradowska, K. Especies útiles de la selva baja caducifolia en las dunas costeras del centro de Veracruz. MYB 2009, 15, 21–44. [Google Scholar] [CrossRef][Green Version]
  37. Mesa-Sierra, N. Capital Natural Del Trópico Seco de Veracruz. Ph.D. Thesis, Instituto de Ecología, A.C., Xalapa-Enríquez, Mexico, 2020. [Google Scholar]
  38. Castillo-Rivero, L.; McCann, P.; Sijtsma, F.J. A Multi-scale Approach to Rural Depopulation in Mexico. Reg. Sci. Policy Pract. 2021, 13, 1328–1348. [Google Scholar] [CrossRef]
  39. McLean-Rodríguez, F.D.; Camacho-Villa, T.C.; Almekinders, C.J.; Pè, M.E.; Dell’Acqua, M.; Costich, D.E. The Abandonment of Maize Landraces over the Last 50 Years in Morelos, Mexico: A Tracing Study Using a Multi-Level Perspective. In Rethinking Food System Transformation; Springer: Berlin/Heidelberg, Germany, 2022; pp. 1–18. [Google Scholar]
  40. Bonilla-Moheno, M.; Aide, T.M. Beyond Deforestation: Land Cover Transitions in Mexico. Agric. Syst. 2020, 178, 102734. [Google Scholar] [CrossRef]
  41. Travieso-Bello, A.C.; Campos, A. Los Componentes Del Paisaje. In Entornos Veracruzanos: La Costa de La Mancha; Instituto de Ecología, A.C.: Xalapa, Mexico, 2006; pp. 245–280. [Google Scholar]
  42. Mesa-Sierra, N.; Escobar, F.; Laborde, J. Appraising Forest Diversity in the Seasonally Dry Tropical Region of the Gulf of Mexico; UNAM: Mexico, 2020; Volume 22. [Google Scholar]
  43. Couttolenc-Brenis, E.; Cruz-Rodríguez, J.A.; Portugal, E.C.; Musálem, M.Á. Uso local y potencial de las especies arbóreas en Camarón de Tejada, Veracruz. Rev. Chapingo Ser. Cienc. For. Y Ambiente 2005, 11, 45–50. [Google Scholar]
  44. Williams-Linera, G.; Lorea, F. Tree Species Diversity Driven by Environmental and Anthropogenic Factors in Tropical Dry Forest Fragments of Central Veracruz, Mexico. Biodivers. Conserv. 2009, 18, 3269–3293. [Google Scholar] [CrossRef]
  45. Mason, N.W.H.; Mouillot, D.; Lee, W.G.; Wilson, J.B. Functional Richness, Functional Evenness and Functional Divergence: The Primary Components of Functional Diversity. Oikos 2005, 111, 112–118. [Google Scholar] [CrossRef]
  46. Laliberté, E.; Legendre, P.; Shipley, B.; Laliberté, M.E. Package ‘FD.’ Measuring Functional Diversity from Multiple Traits, and Other Tools for Functional Ecology; CRAN R Project: Online, 2014. [Google Scholar]
  47. R Development Core Team R: A Language and Environment for Statistical Computing; R Foundation for Statistical Computing: Vienna, Austria, 2019.
  48. Cayetano, L.M.; del Amo Rodríguez, S. Paisaje, Memoria y Cultura. Una Trilogía Para La Conservación y El Bienestar de Las Comunidades Totonacas. In Saberes Ambientales Campesinos; Universidad de Ciencias y Artes de Chiapas: Chiapas, Mexico, 2011; pp. 97–136. [Google Scholar]
  49. Gavito, M.E.; Sandoval-Pérez, A.L.; del Castillo, K.; Cohen-Salgado, D.; Colarte-Avilés, M.E.; Mora, F.; Santibáñez-Rentería, A.; Siddique, I.; Urquijo-Ramos, C. Resilience of Soil Nutrient Availability and Organic Matter Decomposition to Hurricane Impact in a Tropical Dry Forest Ecosystem. For. Ecol. Manag. 2018, 426, 81–90. [Google Scholar] [CrossRef]
  50. Portillo-Quintero, C.A.; Sánchez-Azofeifa, G.A. Extent and Conservation of Tropical Dry Forests in the Americas. Biol. Conserv. 2010, 143, 144–155. [Google Scholar] [CrossRef]
  51. Iniguez-Gallardo, V.; Halasa, Z.; Briceño, J. People’s Perceptions of Ecosystem Services Provided by Tropical Dry Forests: A Comparative Case Study in Southern Ecuador. Tropical Forests—New Edition; Sudarshana, P., Nageswara-Rao, M., Soneji, J., Eds.; IntechOpen: London, UK, 2018; pp. 95–113. [Google Scholar]
  52. Rosero-Toro, J.H.; Romero-Duque, L.P.; Santos-Fita, D.; Ruan-Soto, F. Cultural Significance of the Flora of a Tropical Dry Forest in the Doche Vereda (Villavieja, Huila, Colombia). J. Ethnobiol. Ethnomed. 2018, 14, 22. [Google Scholar] [CrossRef]
  53. Zafra-Calvo, N.; Balvanera, P.; Pascual, U.; Merçon, J.; Martín-López, B.; van Noordwijk, M.; Mwampamba, T.H.; Lele, S.; Ifejika Speranza, C.; Arias-Arévalo, P.; et al. Plural Valuation of Nature for Equity and Sustainability: Insights from the Global South. Glob. Environ. Chang. 2020, 63, 102115. [Google Scholar] [CrossRef]
  54. Merçon, J.; Vetter, S.; Tengö, M.; Cocks, M.; Balvanera, P.; Rosell, J.A.; Ayala-Orozco, B. From Local Landscapes to International Policy: Contributions of the Biocultural Paradigm to Global Sustainability. Glob. Sustain. 2019, 2, e7. [Google Scholar] [CrossRef]
  55. Smith, W.K.; Nelson, E.; Johnson, J.A.; Polasky, S.; Milder, J.C.; Gerber, J.S.; West, P.C.; Siebert, S.; Brauman, K.A.; Carlson, K.M.; et al. Voluntary Sustainability Standards Could Significantly Reduce Detrimental Impacts of Global Agriculture. Proc. Natl. Acad. Sci. USA 2019, 116, 2130–2137. [Google Scholar] [CrossRef]
  56. Sonter, L.J.; Johnson, J.A.; Nicholson, C.C.; Richardson, L.L.; Watson, K.B.; Ricketts, T.H. Multi-Site Interactions: Understanding the Offsite Impacts of Land Use Change on the Use and Supply of Ecosystem Services. Ecosyst. Serv. 2017, 23, 158–164. [Google Scholar] [CrossRef]
  57. Gavin, M.C. Changes in Forest Use Value through Ecological Succession and Their Implications for Land Management in the Peruvian Amazon: Forest Use Value over Ecological Succession. Conserv. Biol. 2004, 18, 1562–1570. [Google Scholar] [CrossRef]
  58. Graves, R.A.; Pearson, S.M.; Turner, M.G. Species Richness Alone Does Not Predict Cultural Ecosystem Service Value. Proc. Natl. Acad. Sci. USA 2017, 114, 3774–3779. [Google Scholar] [CrossRef]
  59. Haglund, E.; Ndjeunga, J.; Snook, L.; Pasternak, D. Dry Land Tree Management for Improved Household Livelihoods: Farmer Managed Natural Regeneration in Niger. J. Environ. Manag. 2011, 92, 1696–1705. [Google Scholar] [CrossRef]
  60. Schmidt, I.B.; Mandle, L.; Ticktin, T.; Gaoue, O.G. What Do Matrix Population Models Reveal about the Sustainability of Non-Timber Forest Product Harvest?: Evaluating NTFP Harvest Sustainability. J. Appl. Ecol. 2011, 48, 815–826. [Google Scholar] [CrossRef]
  61. Olden, J.D.; Rooney, T.P. On Defining and Quantifying Biotic Homogenization. Glob. Ecol. Biogeogr. 2006, 15, 113–120. [Google Scholar] [CrossRef]
  62. Solar, R.R.D.C.; Barlow, J.; Ferreira, J.; Berenguer, E.; Lees, A.C.; Thomson, J.R.; Louzada, J.; Maués, M.; Moura, N.G.; Oliveira, V.H.F.; et al. How Pervasive Is Biotic Homogenization in Human-Modified Tropical Forest Landscapes? Ecol. Lett. 2015, 18, 1108–1118. [Google Scholar] [CrossRef]
  63. Johnson, J.A.; Runge, C.F.; Senauer, B.; Polasky, S. Global Food Demand and Carbon-Preserving Cropland Expansion under Varying Levels of Intensification. Land Econ. 2016, 92, 579–592. [Google Scholar] [CrossRef]
  64. Manuschevich, D.; Sarricolea, P.; Galleguillos, M. Integrating Socio-Ecological Dynamics into Land Use Policy Outcomes: A Spatial Scenario Approach for Native Forest Conservation in South-Central Chile. Land Use Policy 2019, 84, 31–42. [Google Scholar] [CrossRef]
  65. Zheng, H.; Robinson, B.E.; Liang, Y.-C.; Polasky, S.; Ma, D.-C.; Wang, F.-C.; Ruckelshaus, M.; Ouyang, Z.-Y.; Daily, G.C. Benefits, Costs, and Livelihood Implications of a Regional Payment for Ecosystem Service Program. Proc. Natl. Acad. Sci. USA 2013, 110, 16681–16686. [Google Scholar] [CrossRef]
  66. Palaima, A.; Mierauskas, P. Mainstreaming Natural Capital into Decisions: Integrated Valuation of Ecosystem Services. Soc. Technol. 2013, 3, 149–158. [Google Scholar]
  67. Guerry, A.D.; Polasky, S.; Lubchenco, J.; Chaplin-Kramer, R.; Daily, G.C.; Griffin, R.; Ruckelshaus, M.; Bateman, I.J.; Duraiappah, A.; Elmqvist, T.; et al. Natural Capital and Ecosystem Services Informing Decisions: From Promise to Practice. Proc. Natl. Acad. Sci. USA 2015, 112, 7348–7355. [Google Scholar] [CrossRef]
  68. Norden, N.; González-M, R.; Avella-M, A.; Salgado-Negret, B.; Alcázar, C.; Rodríguez-Buriticá, S.; Aguilar-Cano, J.; Castellanos-Castro, C.; Calderón, J.J.; Caycedo-Rosales, P.; et al. Building a Socio-ecological Monitoring Platform for the Comprehensive Management of Tropical Dry Forests. Plants People Planet 2020, 3, 238–248. [Google Scholar] [CrossRef]
  69. Ruckelshaus, M.; McKenzie, E.; Tallis, H.; Guerry, A.; Daily, G.; Kareiva, P.; Polasky, S.; Ricketts, T.; Bhagabati, N.; Wood, S.A.; et al. Notes from the Field: Lessons Learned from Using Ecosystem Service Approaches to Inform Real-World Decisions. Ecol. Econ. 2015, 115, 11–21. [Google Scholar] [CrossRef]
Disclaimer/Publisher’s Note: The statements, opinions and data contained in all publications are solely those of the individual author(s) and contributor(s) and not of MDPI and/or the editor(s). MDPI and/or the editor(s) disclaim responsibility for any injury to people or property resulting from any ideas, methods, instructions or products referred to in the content.

Article Metrics

Citations

Article Access Statistics

Multiple requests from the same IP address are counted as one view.