Abstract
The structural, elastic, and electronic properties of orthorhombic Cd2SiO4 and Hg2GeO4 were examined under varying pressure conditions using first-principles calculations based on density functional theory employing the Projector Augmented Wave method. The obtained cell parameters at 0 GPa were found to align well with existing experimental data. We delved into the pressure dependence of normalized lattice parameters and elastic constants. In Cd2SiO4, all lattice constants decreased as pressure increased, whereas, in Hg2GeO4, parameters a and b decreased while parameter c increased under pressure. Employing the Hill average method, we calculated the elastic moduli and Poisson’s ratio up to 10 GPa, noting an increase with pressure. Evaluation of ductility/brittleness under pressure indicated both compounds remained ductile throughout. We also estimated elastic anisotropy and Debye temperature under varying pressures. Cd2SiO4 and Hg2GeO4 were identified as indirect band gap insulators, with estimated band gaps of 3.34 eV and 2.09 eV, respectively. Interestingly, Cd2SiO4 exhibited a significant increase in band gap with increasing pressure, whereas the band gap of Hg2GeO4 decreased under pressure, revealing distinct structural and electronic responses despite their similar structures.
1. Introduction
Thenardite is a mineral consisting of anhydrous sodium sulfate and is commonly found in dry evaporite environments. Gmelin [] identifies eight distinct anhydrous phases of sodium sulfate. The phase commonly referred to as thenardite, named after the mineral, is designated as Na2SO4(V). It is documented to exhibit stability within the temperature range of 32 °C to approximately 180 °C. The thenardite mineral crystallizes in an orthorhombic structure with Fddd space group. The atomic arrangement in ternary compounds of the AB2O4 type is known to be influenced by the relative sizes of the A and B cations. Muller and Roy [] demonstrated that the stability of the structure type relies on the comparative sizes of these cations. They found that, within silicate and germanate compounds, the olivine structure type can accommodate a wider spectrum of octahedral cation sizes in contrast to other structure types. Despite earlier expectations from cation radius assessments indicating that chromous orthosilicate would adopt the olivine structure, Cr2SiO4 was observed to crystallize in the thenardite-type structure instead [,,]. Typically, the latter is associated with cations that are larger than those present in silicates and germanates exhibiting the olivine structure type. Mercury orthogermanate, Hg2GeO4 [], and cadmium orthosilicate, Cd2SiO4 [], represent the only other known compounds featuring this particular structure type.
Mehrotra et al. [] conducted a comprehensive review of compounds exhibiting isomorphism with thenardite in 1978. Apart from Na2SO4 and Na2SeO4, the structural configuration resembling thenardite is also observed in Ag2SO4, various mixed phosphates, and arsenates (such as AgHgPO4, NaCdAsO4, and AgCdAsO4). In such materials, non-tetrahedral elements (Na, Ag, Cd, Hg) are situated close to the centers of distorted six-cornered polyhedra, maintaining significant separation. Cr2SiO4 exhibits the Fddd space group, similar cell dimensions, and comparable oxygen atomic coordinates. The primary distinction lies in the z coordinate of Cr in contrast to that of Na, Ag, Hg, or Cd atoms. In Na2SO4, Na atoms within highly distorted octahedra are spaced 3.60 Å apart. Contrastingly, in the comparable observation of Cr2SiO4, the movement of O atoms, notably the displacement of the Cr atom along the c axis, results in (1) flattening one side of the octahedron to form an equatorial plane (distorted), and (2) relocating the Cr atom from its position near the midpoint of the octahedron to the face of the equatorial plane. This motion simultaneously extends the distance to the oxygens in the tetrahedral edge while reducing the distance to the Cr atom in the neighboring equatorial plane.
The exploration of cadmium silicate, encompassing its three distinct stoichiometries, CdSiO3 [], Cd2SiO4, and Cd3SiO5 [], has been ongoing since the early 20th century, primarily due to its luminescent properties []. This luminescence, often referred to as persistent luminescence, has found applications in various fields, including bioimaging and optical data storage, as well as decorative and emergency signaling [,,]. Notably, Dy3+-doped cadmium silicate materials have demonstrated persistent luminescence exceeding five hours []. Cadmium silicates adopt specific structures at room temperature: monoclinic CdSiO3, orthorhombic Cd2SiO4, and tetragonal Cd3SiO5. The initial structure (CdSiO3) is classified within the P121/c1 space group, characterized by three asymmetrically distorted (CdO6)4− octahedra arranged in slabs parallel to the (0 1 0) plane, with unbranched silicate chains serving as separators. These chains are composed of regular corner-sharing (SiO4)4− tetrahedra []. The second structure (Cd2SiO4) is classified within the Fddd space group and comprises solely one asymmetrically distorted (CdO6)4− octahedron amidst highly regular (SiO4)4− tetrahedra []. The final structure (Cd3SiO5) is categorized under the P4/nmm space group, featuring two distinctly symmetric (CdO6)4− octahedra positioned between regular (SiO4)4− tetrahedra [,]. Furthermore, the thenardite-type compound Hg2GeO4 was synthesized by Rfpke and Eysel (1978) through hydrothermal methods at 673 K and 2 × 108 Pa in a welded gold capsule. Hg2GeO₄ is the sole known compound within the HgO-SiO2-GeO2 system. Mehrotra et al. [] proposed a tentative structure based on geometrical considerations, a proposal later generally confirmed by Hesse in 1981 []. The inclination of Hg2⁺ toward two-fold coordination is apparent from the varying short and long Hg-O distances, leading to a markedly distorted structure within the thenardite family [].
Cr2SiO4 and Cd2SiO4 possessing the orthorhombic thenardite structure have undergone examination under elevated pressures [,]. The Cd2SiO4 structure underwent thorough refinement under different pressures, reaching up to 9.5 GPa. This analysis unveiled a bulk modulus of 119.5 ± 0.5 GPa, accompanied by a pressure derivative B0′ valued at 6.17(4). On the contrary, the structure of Cr2SiO4, refined up to 9.2 GPa, demonstrated a bulk modulus of 94.7 ± 0.5 GPa, alongside a B0′ value of 8.32(14). Miletech et al. [] attributed the relatively lower bulk modulus and higher B0′ of the chromous structure to the compression of the unusually long Cr-O bond and the comparatively small size of the Cr2+ ion relative to the coordination polyhedron’s size. Meanwhile, there have been no reports on the structural properties of a similar compound, Hg2GeO4 of the thenardite type, under high pressure to date.
In this study, our objective is to examine the distinct physical characteristics of Cd2SiO4 and Hg2GeO4 and investigate the effects of pressure variations on their behavior. The subsequent section of our research focuses on the computational methodology employed. Transitioning to the third segment, we present a thorough overview of our major discoveries and engage in discussions regarding structural properties, elasticity, mechanical responses, dynamic features, and electronic properties. We will analyze these aspects under both ambient and pressured conditions. Lastly, we will synthesize our findings and present concluding remarks in the final section.
2. Materials and Methods
The molecular geometry optimization was carried out using the Projector Augmented Wave (PAW) method within the density functional theory (DFT) framework, as implemented in VASP []. Specifically, the Projector Augmented Wave formalism-based pseudopotentials were employed. The Perdew–Burke–Ernzerhof for solids (PBEsol) [] functional, within the Generalized Gradient Approximation (GGA), was utilized for generating exchange-correlation functionals. Additionally, PBE [] calculations were performed, revealing that PBEsol provides a better description of the crystal structure of Be2SiO4. Consequently, this study primarily focuses on the results obtained from PBEsol calculations. For all computations, a plane wave energy cutoff of 600 eV was set, with a selected energy convergence criterion of 10−8 eV. Geometry optimization employed a dense k-mesh based on the Monkhorst–Pack technique []. Phonon dispersion calculations were conducted using density functional perturbation theory with VASP and Phonopy []. The phonon calculations utilized a 2 × 2 × 2 supercell (112 atoms), employing a 6 × 6 × 6 k-point mesh and an energy convergence criterion of 10−8 eV. To address the underestimation of the band gap for semiconductors/insulators in GGA, the hybrid functional HSE06 was employed to compute electronic characteristics. The Hartree–Fock screening value was set at 0.2 Å []. For analyzing the band gap response to pressure variations, calculations were carried out using VASP with HSE06 functional. The bulk modulus and its pressure dependency were determined by fitting the pressure–volume (P-V) data to a third-order Birch–Murnaghan equation of state (EOS), elucidating the unit cell volume’s response to compression [].
3. Results
3.1. Structural Properties
Both mineral compounds feature an orthorhombic crystalline structure with the space group Fddd, which is illustrated in Figure 1. In our case, calculations were conducted using GGA-PBE [] and GGA-PBEsol [] functionals. Our computational analysis indicates that the GGA-PBEsol functional accurately describes the ground state of the investigated compound, as summarized in Table 1. The predicted cell parameters closely match experimental values [,]. Table 1 reveals that PBE tends to slightly overestimate the cell parameters. The obtained atomic positions are listed in Table 2.

Figure 1.
Crystal structure of (a) Cd2SiO4 and (b) Hg2GeO4.

Table 1.
The unit cell parameters for Cd2SiO4 and Hg2GeO4, comprising outcomes from both PBE and PBEsol computations, as well as experimental findings.

Table 2.
Calculated atomic positions of both compounds using PBEsol functional.
The thenardite-type minerals’ structure, as described in Figure 1, features tetrahedrally coordinated Si (Ge) and octahedrally coordinated Cd (Hg) atoms in Cd2SiO4 (Hg2GeO4). In Cd2SiO4, the O atom is coordinated by three Cd atoms and one Si atom. Similarly, in Hg2GeO4, the O atom forms bonds in a tetrahedral coordination with three identical Hg atoms and one Ge atom. The CdO6 (HgO6) octahedra link together via shared edges, creating zigzag chains aligned with the crystallographic [110] and [−110] directions. These chains establish a three-dimensional network, further connected through shared edges among CdO6 (HgO6) octahedra. Additionally, the SiO4 (GeO4) tetrahedra play a role in this connectivity, sharing edges with CdO6 (HgO6) octahedra. Both octahedra and tetrahedra exhibit significant distortion due to the unique connectivity of the SiO4 (GeO4) groups. In Cd2SiO4, the tetrahedron undergoes uniaxial elongation along its two-fold axis parallel to the c axis due to the sharing of two edges of the silicate tetrahedron with edges of the CdO6 polyhedra. Conversely, in Hg2GeO4, the elongation of the tetrahedron along its two-fold axis, aligned with the b axis, is induced by the sharing of two edges between the germanate tetrahedron and the HgO6 polyhedra.
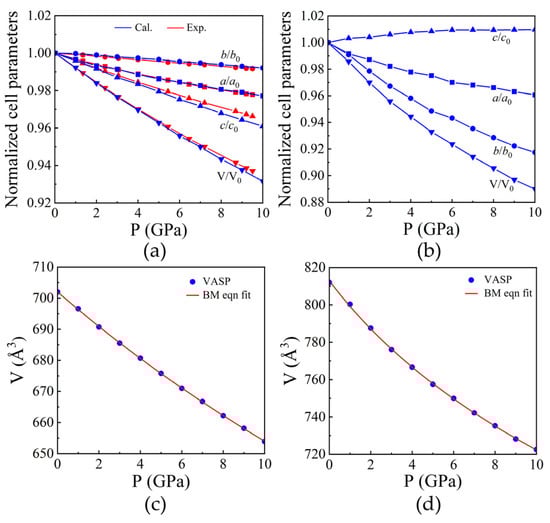
Furthermore, we have computed the structural parameters as variables dependent on pressure, illustrated in Figure 2a,b. For Cd2SiO4, we observed a close correspondence between the volume (V/V0) and lattice constants (a/a0, b/b0, c/c0) and experimental data, as indicated in Figure 2a. The response of lattice parameters to pressure exhibits significant anisotropy in both compounds. As pressure increases, all lattice parameters decrease in Cd2SiO4, whereas, in Hg2GeO4, parameters a and b decrease with increasing pressure, while parameter c shows an increase under pressure. From Figure 2a,b, it is evident that Cd2SiO4 and Hg2GeO4 exhibit less compressibility along the b and the a axis, respectively. The compression of the unit cell of Cd2SiO4 is highly anisotropic, similar to Cr2SiO4, though the anisotropy is more pronounced in Cr2SiO4. In Cd2SiO4, the a axis is more compressible than the b axis, whereas, in Cr2SiO4, the b axis is more compressible than the a axis [].

Figure 2.
The variations in lattice parameters and volume under pressure for (a) Cd2SiO4 and (b) Hg2GeO4. In Figure 2a,b, the shapes square, circle, up triangle, and down triangle correspond to the ratios a/a0, b/b0, c/c0, and V/V0, respectively. The pressure-induced changes in volume, accompanied by fitting to the Birch–Murnaghan equation for (c) Cd2SiO4 and (d) Hg2GeO4.
Additionally, the volume (V0), bulk modulus (B0), and its pressure derivative (B0′) at zero pressure were determined through least-squares analysis of pressure–volume data. To calculate the bulk modulus for both compounds, we utilized the third-order Birch–Murnaghan equation of state (EOS). The resulting values for Cd2SiO4 are 702.03 Å3, 120.53 GPa, and 4.43 for V0, B0, and B0′, respectively, and, for Hg2GeO4, they are 812.95 Å3, 54.95 GPa, and 7.50. In Figure 2c,d, the unit cell volume data plotted against pressure are shown, along with the pressure–volume curve determined using these fitted parameters. R. Miletich obtained B0 = 119.2(5) GPa and B0′ = 6.17(4) for Cd2SiO4, indicating agreement with our theoretical results []. The compressibility of Cd2SiO4, with B0 = 120.53 GPa, is lower than that of Hg2GeO4 and Cr2SiO4 (B0 = 94.7(4) GPa) []. Other known cadmium oxides with compression data include CdO and CdWO4, for which B0 = 108 GPa [] and 123 GPa [] were reported, respectively. This is a consequence of the fact that, in the three compounds, compressibility is dominated by changes induced by pressure in the coordination polyhedral of Cd. Conversely, the compressibility of Cd2SiO4 is quite similar to that of olivine-type M2SiO4 compounds containing large M cations, such as Fe2SiO4 (B0 = 123.9 GPa) [] or CaMgSiO4 (B0 = 113 GPa) [].
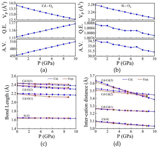
The compression of both the CdO6 and SiO4 coordination polyhedra in Cd2SiO4 is affected by their respective polyhedral geometries. The CdO6 polyhedra exhibit an increase in angular and bond length distortion as pressure increases, as depicted in Figure 3a. The polyhedral volume of CdO6 shows a more significant decrease with pressure compared to the CrO6 in Cr2SiO4 []. Figure 3c illustrates the Cd-O bond lengths as pressure varies, demonstrating anisotropic polyhedral compression. The longest bonds, Cd-O(5,6), share edges with the SiO4 tetrahedra, resulting in the shortest inter-cation distance (Cd-Si distance of 3.098 Å). This Cd-Si distance is shorter than the Cr-Si distance of 3.418 Å in Cr2SiO4. On the other hand, the Cd-Cd distance is significantly larger than the Cr-Cr distance []. The shorter Cd-O(1,2) and Cd-O(3,4) bonds engage in weaker cation–cation interactions across shared O-O edges. The atypical angular distortion of the CdO6 octahedron, arising from polyhedral connections and shared edges, elucidates the alterations in polyhedral geometry induced by pressure. Significantly, the axes of the O-Cd-O octahedron exhibit substantial deviations from the ideal 180°, with O(3)-Cd-O(4) measuring 141.5° and O(1)-Cd-O(6) at 113.39°, as illustrated in Supplementary Figure S1. The displacement between Cd and O atoms along the c axis influences the O(3)-Cd-O(4) angle, whereas displacement along the b direction affects bond angles like O(5)-Cd-O(6), O(1)-Cd-O(4), and O(3)-Cd-O(5). Furthermore, the displacement of the Cd atom concerning the surrounding O atoms elucidates the distinction in compression between Cd-O(1) and Cd-O(2) bonds under pressure, leading to variations in compression along the crystallographic a and b axes, as depicted in Figure 2a. In the SiO4 tetrahedron, polyhedral volumes and Si-O distances remain relatively unchanged with pressure, as depicted in Figure 3b and 3c, respectively, while angular distortion notably decreases. In Cr2SiO4, both the quadratic elongation and the bond angle variance of SiO4 increase with pressure, whereas, in Cd2SiO4, the polyhedral distortion of SiO4 decreases under pressure []. The decrease in distortion signifies the diminishing uniaxial elongation caused by repulsion between Cd and Si atoms along shared edges. Likewise, O-Si-O angles tend toward the ideal tetrahedral angle with increasing pressure. The compression mechanism of Cd2SiO4 structure is mainly governed by cation–cation repulsions across shared O-O polyhedral edges. Symmetrically distinct metal–metal distances exhibit minimal compression up to 10 GPa, indicating stiffness relative to the overall structure. These repulsions induce distortions in CdO6 octahedra and displace Cd atoms, leading to rapid compression of the Cd-Cd(3) distance between opposing octahedra, even surpassing compression along the parallel c axis.

Figure 3.
Pressure dependence of (a,b) polyhedral volume along with the quadratic elongation (QE) and angular variance (AV) of CdO6 and SiO4. (c) Selected bond lengths and (d) inter-cation distances as a function of pressure of Cd2SiO4. In Figure 3c, the shapes square, circle, up triangle, and down triangle correspond to the Cd-O(1), Cd-O(2), Cd-O(3), and Si-O, respectively. In Figure 3d, the shapes square, circle, up triangle, and diamond correspond to the Cd-Si, Cd-Cd(1), Cd-Cd(2), and Cd-Cd(3), respectively.
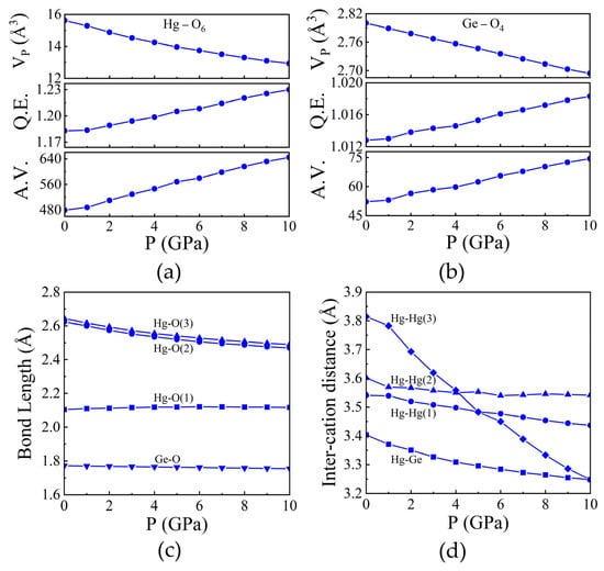
Likewise, we investigated the HgO6 and GeO4 polyhedra within the Hg2GeO4 compound. Both the HgO6 and GeO4 polyhedra demonstrate heightened angular distortion and bond length variation with increasing pressure, as shown in Figure 4a,b. The HgO6 polyhedra experience greater compression under pressure compared to CdO6 and CrO6 []. Figure 4c depicts the fluctuation in Hg-O bond lengths under varying pressures, highlighting anisotropic compression of the polyhedra. The longest bonds, Hg-O(3), share edges with the GeO4 tetrahedra, resulting in the shortest inter-cation distance (Hg-Ge distance of 3.403 Å). This Hg-Ge distance is larger than the Cd-Si but nearly equal to the Cr-Si distance []. The shorter Hg-O(1) and Hg-O(2) bonds engage in weaker cation–cation interactions across shared O-O edges. The atypical angular deformation of the HgO6 octahedron, stemming from polyhedral connections and shared edges, elucidates pressure-induced alterations in polyhedral geometry. Notably, the O-Hg-O octahedron axes exhibit significant deviations from the ideal 180°, with O(3)-Hg-O(4) measuring 145.78° and O(1)-Hg-O(6) at 112.26°, as shown in Supplementary Figure S2. The displacement of Hg atoms relative to O atoms along the b axis impacts the O(3)-Hg-O(4) angle, whereas displacement along the c direction alters bond angles such as O(5)-Hg-O(6), O(1)-Hg-O(4), and O(3)-Hg-O(5). Moreover, the displacement of the Hg atom relative to surrounding O atoms accounts for the discrepancy between Hg-O(1) and Hg-O(2) bond compressions with pressure, contributing to variations in compression along crystallographic a and b axes, as depicted in Figure 2b. In the GeO4 tetrahedron, polyhedral volumes and Ge-O distances remain relatively stable under pressure, as shown in Figure 4b and 4c, respectively. Unlike the SiO4 polyhedra in Cd2SiO4, the angular and bond length distortions in GeO4 increase under pressure, similar to the behavior observed in the SiO4 polyhedra of Cr2SiO4 [].

Figure 4.
Pressure dependence of polyhedral volume along with the quadratic elongation (QE) and angular variance (AV) of (a) HgO6 and (b) GeO4. (c) Selected bond lengths and (d) inter-cation distances as a function of pressure of Hg2GeO4. In Figure 4c, the shapes square, circle, up triangle, and down triangle correspond to the Hg-O(1), Hg-O(2), Hg-O(3), and Ge-O, respectively. In Figure 4d, the shapes square, circle, up triangle, and diamond correspond to the Hg-Ge, Hg-Hg(1), Hg-Hg(2), and Hg-Hg(3), respectively.
3.2. Elastic and Mechanical Properties
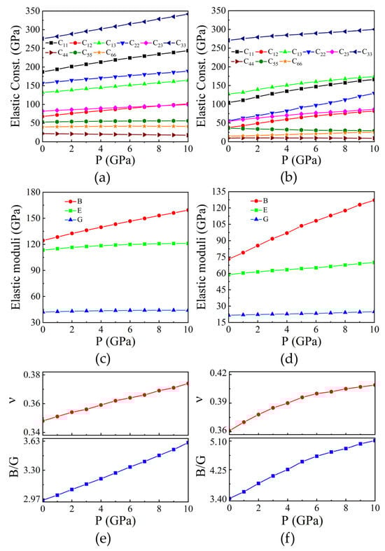
A material’s elastic properties govern its reaction to stress, encompassing both deformation and the subsequent restoration to its original form when stress is relieved. These properties play a crucial role in revealing the bonding dynamics between neighboring atomic layers, the directional characteristics of binding, and the overall structural integrity. Elastic constants of solids serve as a bridge between their mechanical and dynamical behaviors, offering crucial insights into the forces operating within them. Furthermore, these constants serve as predictive tools for determining the structural stability of materials. In the case of orthorhombic symmetry, there are nine distinct elastic constants: C11, C22, C33, C44, C55, C66, C12, C13, and C23 []. These elastic constants adhere to the generalized lattice stability criteria [] across various pressure ranges, signifying the mechanical robustness of both compounds up to 10 GPa. With increasing pressure, almost all elastic constants experience growth, reflecting strong interactions between atoms. Consequently, the compounds exhibit enhanced strength, as depicted in Figure 5a,b.

Figure 5.
The pressure-dependent variations in elastic constants, elastic moduli, Poisson’s ratio (ν), and B/G values are investigated for (a,c,e) Cd2SiO4 and (b,d,f) Hg2GeO4.
Employing the elastic constants acquired, we calculated the bulk modulus (B) and shear modulus (G) utilizing the Voigt–Reuss–Hill (VRH) approximation [,]. For Cd2SiO4, the calculated B and G values are 124.41 GPa and 42.05 GPa, respectively. Conversely, for Hg2GeO4, the B and G values are 73.06 GPa and 21.54 GPa, respectively. Notably, Cd2SiO4 exhibits a comparatively larger bulk modulus and shear modulus, indicating greater stiffness and resistance to deformation under stress. The determined B values at ambient pressure for both compounds align closely with the B0 value derived from the Birch–Murnaghan equation of state (EOS). The calculated B and G values of both compounds are smaller than those of other minerals such as BeAl2O4 (B = 213.30 GPa, G = 146.55 GPa) [], Be2SiO4 (B = 181.21 GPa, G = 94.29 GPa) [], Mg2SiO4 (B = 183 GPa, G = 101 GPa), and Fe2SiO4 (B = 194 GPa, G = 99 GPa) []. Additionally, Young’s modulus (E) can be derived from the bulk and shear moduli. For Cd2SiO4, the obtained value of E is 113.37 GPa, while, for Hg2GeO4, it is 58.78 GPa. These values of E are significantly lower than those of other compounds such as BeAl2O4 (357.72 GPa) [], Be2SiO4 (241.05 GPa) [], Mg2SiO4 (256 GPa), and Fe2SiO4 (254 GPa) []. We have calculated the elastic moduli up to 10 GPa. As pressure increases, the values of B, G, and E also increase, as depicted in Figure 5c,d.
The values of ν and the B/G ratio serve to characterize the brittle or ductile nature of a structure. If ν and B/G are both less than 0.26 and 1.75, respectively, the structure is considered brittle; otherwise, it is regarded as ductile [,]. Our findings suggest that both proposed structures exhibit ductile behavior. Poisson’s ratio serves as an indicator of volume alteration during uniaxial deformation, with a value of ν = 0.5 indicating no volume change during elastic deformation. The low values observed for both compounds imply significant volume changes during their deformation. Additionally, ν provides insights into the bonding forces’ characteristics more effectively than other elastic constants []. It has been established that ν = 0.25 represents the lower limit for central-force solids, while 0.5 indicates infinite elastic anisotropy []. The low ν values observed for both structures suggest central interatomic forces within the compounds. In addition, we have determined the ν and B/G ratio under various pressures for both compounds. Both the ν and B/G ratio exhibit an increase as pressure increases, as illustrated in Figure 5e,f.
To assess the elastic anisotropy of the compounds under investigation, we acquired shear anisotropic factors, which measure the degree of anisotropy in atomic bonding across various planes. These factors play a critical role in evaluating the durability of materials. We calculated shear anisotropic factors for the {100} (A1), {010} (A2), and {100} (A3) crystallographic planes, as well as percentages of anisotropy in compression (AB) and shear (AG) [,]. In a crystal displaying isotropy, the values of A1, A2, and A3 should be one; any deviation from this indicates the presence of elastic anisotropy. A percentage anisotropy of 0% signifies perfect isotropy. For both compounds, the calculated shear anisotropy values under different external pressures are detailed in Table 3. For Cd2SiO4, anisotropies increase in the {010}, {001}, and {100} planes (A2 < A3 < A1) at zero pressure, with the {100} plane exhibiting the highest anisotropy. Conversely, Hg2GeO4 displays an anisotropy sequence of A3 < A2 < A1. Percentage anisotropies in compression and shear are approximately 5% and 8%, respectively, for the Cd compound whereas, for the Hg compound, they are 32% and 22%, respectively. In addition, the universal anisotropy index (AU) also provides information about anisotropy in crystals []. The departure of AU from zero denotes the level of single-crystal anisotropy, incorporating both shear and bulk contributions, which sets it apart from other established metrics. Thus, AU serves as a universal metric for quantifying single-crystal elastic anisotropy. Cd2SiO4 exhibits an anisotropy index of 0.96, while Hg2GeO4 displays a value of 3.78.

Table 3.
The shear anisotropy factors as a function of pressure.
Elastic wave velocities describe the rate at which waves travel through a substance when it undergoes elastic deformation. These waves consist of compression (longitudinal) waves (vl) and shear (transverse) waves (vt). For both compounds, the transverse (vt) and longitudinal (vl) mode velocities can be derived from the elastic constants []. The findings for both compounds are delineated in Table 4, indicating that the vl increases with pressure, whereas the vt initially rises before declining. Moreover, the Debye temperature (θD), a fundamental parameter, is linked to various solid-state properties like specific heat, elastic constants, and melting temperature. In this investigation, θD was determined from the mean elastic wave velocity (vm) [] and is shown in Table 4. The vm and θD values obtained for both compounds are significantly lower than those for other compounds, such as BeAl2O4 (vm = 7.06 km/s, θD = 1035.85 K) [], Be2SiO4 (vm = 6.3 km/s, θD = 906 K) [], Mg2SiO4 (vm = 5.87 km/s, θD = 748 K), and Fe2SiO4 (vm = 5.39 km/s, θD = 727 K) []. For both compounds, the calculated value of θD was found to increase with pressure.

Table 4.
Calculated density (ρ), longitudinal (vl), transverse (vt), and mean (vm) elastic wave velocities and Debye temperature (θD) for both compounds under external pressures.
3.3. Lattice Dynamics
We conducted phonon dispersion analysis along the high-symmetry path (Γ-Y-T-Z-Γ-X) under zero pressure to assess the dynamical stability of the material. Figure 6a,b display the calculated phonon dispersions for both compounds. Our findings indicate that the acoustic branches exhibit positive frequencies, confirming the dynamical stability of the system under analysis. Notably, there is a significant interaction between the optical and acoustic modes. Additionally, we computed the total and partial phonon density of states (PhDOS) for both compounds, as depicted in Figure 6c,d for the Cd and Hg compounds, respectively. The PhDOS profiles of both compounds are primarily influenced by oxygen atoms. Furthermore, significant contributions of Cd and Hg atoms are evident in the lower-frequency region (0–200 cm−1), indicating that Cd and Hg atoms have lower frequencies with increasing atomic weight: Cd < Hg.

Figure 6.
The phonon dispersion and phonon density of states for (a,c) Cd2SiO4 and (b,d) Hg2GeO4.
Moreover, we have computed the vibrational modes at zero pressure. Both compounds exhibit 42 vibrational modes. The mechanical representation of 39 optical modes is ΓM = 4Ag + 6B1g + 5B2g + 6B3g + 4Au + 5B1u + 4B2u + 5B3u. The calculated optical modes contain the 21 Raman active (4Ag + 6B1g + 5B2g + 6B3g) and 18 IR active (4Au + 5B1u + 4B2u + 5B3u) modes. The obtained frequencies of these modes are given in Table 5. There are no previous studies on Raman or IR spectroscopy of Cd2SiO4 or Hg2GeO4, making it impossible to compare our results with existing experiments. We hope our studies will inspire future experiments in this area. The band gap energies and vibrational mode frequencies of Cd2SiO4 and Hg2GeO4 indicate that spectroscopy studies could be conducted using current advanced methods. Our calculations will be useful for mode assignment in upcoming Raman and/or IR experiments.

Table 5.
The vibrational modes of Cd2SiO4 and Hg2GeO4.
3.4. Electronic Properties
To thoroughly characterize the physical properties of the compounds under investigation, we employed the GGA-PBE functional to calculate their electronic band structures. The resulting band gap is 1.54 eV for Cd2SiO4 and 0.82 eV for Hg2GeO4, as shown in Figure 7a and Figure 7b, respectively. Considering the known tendency of GGA to underestimate band gaps in insulators and semiconductors [], we applied the HSE06 functional to improve the accuracy of the band gap determination. Figure 7c,d illustrate the revised band gaps, which are 3.34 eV for the Cd compound and 2.09 eV for the Hg compound. Both compounds exhibit indirect gap characteristics, with the valence band’s highest point and the conduction band’s lowest point located at different positions. The calculated band gap is smaller than that of other minerals such as Al2BeO4 (8.3 eV) [], Mg2SiO4 (4.6 eV) [], Be2SiO4 (7.8 eV) [], Mg2GeO4 (3.9 eV) [], MgAl2O4 (7.8 eV), and ZnAl2O4 (3.9 eV) []. Furthermore, the analysis of the band structures indicates minimal dispersion in the valence band, while significant dispersion is observed in the conduction band. This implies that electrons will have a significantly smaller effective mass than holes.

Figure 7.
The electronic band structure of (a) Cd2SiO4 and (b) Hg2GeO4 using PBEsol-GGA. The electronic band structure and projected density of states using HSE functionals of (c,e) Cd2SiO4 and (d,f) Hg2GeO4.
To gain a deeper insight into the electronic properties, we analyzed the total and partial density of states (DOS), as depicted in Figure 7e,f, using the HSE06 functional. From these figures, it is evident that the primary contributors to the highest peak of the valence bands are the O-3d states. Additionally, minor contributions from Cd-4d and Si-3s states are observed in the valence bands of the Cd compound, and Hg-5d and Ge-4s states in the Hg compound. The conduction bands of the Cd and Hg compounds are primarily dominated by Cd-5s and Hg-6s states, respectively. The Hg-6s orbitals are responsible for the smaller band gap of Hg2GeO4. The same phenomenon is observed when PbWO4 [] is compared to other tungstates [] due to the role of Pb-6s states.
Moreover, we carried out high-pressure calculations to investigate the electronic properties under different pressure conditions. The calculated electronic band gaps under pressure for both structures are depicted in Figure 8. As pressure rises, there is a notable expansion in the band gap of Cd2SiO4 (see Figure 8a), whereas, in the case of the Hg compound depicted in Figure 8b, the band gap decreases with increasing pressure. The widening of the band gap in Cd2SiO4 results from the intensified crystal field splitting between bonding and antibonding states under compression []. Conversely, the distinctive behavior of the band gap in Hg2GeO4 is attributed to the involvement of Hg-6s states in the lower portion of the conduction band, causing it to decrease under compression. Similar phenomena are observed with Pb-6s states in PbWO4 [] and PbMoO4 [].

Figure 8.
The electronic band gap of (a) Cd2SiO4 and (b) Hg2GeO4 using HS06 under external pressures.
4. Conclusions
In summary, we examined the structural, elastic, and electronic properties of Cd2SiO4 and Hg2GeO4 across different pressures using first-principles calculations based on density functional theory. Our analysis revealed that the computed lattice parameters at ambient pressure closely matched experimental data. The investigated compounds were determined to be mechanically and dynamically stable. We explored the pressure-dependent behavior of structural parameters. The compression of lattice parameters displayed an anisotropic behavior in both compounds. Notably, the compression mechanism in these structures is mainly governed by cation–cation repulsions across shared O-O polyhedral edges. The calculated elastic and mechanical properties reveal that Cd2SiO4 exhibits a comparatively larger bulk modulus and shear modulus, indicating greater stiffness and resistance to deformation under stress. We have computed the frequencies of vibrational modes, which include 21 Raman active modes, 3 acoustic modes, and 18 IR active modes. Both minerals were identified as indirect band gap insulators. Notably, Cd2SiO4 exhibited a significant increase in band gap with increasing pressure, while the band gap of Hg2GeO4 decreased under pressure. These findings revealed distinct structural and electronic responses despite the similar structures of the two compounds.
Supplementary Materials
The following supporting information can be downloaded at: https://www.mdpi.com/article/10.3390/cryst14060538/s1, Figure S1: The pressure dependence of selected bond angles of Cd2SiO4; Figure S2: The pressure dependence of selected bond angles of Hg2GeO4.
Author Contributions
J.S.—Formal Analysis, Investigation, Visualization, Conceptualization. D.E.—Validation, Visualization, Writing—Review and Editing. G.V.—Conceptualization, Investigation, Methodology, Writing—Review and Editing. V.K.—Validation, Resources, Writing—Original Draft, Supervision, Funding Acquisition. All authors have read and agreed to the published version of the manuscript.
Funding
This research was funded by DST-FIST (SR/FST/PSI-215/2016); Spanish Ministerio de Ciencia e Innovación (https://doi.org/10.13039/501100011033) under Projects PID2019-106383GB-41, PID2022-138076NB-C41, and RED2022-134388-T; Generalitat Valenciana through grants PROMETEO CIPROM/2021/075-GREENMAT and MFA/2022/007; MCIN with funding from European Union Next Generation EU (PRTR-C17.I1) and by the Generalitat Valenciana; Institute of Eminence, University of Hyderabad (UoH-IoE-RC3-21-046).
Data Availability Statement
The data are available from the corresponding author on reasonable request.
Acknowledgments
The authors J.S. and V.K. acknowledge the National Supercomputing Mission (NSM) for providing computing resources of ‘PARAM SEVA’ at IIT Hyderabad. V.K. would like to acknowledge DST-FIST (SR/FST/PSI-215/2016) for the financial support. J.S. would like to acknowledge CSIR for the fellowship. D.E. thanks the financial support from the Spanish Ministerio de Ciencia e Innovación (https://doi.org/10.13039/501100011033) under Projects PID2019-106383GB-41, PID2022-138076NB-C41, and RED2022-134388-T. D.E. also thanks the financial support of Generalitat Valenciana through grants PROMETEO CIPROM/2021/075-GREENMAT and MFA/2022/007. This study forms part of the Advanced Materials program and is supported by MCIN with funding from European Union Next Generation EU (PRTR-C17.I1) and by the Generalitat Valenciana. G.V. would like to acknowledge the Institute of Eminence, University of Hyderabad (UoH-IoE-RC3-21-046), for funding and CMSD University of Hyderabad for providing the computational facility.
Conflicts of Interest
The authors declare no conflicts of interest.
References
- Gmelin, L. Gmelin Handbook Der Anorganischen Chemie; Springer: Berlin/Heidelberg, Germany, 1984. [Google Scholar]
- Muller, O.; Roy, R. The Major Ternary Structural Families; Springer: Berlin/Heidelberg, Germany; New York, NY, USA, 1974. [Google Scholar]
- Dollase, W.A.; Seifert, F.; O’Neill, H.S.C. Structure of Cr2SiO4 and Possible Metal-Metal Interactions in Crystal and Melt. Phys. Chem. Miner. 1994, 21, 104–109. [Google Scholar] [CrossRef]
- Zachariasen, W.H.; Ziegler, G.E. The Crystal Structure of Anhydrous Sodium Sulfate Na2SO4. Z. Kristall.-Cryst. Mater. 1932, 81, 92–101. [Google Scholar] [CrossRef]
- Mehrotra, B.N.; Th, H.; Eysel, W.; Röpke, H.; Illguth, A. Crystal chemistry of compounds with thenardite (Na2SO4V) structure. Neues Jahrb. Mineral. Monatshefte 1978, 408–421. [Google Scholar]
- Hesse, K.F.; Eysel, W. Structure of Dimercury (II) Germanate (IV). Acta Crystallogr. B 1981, 37, 429–431. [Google Scholar] [CrossRef]
- Glasser, L.S.D.; Glasser, F.P. The Preparation and Crystal Data of the Cadmium Silicates CdSiO3, Cd2SiO4, and Cd3SiO5. Inorg. Chem. 1964, 3, 1228–1230. [Google Scholar] [CrossRef]
- Weil, M. Parawollastonite-Type Cd3[Si3O9]. Acta Crystallogr. Sect. E Struct. Rep. Online 2005, 61, i102–i104. [Google Scholar] [CrossRef]
- Lei, B.; Liu, Y.; Ye, Z.; Shi, C. Luminescence Properties of CdSiO3: Mn2+ Phosphor. J. Lumin. 2004, 109, 215–219. [Google Scholar] [CrossRef]
- den Eeckhout, K.; Smet, P.F.; Poelman, D. Persistent Luminescence in Eu2+-Doped Compounds: A Review. Materials 2010, 3, 2536–2566. [Google Scholar] [CrossRef]
- Aitasalo, T.; Hölsä, J.; Jungner, H.; Lastusaari, M.; Niittykoski, J. Thermoluminescence Study of Persistent Luminescence Materials: Eu2+-and R3+-Doped Calcium Aluminates, CaAl2O4: Eu2+, R3+. J. Phys. Chem. B 2006, 110, 4589–4598. [Google Scholar] [CrossRef]
- Liu, Y.; Lei, B.; Shi, C. Luminescent Properties of a White Afterglow Phosphor CdSiO3: Dy3+. Chem. Mater. 2005, 17, 2108–2113. [Google Scholar] [CrossRef]
- Eysel, W. Kristallchemie von Oxyorthoverbindungen A30[B04]. Neues Jahrb. Mineral. Monatshefte 1970, 1970, 534–547. [Google Scholar]
- Wedepohl, K.H.; Correns, C.W.; Shaw, D.M.; Turekian, K.K.; Zemann, J. Handbook of Geochemistry; Springer: Berlin/Heidelberg, Germany, 1969; Volume 2. [Google Scholar]
- Miletich, R.; Seifert, F.; Angel, R.J. Compression of Cadmium Orthosilicate, Cd2SiO4: A High-Pressure Single-Crystal Diffraction Study. Z. Kristall.-Cryst. Mater. 1998, 213, 288–295. [Google Scholar] [CrossRef]
- Miletich, R.; Nowak, M.; Seifert, F.; Angel, R.J.; Brandstätter, G. High-Pressure Crystal Chemistry of Chromous Orthosilicate, Cr2SiO4. A Single-Crystal X-Ray Diffraction and Electronic Absorption Spectroscopy Study. Phys. Chem. Miner. 1999, 26, 446–459. [Google Scholar] [CrossRef]
- Kresse, G.; Furthmüller, J. Efficiency of Ab-Initio Total Energy Calculations for Metals and Semiconductors Using a Plane-Wave Basis Set. Comput. Mater. Sci. 1996, 6, 15–50. [Google Scholar] [CrossRef]
- Perdew, J.P.; Ruzsinszky, A.; Csonka, G.I.; Vydrov, O.A.; Scuseria, G.E.; Constantin, L.A.; Zhou, X.; Burke, K. Restoring the Density-Gradient Expansion for Exchange in Solids and Surfaces. Phys. Rev. Lett. 2008, 100, 136406. [Google Scholar] [CrossRef]
- Perdew, J.P.; Burke, K.; Ernzerhof, M. Generalized Gradient Approximation Made Simple. Phys. Rev. Lett. 1996, 77, 3865–3868. [Google Scholar] [CrossRef]
- Monkhorst, H.J.; Pack, J.D. Special Points for Brillouin-Zone Integrations. Phys. Rev. B 1976, 13, 5188–5192. [Google Scholar] [CrossRef]
- Gonze, X.; Lee, C. Dynamical Matrices, Born Effective Charges, Dielectric Permittivity Tensors, and Interatomic Force Constants from Density-Functional Perturbation Theory. Phys. Rev. B Condens. Matter Mater. Phys. 1997, 55, 10355–10368. [Google Scholar] [CrossRef]
- Heyd, J.; Scuseria, G.E.; Ernzerhof, M. Hybrid Functionals Based on a Screened Coulomb Potential. J. Chem. Phys. 2003, 118, 8207–8215. [Google Scholar] [CrossRef]
- Birch, F. Finite Elastic Strain of Cubic Crystals. Phys. Rev. 1947, 71, 809–824. [Google Scholar] [CrossRef]
- Drickamer, H.G.; Lynch, R.W.; Clendenen, R.L.; Perez-Albueene, E.A. X-Ray Diffraction Studies of the Lattice Parameters of Solids under Very High Pressure. In Solid State Physics; Elsevier: Amsterdam, The Netherlands, 1967; Volume 19, pp. 135–228. [Google Scholar]
- Ruiz-Fuertes, J.; Friedrich, A.; Errandonea, D.; Segura, A.; Morgenroth, W.; Rodríiguez-Hernández, P.; Muñoz, A.; Meng, Y. Optical and Structural Study of the Pressure-Induced Phase Transition of CdWO4. Phys. Rev. B 2017, 95, 174105. [Google Scholar] [CrossRef]
- Isaak, D.G.; Graham, E.K.; Bass, J.D.; Wang, H. The Elastic Properties of Single-Crystal Fayalite as Determined by Dynamical Measurement Techniques. Pure Appl. Geophys. 1993, 141, 393–414. [Google Scholar] [CrossRef]
- Sharp, Z.D.; Hazen, R.M.; Finger, L.W. High-Pressure Crystal Chemistry of Monticellite, CaMgSiO4. Am. Mineral. 1987, 72, 748–755. [Google Scholar]
- Nye, J.F. Physical Properties of Crystals: Their Representation by Tensors and Matrices; Oxford University Press: Oxford, UK, 1985. [Google Scholar]
- Mouhat, F.; Coudert, F.-X. Necessary and Sufficient Elastic Stability Conditions in Various Crystal Systems. Phys. Rev. B 2014, 90, 224104. [Google Scholar] [CrossRef]
- Reuß, A. Berechnung Der Fließgrenze von Mischkristallen Auf Grund Der Plastizitätsbedingung Für Einkristalle. ZAMM-J. Appl. Math. Mech./Z. Angew. Math. Mech. 1929, 9, 49–58. [Google Scholar] [CrossRef]
- Hill, R. The Elastic Behaviour of a Crystalline Aggregate. Proc. Phys. Soc. Sect. A 1952, 65, 349. [Google Scholar] [CrossRef]
- Singh, J.; Sharma, V.K.; Kanchana, V.; Vaitheeswaran, G.; Errandonea, D. High-Pressure Structural, Lattice Dynamics, and Electronic Properties of Beryllium Aluminate Studied from First-Principles Theory. Mater. Today Commun. 2021, 26, 101801. [Google Scholar] [CrossRef]
- Singh, J.; Errandonea, D.; Kanchana, V.; Vaitheeswaran, G. Deep Earth Chronicles: High-Pressure Investigation of Phenakite Mineral Be2SiO4. ChemPhysChem 2024, 25, e202300901. [Google Scholar] [CrossRef]
- Kushwaha, A.K.; Ma, C.-G.; Brik, M.G.; Akbudak, S. Vibrational and Elastic Properties of Silicate Spinels A2SiO4 (A = Mg, Fe, Ni, and Co). J. Phys. Chem. Solids 2018, 117, 167–172. [Google Scholar] [CrossRef]
- Pugh, S.F. XCII. Relations between the Elastic Moduli and the Plastic Properties of Polycrystalline Pure Metals. Lond. Edinb. Dublin Philos. Mag. J. Sci. 1954, 45, 823–843. [Google Scholar] [CrossRef]
- Lewandowski, J.J.; Wang, W.H.; Greer, A.L. Intrinsic Plasticity or Brittleness of Metallic Glasses. Philos. Mag. Lett. 2005, 85, 77–87. [Google Scholar] [CrossRef]
- Köster, W.; Franz, H. Poisson’s Ratio for Metals and Alloys. Metall. Rev. 1961, 6, 1–56. [Google Scholar] [CrossRef]
- Ledbetter, M.H. Materials at Low Temperatures; Reed, R.P., Clark, A.F., Eds.; American Society for Metals: Metals Park, OH, USA, 1983; pp. 1–45. [Google Scholar]
- Ravindran, P.; Fast, L.; Korzhavyi, P.A.; Johansson, B.; Wills, J.; Eriksson, O. Density Functional Theory for Calculation of Elastic Properties of Orthorhombic Crystals: Application to TiSi2. J. Appl. Phys. 1998, 84, 4891–4904. [Google Scholar] [CrossRef]
- Chung, D.H.; Buessem, W.R. The Elastic Anisotropy of Crystals. J. Appl. Phys. 1967, 38, 2010–2012. [Google Scholar] [CrossRef]
- Ranganathan, S.I.; Ostoja-Starzewski, M. Universal Elastic Anisotropy Index. Phys. Rev. Lett. 2008, 101, 55504. [Google Scholar] [CrossRef]
- Brugger, K. Determination of Third-Order Elastic Coefficients in Crystals. J. Appl. Phys. 1965, 36, 768–773. [Google Scholar] [CrossRef]
- Music, D.; Houben, A.; Dronskowski, R.; Schneider, J.M. Ab Initio Study of Ductility in M2AlC(M = Ti, V, Cr). Phys. Rev. B 2007, 75, 174102. [Google Scholar] [CrossRef]
- Vines, F.; Lamiel-García, O.; Chul Ko, K.; Yong Lee, J.; Illas, F. Systematic Study of the Effect of HSE Functional Internal Parameters on the Electronic Structure and Band Gap of a Representative Set of Metal Oxides. J. Comput. Chem. 2017, 38, 781–789. [Google Scholar] [CrossRef]
- Yang, X.; Zhan, Q. Investigation on the Electrical and Optical Properties of Forsterite Mg2SiO4 under Pressure up to 30 GPa. Mol. Simul. 2020, 46, 805–811. [Google Scholar] [CrossRef]
- Zhang, Y. Electronic and Optical Properties of Mg2GeO4 under Pressure Effect: Ab Initio Study. ECS J. Solid. State Sci. Technol. 2022, 11, 16002. [Google Scholar] [CrossRef]
- Sampath, S.K.; Cordaro, J.F. Optical Properties of Zinc Aluminate, Zinc Gallate, and Zinc Aluminogallate Spinels. J. Am. Ceram. Soc. 1998, 81, 649–654. [Google Scholar] [CrossRef]
- Errandonea, D.; Martinez-Garcia, D.; Lacomba-Perales, R.; Ruiz-Fuertes, J.; Segura, A. Effects of High Pressure on the Optical Absorption Spectrum of Scintillating PbWO4 Crystals. Appl. Phys. Lett. 2006, 89, 091913. [Google Scholar] [CrossRef]
- Ruiz-Fuertes, J.; López-Moreno, S.; López-Solano, J.; Errandonea, D.; Segura, A.; Lacomba-Perales, R.; Muñoz, A.; Radescu, S.; Rodríiguez-Hernández, P.; Gospodinov, M.; et al. Pressure Effects on the Electronic and Optical Properties of AWO4 Wolframites (A= Cd, Mg, Mn, and Zn): The Distinctive Behavior of Multiferroic MnWO4. Phys. Rev. B 2012, 86, 125202. [Google Scholar] [CrossRef]
- Liang, A.; Shi, L.-T.; Turnbull, R.; Manjón, F.J.; Ibáñez, J.; Popescu, C.; Jasmin, M.; Singh, J.; Venkatakrishnan, K.; Vaitheeswaran, G.; et al. Pressure-Induced Band-Gap Energy Increase in a Metal Iodate. Phys. Rev. B 2022, 106, 235203. [Google Scholar] [CrossRef]
- Monteseguro, V.; Ruiz-Fuertes, J.; Contreras-García, J.; Rodríguez-Hernández, P.; Muñoz, A.; Errandonea, D. High Pressure Theoretical and Experimental Analysis of the Bandgap of BaMoO4, PbMoO4, and CdMoO4. Appl. Phys. Lett. 2019, 115, 012102. [Google Scholar] [CrossRef]
Disclaimer/Publisher’s Note: The statements, opinions and data contained in all publications are solely those of the individual author(s) and contributor(s) and not of MDPI and/or the editor(s). MDPI and/or the editor(s) disclaim responsibility for any injury to people or property resulting from any ideas, methods, instructions or products referred to in the content. |
© 2024 by the authors. Licensee MDPI, Basel, Switzerland. This article is an open access article distributed under the terms and conditions of the Creative Commons Attribution (CC BY) license (https://creativecommons.org/licenses/by/4.0/).